O. Reg. 381/15: NOISE, Filed December 10, 2015 under Occupational Health and Safety Act, R.S.O. 1990, c. O.1
ontario regulation 381/15
made under the
Occupational Health and Safety Act
Made: December 9, 2015
Filed: December 10, 2015
Published on e-Laws: December 11, 2015
Printed in The Ontario Gazette: December 26, 2015
Noise
Interpretation
1. (1) In this Regulation,
“attenuation” means a reduction in sound pressure level incident upon the ear
“dBA” means a measure of sound level in decibels using a reference sound pressure of 20 micropascals when measured on the A-weighting network of a sound level meter;
“decibel” means a unit of measurement of sound pressure level that is equal to 20 times the logarithm to the base 10 of the ratio of the pressure of a sound, divided by the reference pressure of 20 micropascals.
(2) An equivalent sound exposure level is the steady sound level in dBA which, if present in a workplace for eight hours in a day, would contain the same total energy as that generated by the actual and varying sound levels to which a worker is exposed in his or her total work day.
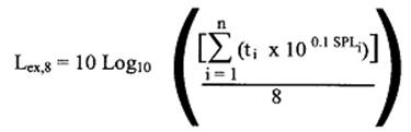
(3) The equivalent sound exposure level is determined in accordance with the formula,

Text alternative: Image of the mathematical equation for determining the equivalent sound exposure level over eight hours that contains the same total energy as that generated by the actual and varying sound levels to which a worker is exposed in his or her total work day. This text alternative is provided for convenience only and does not form part of the official law.
in which,
Lex,8 is the equivalent sound exposure level in 8 hours,
Σ is the sum of the values in the enclosed expression for all activities from i = 1 to i = n,
i is a discrete activity of a worker exposed to a sound level,
ti is the duration in hours of i,
SPLi is the sound level of i in dBA,
n is is the total number of discrete activities in the worker’s total workday.
Duty to protect workers
2. (1) Every employer shall take all measures reasonably necessary in the circumstances to protect workers from exposure to hazardous sound levels.
(2) The protective measures shall include the provision and use of engineering controls, work practices and, subject to subsection (5), hearing protection devices.
(3) Any measurement of sound levels in the workplace that is done in order to determine what protective measures are appropriate shall be done without regard to the use of hearing protection devices.
(4) Without limiting the generality of subsections (1) and (2), every employer shall ensure that no worker is exposed to a sound level greater than an equivalent sound exposure level of 85 dBA, Lex,8.
(5) Except in the circumstances set out in subsection (6), the employer shall protect workers from exposure to a sound level greater than the limit described in subsection (4) without requiring them to use and wear hearing protection devices.
(6) Workers shall wear and use hearing protection devices appropriate in the circumstances to protect them from exposure to a sound level greater than the limit described in subsection (4) if engineering controls are required by subsections (1) and (2) and,
(a) are not in existence or are not obtainable;
(b) are not reasonable or not practical to adopt, install or provide because of the duration or frequency of the exposures or because of the nature of the process, operation or work;
(c) are rendered ineffective because of a temporary breakdown of such controls; or
(d) are ineffective to prevent, control or limit exposure because of an emergency.
(7) Where practicable, a clearly visible warning sign shall be posted at every approach to an area in the workplace where the sound level, measured as described in subsection (3), regularly exceeds 85 dBA.
Training and instruction
3. An employer who provides a worker with a hearing protection device shall also provide adequate training and instruction to the worker in the care and use of the device, including its limitations, proper fitting, inspection and maintenance and, if applicable, the cleaning and disinfection of the device.
Hearing protection devices
4. (1) A hearing protection device shall be selected having regard to,
(a) sound levels to which a worker is exposed;
(b) the attenuation provided by the device; and
(c) the manufacturer’s information about the use and limitations of the device.
(2) A hearing protection device shall be used and maintained in accordance with the manufacturer’s instructions.
Commencement
5. This Regulation comes into force on the later of July 1, 2016 and the day it is filed.