O. Reg. 655/00: FAMILY CASE MANAGEMENT RULES FOR THE SUPERIOR COURT OF JUSTICE IN TORONTO, Courts of Justice Act, R.S.O. 1990, c. C.43

Courts of Justice Act

ONTARIO REGULATION 655/00

Amended to O. Reg. 90/04

FAMILY CASE MANAGEMENT RULES FOR THE SUPERIOR COURT OF JUSTICE IN TORONTO

Historical version for the period April 2, 2004 to June 30, 2004.

Note: These rules are revoked on July 1, 2004. See: O. Reg. 655/00, r. 6.03 (1); O. Reg. 448/01, s. 1; O. Reg. 335/02, s. 1; O. Reg. 420/03, s. 1; O. Reg. 90/04, s. 1.

This is the English version of a bilingual regulation.

RULE 1 — APPLICATION AND INTERPRETATION OF RULES

FAMILY CASE MANAGEMENT RULES

Scope

1.01 (1) These rules apply to proceedings in the Superior Court of Justice that are commenced in the part of the City of Toronto that was known as the City of Toronto before January 1, 1998 and belong to the following categories:

1. Proceedings under the Children’s Law Reform Act, the Divorce Act (Canada), the Family Law Act, the Family Responsibility and Support Arrears Enforcement Act, 1996, the Marriage Act and the Reciprocal Enforcement of Support Orders Act.

2. Proceedings for the interpretation or enforcement of a marriage contract, cohabitation agreement, separation agreement or paternity agreement.

3. Proceedings for relief by way of constructive or resulting trust or a monetary award as compensation for unjust enrichment between persons who have cohabited.

4. Proceedings for the enforcement of a support order. O. Reg. 655/00, r. 1.01 (1).

Rules of Civil Procedure

(2) The Rules of Civil Procedure also apply to proceedings to which these rules apply, but these rules prevail in the event of conflict. O. Reg. 655/00, r. 1.01 (2).

Time

(3) A time prescribed under these rules or the Rules of Civil Procedure may be extended only by order of the case management judge. O. Reg. 655/00, r. 1.01 (3).

Format of documents

(4) The forms prescribed in these rules and notices and orders referred to in these rules may be single spaced, may bear the short title of the proceeding and need not have a backsheet. O. Reg. 655/00, r. 1.01 (4).

Registrar’s notices

(5) Notices sent by the registrar under these rules may be printed on coloured paper. O. Reg. 655/00, r. 1.01 (5).

PURPOSE

1.02 The purpose of these rules is to establish a case management system that reduces unnecessary cost and delay in family litigation, facilitates early and fair settlements and brings proceedings expeditiously to a just determination while allowing sufficient time for the conduct of the proceeding. O. Reg. 655/00, r. 1.02.

DEFINITIONS

1.03 In these rules,

“applicant” includes a petitioner, a plaintiff, a respondent who makes a claim and a defendant who makes a counterclaim, crossclaim or third or subsequent party claim; (“requérant”)

“case management judge” means the judge assigned to manage a proceeding under these rules; (“juge responsable de la gestion de la cause”)

“defence” includes an answer; (“défense”)

“originating document” means a notice of application, a petition, statement of claim, notice of action, counterclaim, claim by respondent, counterpetition, crossclaim or third or subsequent party claim; (“document introductif”)

“respondent” includes a defendant. (“intimé”) O. Reg. 655/00, r. 1.03.

MATTERS NOT PROVIDED FOR

1.04 If matters are not provided for in these rules, the practice shall be determined by analogy to them. O. Reg. 655/00, r. 1.04.

RULE 2 — GENERAL PROCEDURE

COMMENCEMENT OF PROCEEDING

Case information statement

2.01 (1) On filing an originating document, the applicant shall file in duplicate a case information statement (Form 1). O. Reg. 655/00, r. 2.01 (1).

Statement mandatory

(2) The registrar shall not accept an originating document without the case information statement. O. Reg. 655/00, r. 2.01 (2).

ASSIGNMENT OF PROCEEDINGS TO CASE MANAGEMENT

Registrar’s duty

2.02 (1) The registrar shall assign all proceedings to case management. O. Reg. 655/00, r. 2.02 (1).

Warning

(2) When an originating document is issued or filed, the registrar shall attach to it a warning that the proceeding will be subject to case management by the court, and shall give the applicant a copy of the warning for service on each respondent. O. Reg. 655/00, r. 2.02 (2).

TIMETABLE

Prepared by registrar

2.03 (1) On the commencement of a proceeding, the registrar shall give the applicant a timetable showing that the proceeding shall be set down for hearing within 230 days. O. Reg. 655/00, r. 2.03 (1).

Given to client

(2) The applicant’s solicitor shall give a copy of the timetable forthwith to his or her client. O. Reg. 655/00, r. 2.03 (2).

Service

(3) The case information statement, the timetable, the warning and the originating document shall be served together. O. Reg. 655/00, r. 2.03 (3).

FAILURE TO COMPLY WITH TIMETABLE

Powers of registrar

2.04 (1) If a party fails to comply with a timetable, the registrar shall serve a notice on the parties that the proceeding will be dismissed without further notice unless, within 30 days after service of the notice, a party,

(a) sets the proceeding down for trial;

(b) files minutes of settlement; or

(c) requests a case conference. O. Reg. 655/00, r. 2.04 (1).

Dismissal after 30 days

(2) If no party takes a step referred to in clause (1) (a), (b) or (c) within 30 days after service of the notice, the registrar shall dismiss the proceeding with costs. O. Reg. 655/00, r. 2.04 (2).

Registrar to serve dismissal order

(3) The registrar shall serve the order on the parties by mail, and the solicitor for a party shall immediately give a copy of the order to his or her client and file proof that this has been done. O. Reg. 655/00, r. 2.04 (3).

DEFENCE OF PROCEEDING

Case information statement with defence

2.05 (1) The respondent shall serve and file a case information statement (Form 1) with any defence. O. Reg. 655/00, r. 2.05 (1).

Refusal to accept defence

(2) The registrar shall not accept a defence without the case information statement. O. Reg. 655/00, r. 2.05 (2).

CONSOLIDATION OR HEARING TOGETHER OF RELATED PROCEEDINGS

Consolidation

2.06 (1) Where the court orders, under the Rules of Civil Procedure, that a proceeding to which these rules apply be consolidated with a proceeding to which they would not otherwise apply, these rules apply to the consolidated proceeding. O. Reg. 655/00, r. 2.06 (1).

Hearing together

(2) Where the court orders, under the Rules of Civil Procedure, that a proceeding to which these rules apply be heard at the same time as or immediately before or after a proceeding to which they would not otherwise apply, the case management judge may order that these rules apply to the other proceeding. O. Reg. 655/00, r. 2.06 (2).

Service of case management documents

(3) Where a proceeding becomes subject to these rules under subrule (1) or (2), the applicant in the proceeding originally subject to these rules shall forthwith serve the case information statements, timetable and warning on every party to the other proceeding who is not also a party to the proceeding originally subject to these rules. O. Reg. 655/00, r. 2.06 (3).

RULE 3 — CASE MANAGEMENT JUDGE AND CASE CONFERENCE

CASE MANAGEMENT JUDGE

Assignment

3.01 (1) A case management judge shall be assigned to a proceeding the first time one of the following events occurs:

1. A party makes a motion on notice to another party and confirms in accordance with subrule (6) that the motion will be argued.

2. A party requests a case conference. O. Reg. 655/00, r. 3.01 (1).

Duties

(2) The case management judge shall deal with all matters that arise in the proceeding before the hearing, including all motions, case conferences and pre-trial conferences. O. Reg. 655/00, r. 3.01 (2).

Substitution

(3) A substitute case management judge may be assigned to a proceeding at any time. O. Reg. 655/00, r. 3.01 (3).

Informal motion procedure

(4) A motion may be made to the case management judge, depending on the practical requirements of the situation,

(a) with or without supporting material or a motion record;

(b) by attendance, conference call, telephone call or telephone transmission, or in writing; and

(c) in the absence of the public, if the case management judge is of the opinion that it is impractical to have the motion heard in public. O. Reg. 655/00, r. 3.01 (4).

Motion without material

(5) Where a motion is made without supporting material or a motion record,

(a) a case management motion form (Form 2) signed by the moving party’s solicitor shall be submitted to the case management judge before the motion is heard;

(b) a case management motion form signed by the responding party’s solicitor may be submitted to the case management judge before the motion is heard;

(c) the case management judge shall record the disposition of the motion on the form;

(d) the registrar shall send a copy of the disposition of the motion to the parties unless the case management judge directs that a copy need not be sent; and

(e) no formal order need be prepared, signed or entered unless the case management judge directs it. O. Reg. 655/00, r. 3.01 (5).

Confirmation of motion

(6) A party who makes a motion on notice to another party shall confirm with the registrar that the motion will be argued, by filing a confirmation (Form 3) not later than 2 p.m. two days before the hearing date. O. Reg. 655/00, r. 3.01 (6).

Effect of failure to confirm

(7) If no confirmation is filed in accordance with subrule (6), the motion shall not be heard, except by order of a judge. O. Reg. 655/00, r. 3.01 (7).

Powers on own initiative

(8) The case management judge may, on his or her own initiative, require a hearing, case conference or conference call to deal with any matter arising in connection with case management, including a failure to comply with these rules or the Rules of Civil Procedure. O. Reg. 655/00, r. 3.01 (8).

Powers generally

(9) The case management judge may,

(a) extend or abridge a time prescribed under an order, these rules or the Rules of Civil Procedure;

(b) adjourn a case conference;

(c) delegate his or her authority to another judge;

(d) set aside an order made by the registrar under these rules;

(e) direct a reference under the Rules of Civil Procedure; and

(f) make orders, impose terms and give directions as necessary to carry out the purpose of these rules. O. Reg. 655/00, r. 3.01 (9).

Motion for leave to appeal

(10) Despite subrule (2), a motion for leave to appeal from an order of the case management judge shall be made to another judge. O. Reg. 655/00, r. 3.01 (10).

Not to preside at hearing

(11) The case management judge shall not preside at the hearing of the proceeding. O. Reg. 655/00, r. 3.01 (11).

CASE CONFERENCE

Scheduled on request

3.02 (1) The registrar shall schedule a case conference at a party’s request. O. Reg. 655/00, r. 3.02 (1).

Notice and confirmation

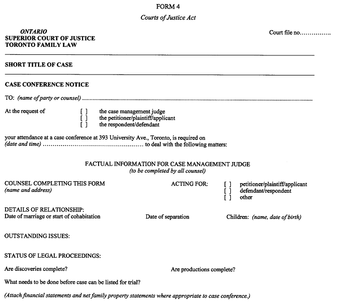
(2) When a case conference is scheduled at a party’s request, the party shall,

(a) immediately serve a case conference notice (Form 4) on every other party; and

(b) confirm with the registrar that the conference is to take place, by filing, not later than 2 p.m. two days before the scheduled date, a confirmation (Form 3), failing which the registrar shall cancel the conference. O. Reg. 655/00, r. 3.02 (2).

Case memorandum

(3) Each party shall serve a case memorandum and file it with proof of service, not later than two days before a case conference, unless the case management judge directs that a party need not file a case memorandum. O. Reg. 655/00, r. 3.02 (3).

Duties of judge

(4) At the conference, the case management judge shall,

(a) identify the issues, and note those that are contested and those that are not contested;

(b) explore methods (including alternative dispute resolution methods) to resolve the contested issues;

(c) if possible, secure the parties’ agreement to a specific schedule of events in the proceeding, within the 230-day timetable within which the proceeding is to be set down for hearing;

(d) review and, if necessary, amend the timetable for the proceeding;

(e) set a date for the next appearance in court, unless the proceeding is disposed of at the conference; and

(f) complete a memorandum of outstanding issues. O. Reg. 655/00, r. 3.02 (4).

Parties to attend personally if directed

(5) The parties shall attend the conference personally if the case management judge so directs. O. Reg. 655/00, r. 3.02 (5).

Counsel

(6) Counsel attending the conference shall be the counsel who will appear at the hearing, shall have authority to deal with the matters referred to in subrule (4) and shall be fully acquainted with the facts and legal issues. O. Reg. 655/00, r. 3.02 (6).

Powers of judge

(7) At the conference, the case management judge may, where appropriate,

(a) make a procedural order;

(b) make an order for interim relief;

(c) on consent of the parties, refer any issue for alternative dispute resolution;

(d) convene a pre-trial conference;

(e) convene a hearing; and

(f) give directions. O. Reg. 655/00, r. 3.02 (7).

Subsequent conferences

(8) Subsequent conferences may be convened on the case management judge’s initiative or at the request of a party. O. Reg. 655/00, r. 3.02 (8).

Amending timetable

(9) A party seeking to amend the timetable for the proceeding at a case conference shall notify the other parties of the proposed amendment and the reason for it before requesting the conference and, where the other parties consent to the proposed amendment, the consent shall be filed. O. Reg. 655/00, r. 3.02 (9).

RULE 4 — STEPS BEFORE HEARING

PRE-TRIAL CONFERENCE

Action on trial list

4.01 (1) Counsel shall, within 30 days after an action is placed on the trial list, make arrangements with the registrar for a pre-trial conference, failing which the registrar shall set a date and the conference shall take place on that date unless the case management judge orders otherwise. O. Reg. 655/00, r. 4.01 (1).

Case memorandum

(2) The applicant, or any other party by direction of the case management judge or by agreement of the parties, shall serve and file with proof of service a case memorandum and a record for the hearing (containing all pleadings, financial statements and net family property statements and all other material the party considers necessary for the pre-trial conference), not later than 10 days before the conference. O. Reg. 655/00, r. 4.01 (2).

Other parties to deliver memoranda

(3) Every other party shall serve and file with proof of service a case memorandum containing any other material the party considers necessary for the pre-trial conference, not later than five days before the conference. O. Reg. 655/00, r. 4.01 (3).

Expert reports

(4) A party’s case memorandum shall also contain a copy of all expert reports intended for use at the hearing and, in the case of an expert who has not yet provided a report, a summary of the evidence that the expert is expected to give at the hearing. O. Reg. 655/00, r. 4.01 (4).

Expert reports not disclosed

(5) An expert report that was not served or in respect of which a summary of evidence was not provided at the pre-trial conference may be introduced at the hearing only with permission of the presiding judge, on any terms he or she considers appropriate, and the judge shall give permission to introduce the report unless prejudice will result that cannot be compensated for by costs or an adjournment. O. Reg. 655/00, r. 4.01 (5).

Confirmation of conference

(6) The parties shall confirm with the registrar that the pre-trial conference will take place, by jointly filing a confirmation (Form 3) not later than 2 p.m. two days before the scheduled date, failing which the registrar shall cancel the conference. O. Reg. 655/00, r. 4.01 (6).

PREPARATION FOR HEARING

Completion before pre-trial conference

4.02 (1) All forms of discovery and disclosure before a hearing required or permitted by the Rules of Civil Procedure shall be completed before the pre-trial conference, and a party may not require further discovery or disclosure without an order. O. Reg. 655/00, r. 4.02 (1).

No motions after pre-trial conference

(2) No motion may be made after a pre-trial conference, except with the permission of the case management judge. O. Reg. 655/00, r. 4.02 (2).

RULE 5 — FAMILY CASE MANAGEMENT ADVISORY COMMITTEE

FAMILY CASE MANAGEMENT ADVISORY COMMITTEE

Establishment

5.01 (1) There shall be a Family Case Management Advisory Committee for the Superior Court of Justice in Toronto, to monitor the operation of these rules and to recommend to the appropriate authorities, including the Family Rules Committee, changes in policies and procedures necessary to facilitate case management. O. Reg. 655/00, r. 5.01 (1).

Composition

(2) The committee shall consist of,

(a) two judges of the Superior Court of Justice, chosen by the court’s regional senior judge for the Toronto region;

(b) two persons chosen by the Advocates’ Society;

(c) two persons chosen by the Canadian Bar Association — Ontario;

(d) two persons chosen by the County of York Law Association; and

(e) two persons employed in the administration of the courts, chosen by the Regional Director of Courts Administration for the Toronto region. O. Reg. 655/00, r. 5.01 (2).

RULE 6 — CITATION

SHORT TITLE

6.01 These rules may be cited as the Family Case Management Rules for the Superior Court of Justice in Toronto. O. Reg. 655/00, r. 6.01.

6.02 Omitted (provides for coming into force of provisions of this Regulation). O. Reg. 655/00, r. 6.02.

6.03  Omitted (provides for the revocation of this Regulation and revokes other Regulations). O. Reg. 655/00, r. 6.03; O. Reg. 448/01, s. 1; O. Reg. 335/02, s. 1; O. Reg. 420/03, s. 1; O. Reg. 90/04, s. 1.

FORM 1

Courts of Justice Act

O. Reg. 655/00, Form 1; O. Reg. 201/01, s. 1.

FORM 2

Courts of Justice Act

O. Reg. 655/00, Form 2.

FORM 3

Courts of Justice Act

O. Reg. 655/00, Form 3.

FORM 4

Courts of Justice Act

O. Reg. 655/00, Form 4.