R.R.O. 1990, Reg. 70: GENERAL, Child and Family Services Act, R.S.O. 1990, c. C.11
Child and Family Services Act
Loi sur les services à l’enfance et à la famille
R.R.O. 1990, REGULATION 70
GENERAL
Historical version for the period September 1, 2008 to January 26, 2009.
Last amendment: O. Reg. 274/08.
This Regulation is made in English only.
CONTENTS
Sections | ||
1 | ||
FLEXIBLE SERVICES |
||
2-3 | ||
4-7 | ||
8-13 | ||
14 | ||
15-26., 27 | ||
28-29 | ||
30 | ||
VOLUNTARY ACCESS |
||
31-33 | ||
CHILD PROTECTION |
||
33.1-33.3 | ||
34-36.3 | ||
YOUNG OFFENDERS |
||
37-40 | ||
COMPLAINT PROCEDURES |
41 | |
EXTRAORDINARY MEASURES |
42-43 | |
44-49 | ||
ADOPTION |
||
49.1 | ||
49.2 | ||
50-51 | ||
52-54 | ||
55-56 | ||
Decision to Refuse to Place Child or to Remove Child after Placement |
56.1-57.-57.3 | |
58 | ||
59 | ||
60-61 | ||
STATEMENT |
62 | |
LICENSING |
63 | |
64-66 | ||
67 | ||
68-69.1 | ||
70-71 | ||
72-79 | ||
80-85 | ||
86-90 | ||
91-94 | ||
95-97 | ||
98 | ||
99-102 | ||
103 | ||
104 | ||
105 | ||
106-107 | ||
108-109 | ||
109.1-109.3 | ||
110-122 | ||
INDIAN AND NATIVE CHILD AND FAMILY SERVICES |
||
123-124 | ||
Temporary care agreement (subsection 29 (1) of the Act) |
||
Special needs agreement (subsection 30 (1) of the Act) |
||
Special needs agreement (subsection 31 (1) of the Act) |
||
Extension or variation agreement (subsection 29 (5) or 29 (10) of the Act) |
||
Extension or variation agreement (subsection 30 (3), 30 (4) or 31 (4) of the Act) |
||
Warrant to apprehend and return a child in care |
||
Information in support of a warrant to apprehend and return a child in care |
||
Warrant to apprehend and return a child who has withdrawn from a parent’s control |
||
Information in support of a warrant to apprehend and return a child who has withdrawn from a parent’s control |
||
Information to obtain a warrant of apprehension and return of young person (section 98 of the Act) |
||
Warrant of apprehension and return of young person (section 98 of the Act) |
||
Application for emergency admission to secure treatment program |
||
Emergency admission to secure treatment program |
||
Application for review of emergency admission to secure treatment program |
||
Review of emergency admission to secure treatment program |
||
Warrant to apprehend and return a child who has been admitted to a secure treatment program |
||
Information in support of a warrant to apprehend and return a child who has been admitted to a secure treatment program |
||
Application for approval of a locked room for use for the secure isolation of children |
||
Approval or renewal of approval of a locked room for use for the secure isolation of children |
||
Refusal of an approval or withdrawal of an approval of a locked room for use for the secure isolation of children |
||
Notice to a director of proposed placement |
||
Approval/refusal of a director of a proposed placement |
||
Registration of placement of a child for adoption |
||
Director’s registration of placement of child for adoption under subsection 141 (7) of the Act |
||
Acknowledgment of adoption placement |
||
Statement by physician under subsection 183 (2) of the Act |
||
Application for a licence or renewal of a licence to operate a children’s residence |
||
Application for a licence or renewal of a licence to provide residential care |
||
Application for a licence or renewal of a licence to place children for adoption |
||
A licence or renewal of a licence to operate a children’s residence |
||
A licence or renewal of a licence to provide residential care |
||
A licence or renewal of a licence to place children for adoption |
||
Provisional licence to operate a children’s residence |
||
Provisional licence to provide residential care |
||
Provisional licence to place children for adoption |
||
Notice of intention |
||
Notice of intention |
||
Request for hearing |
||
Request for determination |
||
Notice of hearing |
||
Warrant for access to record(s) (section 74.1 of the Act) |
||
Information in support of a warrant for access to a record (section 74.1 of the Act) |
||
Warrant (telewarrant) for access to record(s) (section 74.2 of the Act) |
||
Information in support of a warrant (telewarrant) for access to a record (section 74.2 of the Act) |
Definitions
1. (1) In this Regulation,
“acceptable exit” means that part of a means of egress that meets the requirements of Ontario Regulation 403/97 under the Building Code Act, 1992 and that leads to a public thoroughfare or to an approved open space and that may include any one of the items enumerated herein or any combination thereof:
1. An exterior doorway to grade.
2. An exterior ramp.
3. An exterior stairway.
4. A fire escape that meets the specifications of Ontario Regulation 403/97 under the Building Code Act, 1992.
5. An interior stairway that is separated from the remainder of the building by a fire separation;
“actual cost” means the cost of a building project and includes,
(a) fees payable for the services of an architect, professional engineer or other consultant,
(b) the cost of purchasing and installing furnishings and equipment,
(c) the cost of land surveys, soil tests, permits, licences and legal fees,
(d) the cost of paving, sodding and landscaping, and
(e) the cost of acquiring land necessary for the building project;
“adoption agency” means a licensee referred to in Part VII of the Act or a society;
“approved corporation” means an approved corporation that is continued under subsection 209 (2) or 211 (2) of the Child and Family Services Act, 1984;
“approved cost” means that portion of the actual cost of a building project approved by the Minister;
“architect” means an architect who is a member in good standing of the Ontario Association of Architects;
“auxiliary staff person” means a staff person in a residence who is responsible for the supervision of residents;
“basic care expenditures” means the expenditures incurred with respect to the day to day operation of a residence;
“building project” means a project composed of one or more of the following elements:
(a) the purchase or other acquisition of all or any part of an existing building or buildings including the land contiguous thereto,
(b) any renovations, alterations or additions to an existing building or buildings,
(c) the purchase or other acquisition of vacant land for the purpose of constructing a building or buildings thereon,
(d) the erection of a new building or any part thereof,
(e) the demolition of a building,
(f) the installation of public utilities, sewers and items or services necessary for access to the land or building or buildings;
“child and family intervention service” means a service for a child who has a social, emotional or behavioural problem or any combination thereof for the family of a child who has a social, emotional or behavioural problem or any combination thereof or for the child and the family;
“common parentage” means one common parent;
“discipline” means the act of maintaining an established order in a residence;
“fire-resistant partition” means a construction assembly that acts as a barrier against the spread of fire and has a fire-resistance rating of at least thirty-five minutes;
“fiscal year” of an approved agency or approved corporation is the period designated by the Minister as the fiscal year of the approved agency or approved corporation, as the case may be;
“fuel-fired appliance” means a device that is designed for use in heating and cooling systems that is operated on fuel and includes all components, controls, wiring and piping required to be part of the device under the requirements of Ontario Regulation 403/97 under the Building Code Act, 1992;
“non-arms length relationship” means a relationship between two parties such that one party has the ability to exercise, directly or indirectly, control or significant influence over the operating and financial decisions of the other party;
“parent-model foster care” means the provision of foster care in a foster home by not more than two adults on a continuous basis;
“physical restraint”, in relation to a resident of a residence, means using a holding technique to restrict the resident’s ability to move freely, and “physically restrain” has a corresponding meaning;
“physician” means a legally qualified medical practitioner;
“placing agency” means a society or other corporation that places a child in residential care or in foster care and includes a licensee;
“professional engineer” means a professional engineer who is a member in good standing of the Association of Professional Engineers of the Province of Ontario;
“program staff person” means a staff person in a residence whose primary responsibility is for the day to day care and supervision of residents;
“punishment” means the act of implementing a technique to reduce or eliminate a behaviour of a resident or group of residents;
“recognized school of social work” means,
(a) a school of social work in Canada that at the time this Regulation comes into force is accredited by the Canadian Association of Schools of Social Work, and
(b) a graduate school of social work outside of Canada that has, in the opinion of the Minister, a course in social work that is equivalent to a course given at a school referred to in clause (a);
“registered nurse in the extended class” means a member of the College of Nurses of Ontario who holds an extended certificate of registration as a registered nurse;
“residence” means a children’s residence;
“service” includes, in addition to the items enumerated in the definition of “service” in subsection 3 (1) of the Act, a child and family intervention service;
“service and budget estimate”, with respect to an approved agency or an approved corporation in a particular fiscal year, means its estimated services and its estimated associated costs for those services;
“social work assistant” means a person who,
(a) has attained an Ontario secondary school diploma or has such other educational qualifications that the Minister considers equivalent thereto, or
(b) worked as a social worker with a society for a period of at least one year immediately before the 1st day of January, 1985;
“social work supervisor” means a person who,
(a) has the qualifications of a social worker III, social worker IV or social worker V and has had at least three years experience as a social work practitioner in child welfare, or
(b) has such other educational and personal qualifications together with progressive experience in social work practice as, in the opinion of the local director, constitute adequate and suitable preparation for supervisory duties;
“social worker” means a person who investigates or supervises children and who provides guidance and counselling;
“social worker I” means a person who,
(a) is the holder of a certificate in social services from a post-secondary educational institution in Canada that is at least equivalent to a certificate in social services from a College of Applied Arts and Technology in Ontario, or
(b) has such other educational qualifications that the Minister considers equivalent to those referred to in clause (a) and at least two years of experience in social work;
“social worker II” means a person who,
(a) has successfully completed one year of full-time study in social work at a recognized school of social work and, where the recognized school of social work is outside Canada or the United States of America, has at least one year of experience as a social worker in Canada, or
(b) has at least three years of progressively responsible experience in welfare work in Ontario and has the qualifications of a social work assistant or two years of such experience and has the qualifications of a social worker I;
“social worker III” means a person who,
(a) has successfully completed a two year course of professional education in social work at a recognized school of social work in Canada or the United States of America,
(b) has successfully completed one year of full-time study in social work at a recognized school of social work in Canada or the United States of America and, after the study, has had at least two years of experience in social work,
(c) is the holder of a certificate of qualification in social work issued by the Central Council of Education in Social Work in Great Britain and, after its issuance, has had at least one year of experience in social work, or
(d) has successfully completed a course of professional education in social work at a recognized school of social work in a country other than Canada or the United States of America and has had at least three years of experience in social work in Canada;
“social worker IV” means a person who,
(a) has successfully completed a two year course of professional education in social work at a recognized school of social work in Canada or the United States of America and, after graduation, has had at least three years of experience in child care or family welfare services,
(b) is the holder of a certificate of qualification in social work issued by the Central Council of Education in Social Work in Great Britain and, after its issuance, has had at least four years of experience in child care or family welfare services,
(c) has successfully completed a two year course of professional education in social work at a recognized school of social work outside Canada or the United States of America and, after graduation, has had at least five years of experience in child care or family welfare services;
“social worker V” means a person who,
(a) has successfully completed a two year course of professional education in social work at a recognized school of social work in Canada or the United States of America and, after graduation, has had at least five years of experience in social work at least two of which have been in child care or family welfare services,
(b) is the holder of a certificate of qualification in social work issued by the Central Council of Education in Social Work in Great Britain and, after its issuance, has had at least six years of experience in social work of which at least two have been in child care or family welfare services, or
(c) has successfully completed a two year course of professional education in social work at a recognized school of social work outside Canada or the United States of America and, after graduation, has had at least seven years of experience in social work of which at least three have been in child care or family welfare services;
“special care expenditures” means those expenditures incurred with respect to physical, emotional, developmental and educational needs of residents including professional services and non-recurring costs, but does not include basic care expenditures. R.R.O. 1990, Reg. 70, s. 1; O. Reg. 199/99, s. 1; O. Reg. 77/02, s. 1 (1-4); O. Reg. 493/06, s. 1.
(2) For greater certainty, “physical restraint”, as defined in subsection (1), does not include,
(a) restriction of movement, physical redirection or physical prompting, if the restriction of movement, physical redirection or physical prompting is brief, gentle and part of a behaviour teaching program; or
(b) the use of helmets, protective mitts or other equipment to prevent a resident from physically injuring or further physically injuring himself or herself. O. Reg. 77/02, s. 1 (5).
Approvals, Budgets, Financial Assistance
2. (1) Every agency that applies for an approval under section 8 of the Act shall file with the Minister,
(a) documentation of the need for the proposed service;
(b) evidence of financial viability, including where available, an audited financial statement of the agency for the preceding fiscal year together with a proposed budget for the proposed service;
(c) evidence that the agency is being managed in a competent manner including evidence of sound financial management;
(d) particulars of the program practice and procedures in place in the agency;
(e) particulars of corporations with which the agency has or may have a non-arms length relationship; and
(f) evidence that applicable requirements of the municipality where the premises in which the proposed service will be provided are located have been complied with or can be complied with. R.R.O. 1990, Reg. 70, s. 2 (1).
(2) Every agency that applies for an approval under section 9 of the Act shall file with the Minister,
(a) a copy of the site plan showing the location of the building or buildings, if any, on the site and a sketch of the floor plan of the premises where it is proposed to provide the service;
(b) reasons for the location of the proposed service;
(c) documentation of the permitted uses of the proposed site under existing zoning by-laws of the municipality in which the site is located;
(d) such other information in addition to that required under clauses (a) to (c) as the Minister may require to determine that the proposed premises are suitable for providing a service and that there is a need for the service in the area served or to be served by the service; and
(e) evidence that the premises comply with,
(i) the laws respecting the health of inhabitants of the area in which the premises are located,
(ii) any rule, regulation, direction or order of the local board of health and any direction or order of the local medical officer of health,
(iii) any by-law of the municipality in which the premises are located or other law for the protection of persons from fire hazards,
(iv) any restricted area, standard of housing or building by-law passed by the municipality in which the premises are located under Part V of the Planning Act or any predecessor thereof, and
(v) the requirements of Ontario Regulation 403/97 under the Building Code Act, 1992. R.R.O. 1990, Reg. 70, s. 2 (2); O. Reg. 77/02, s. 2.
3. (1) Every approved agency and every approved corporation shall appoint a person to act as the chief executive officer of the approved agency or approved corporation. R.R.O. 1990, Reg. 70, s. 3 (1).
(2) A person who is appointed as the chief executive officer shall be responsible to the board of directors of the approved agency or approved corporation, as the case may be, for the operation and management of the approved services provided by the approved agency and each children’s institution or children’s mental health centre operated by the approved corporation. R.R.O. 1990, Reg. 70, s. 3 (2).
(3) An approved agency or approved corporation that operates more than one approved service, children’s institution or children’s mental health centre, as the case may be, may appoint more than one person as the chief executive officer and may designate the approved service, children’s institution or children’s mental health centre for which each chief executive officer shall be responsible. R.R.O. 1990, Reg. 70, s. 3 (3).
(4) Subsections (1) and (3) do not apply to a society in so far as it is providing services under section 15 of the Act. R.R.O. 1990, Reg. 70, s. 3 (4).
4. (1) Every approved agency and every approved corporation shall keep books of account that shall,
(a) set forth the revenue and expenditures of the approved agency or approved corporation;
(b) contain a record of money received by the approved agency or approved corporation from sources other than under the Act and this Regulation; and
(c) be audited annually by a licensed public accountant who is not a member of the board or an employee of the approved agency or approved corporation or an employee of a corporation with which the approved agency or approved corporation may have a non-arms length relationship. R.R.O. 1990, Reg. 70, s. 4 (1).
(2) The revenue and expenditure of an approved agency required under clause (1) (a) shall be itemized according to each service provided by the approved agency. R.R.O. 1990, Reg. 70, s. 4 (2).
5. (1) Every approved agency and every approved corporation shall furnish to the Minister,
(a) not later than the last day of the fourth month following the end of each fiscal year,
(i) its annual financial statement together with an auditor’s report thereon prepared by a licensed public accountant, and
(ii) a reconciliation report in a form provided by the Minister;
(b) on a monthly or quarterly basis as required by the Minister, a financial report in a form provided by the Minister that includes statistics on the services provided by the approved agency or the children’s institutions or children’s mental health centres operated by the approved corporation; and
(c) an annual submission in a form provided by the Minister on expenditures and revenues of each children’s residence licensed under Part IX of the Act that is operated by the approved agency or approved corporation. R.R.O. 1990, Reg. 70, s. 5 (1); O. Reg. 50/94, s. 1.
(2) An auditor’s report required under this section shall be prepared in accordance with generally accepted auditing standards as set forth in the handbook of the Canadian Institute of Chartered Accountants. R.R.O. 1990, Reg. 70, s. 5 (2).
(3) A reconciliation report shall include a calculation of the financial assistance payable by Ontario, the actual payments made by Ontario with respect to the fiscal year and a calculation made of the balance that may be owing by or repayable to Ontario. R.R.O. 1990, Reg. 70, s. 5 (3).
(4) Revoked: O. Reg. 199/99, s. 2.
6. (1) Every approved agency and every approved corporation shall keep separate books of account for each children’s residence licensed under Part IX of the Act that is operated by the approved agency or the approved corporation. R.R.O. 1990, Reg. 70, s. 6 (1).
(2) Every approved corporation shall keep separate books of account for each children’s institution or children’s mental health centre operated by the approved corporation. R.R.O. 1990, Reg. 70, s. 6 (2).
(3) Every approved agency shall keep separate books of account for each service provided by the approved agency. R.R.O. 1990, Reg. 70, s. 6 (3).
(4) Each book of account referred to in subsection (2) or (3) shall show aggregate revenues and expenditures separately with respect to each service provided by the approved agency or the children’s institutions or children’s mental health centres operated by the approved corporation, as the case may be. R.R.O. 1990, Reg. 70, s. 6 (4).
(5) Each book of account shall be retained for at least seven years from the date of the last entry in the book for a particular year. R.R.O. 1990, Reg. 70, s. 6 (5).
7. (1) Every approved agency and every approved corporation shall keep and maintain an up to date record of the inventory of all furnishings and equipment acquired by the approved agency or approved corporation with money paid by Ontario under section 8 or 9 of the Act. R.R.O. 1990, Reg. 70, s. 7 (1).
(2) A record of current inventory shall set forth each addition to or removal from the inventory and the reasons therefor and shall be prepared in such a manner and contain such additional information with respect to the inventory as the Minister may require. R.R.O. 1990, Reg. 70, s. 7 (2).
Financial Assistance — Capital
8. (1) An application for financial assistance under section 8 of the Act in respect of a building project by an approved agency or approved corporation shall be made to the Minister on a form provided by the Minister. R.R.O. 1990, Reg. 70, s. 8 (1).
(2) An applicant under subsection (1) for financial assistance shall file with the Minister two copies of a site plan showing the location of the building or buildings, if any, on the site and, in the case of a building project with one or more of the elements referred to in clauses (a), (b), (d) and (f) of the definition of building project,
(a) building plans and specifications prepared by an architect or professional engineer showing the structure, fixtures and arrangements of the building or buildings and describing the areas of the building or buildings to be used for the purposes of the Act; or
(b) where the Minister approves, structural sketches and specifications prepared by a person other than an architect or professional engineer describing the building or buildings and the areas of the building or buildings or contiguous to the building or buildings to be used for the purpose of the Act. R.R.O. 1990, Reg. 70, s. 8 (2).
(3) No plan, specification or structural sketch filed with the Minister shall be amended or altered without the approval of the Minister. R.R.O. 1990, Reg. 70, s. 8 (3).
9. (1) No payment of financial assistance shall be made for a building project except where,
(a) the building project has been approved by the Minister; and
(b) the approved cost has been determined. R.R.O. 1990, Reg. 70, s. 9 (1).
(2) The amount of a payment to an approved agency or to an approved corporation under section 8 of the Act for a building project shall be in an amount determined by the Minister up to 80 per cent of the approved cost of the building project. R.R.O. 1990, Reg. 70, s. 9 (2).
(3) An approval of a building project by the Minister under subsection (1) expires on the first anniversary of the date upon which the approval is given unless the building project has been commenced before the anniversary date. R.R.O. 1990, Reg. 70, s. 9 (3).
(4) The aggregate of the amounts of assistance paid at any point in time shall not exceed,
(a) an amount that bears the same proportion to the estimated total payment as the amount of progress made at the time towards completion of the project bears to the total estimated amount of work required for completion; or
(b) an amount that bears the same proportion to the estimated total payment as the amount of cost incurred at the time bears to the total estimated cost of the project,
whichever is the greater, except where the Minister directs otherwise. R.R.O. 1990, Reg. 70, s. 9 (4).
(5) A single payment, or in the case of payment in two or more instalments, the final payment of an amount payable for a building project shall not be made until,
(a) an architect or professional engineer certifies or the Minister is otherwise satisfied that the building project has been completed in accordance with the plans filed under clause 8 (2) (a) or the sketches thereof approved by the Minister under clause 8 (2) (b) and the building or addition is ready for use and occupancy; and
(b) the applicant for the payment submits a report containing,
(i) a statement of the actual cost of the building project,
(ii) a statement indicating that all refundable sales tax has been taken into account,
(iii) a statement indicating that the total amount of the unpaid accounts applicable to the building project does not exceed the amount of the grant remaining to be paid, and
(iv) an undertaking that the amount of the grant remaining to be paid will be applied first to the payment of the unpaid accounts. R.R.O. 1990, Reg. 70, s. 9 (5).
10. No applicant for or recipient of financial assistance for a building project shall,
(a) acquire a building or land for the building project;
(b) call tenders for the building project;
(c) commence construction of the building project; or
(d) erect any temporary or permanent sign, tablet or plaque on the site or building project,
without the written approval of the Minister. R.R.O. 1990, Reg. 70, s. 10.
11. (1) It is a term and condition of a payment of financial assistance under section 8 of the Act in respect of a building, buildings or land forming part of a building project that the applicant for payment enter into an agreement with the Minister in which the applicant shall agree not to,
(a) change the site, structure or use of or sell, agree to sell, lease, mortgage, encumber, donate or otherwise dispose of all or any part of the building, buildings or land; or
(b) demolish or make alterations or additions to all or any part of the building or buildings,
without the written approval of the Minister. R.R.O. 1990, Reg. 70, s. 11 (1).
(2) The Minister may require as a condition of his or her approval under subsection (1) that the applicant shall reimburse Ontario in the same ratio as the Minister’s share of the acquisition price, together with the costs of renovations, furnishings and equipment, less the costs of disposition, if any, based on the greater of,
(a) current market value; or
(b) the proceeds of disposition. R.R.O. 1990, Reg. 70, s. 11 (2).
(3) Where a recipient of financial assistance for a building project contravenes subsection (1), the Minister may require repayment of all or a part of the share referred to in subsection (2) and calculated in accordance with that subsection. R.R.O. 1990, Reg. 70, s. 11 (3).
(4) Repayment of all or part of the share referred to in subsection (2) may be obtained by,
(a) deducting the share from any money payable to the recipient under the Act; or
(b) recovering the share by a proceeding in a court of competent jurisdiction. R.R.O. 1990, Reg. 70, s. 11 (4).
12. (1) Expenditures incurred by an approved agency or an approved corporation for,
(a) furnishings and equipment that are not replacements; or
(b) repairs to or maintenance of a capital asset,
are capital expenditures if they are,
(c) approved by the Minister as capital expenditures;
(d) in the opinion of the Minister, necessary for the efficient operation of an approved service operated by the approved agency or an approved children’s institution or approved children’s mental health centre operated by an approved corporation, as the case may be, and the cost of which is not, in the opinion of the Minister, excessive for the purpose; and
(e) are in excess of $1,000. R.R.O. 1990, Reg. 70, s. 12 (1).
(2) Financial assistance may be paid for capital expenditures referred to in subsection (1) upon application by the approved agency or approved corporation in an amount up to 80 per cent of the cost as determined by the Minister. R.R.O. 1990, Reg. 70, s. 12 (2).
13. Despite subsection 9 (2) and subsection 12 (2), the amount of a payment of financial assistance under section 8 of the Act to an approved agency or approved corporation for a building project or for the items referred to in subsection 12 (1) shall be equal to an amount determined by the Minister up to the total approved cost of the building project or the items where, in the opinion of the Minister, the requirement for the service, children’s mental health centre or children’s institution is established and funds are not otherwise obtainable by the approved agency or approved corporation. R.R.O. 1990, Reg. 70, s. 13.
14. (1) Every approved agency and every approved corporation shall, before a date fixed by the Minister for each fiscal year, prepare and file with the Minister in a form provided by the Minister a service and budget estimate for that fiscal year. O. Reg. 199/99, s. 3.
(2) If an approved agency or approved corporation does not file a service and budget estimate in accordance with subsection (1), the Minister may at any time after the date fixed by the Minister for filing it determine the amount of the estimate and approve it for that fiscal year. O. Reg. 199/99, s. 3.
(3) The Minister may approve or vary and approve a service and budget estimate filed under subsection (1). O. Reg. 199/99, s. 3.
(4) The Minister may vary and approve a service and budget estimate after an approval has been given and before the end of the fiscal year to which the estimate relates. O. Reg. 199/99, s. 3.
(5) An approved agency or approved corporation may file with the Minister an amendment to its service and budget estimate for a fiscal year if it does so before the end of that fiscal year. O. Reg. 199/99, s. 3.
(6) The Minister may approve, vary and approve or refuse to approve an amended service and budget estimate filed under subsection (5). O. Reg. 199/99, s. 3.
(7) A service and budget estimate approved under subsection (2), (3), (4) or (6) and a refusal to approve an amended estimate under subsection (6) shall be provided to the approved agency or approved corporation. O. Reg. 199/99, s. 3.
(8) An approved agency or approved corporation may, within 30 days after receiving an approved service and budget estimate or a refusal to approve an amended estimate, request either or both of the following:
1. A meeting with the Minister.
2. That the Minister consider written submissions from the approved agency or approved corporation. O. Reg. 199/99, s. 3.
(9) A date for a meeting shall be fixed and written submissions shall be filed no later than 30 days after the Minister receives the request, unless otherwise agreed by the Minister. O. Reg. 199/99, s. 3.
(10) After considering the presentation or written submissions made by the approved agency or approved corporation, the Minister may,
(a) vary the service and budget estimate or amended estimate and approve it as varied; or
(b) confirm the service and budget estimate previously approved under this section. O. Reg. 199/99, s. 3.
(11) A decision of the Minister under subsection (10) is final. O. Reg. 199/99, s. 3.
(12) If an approved agency or approved corporation receives an approved service and budget estimate and does not make a request within the 30-day period set out in subsection (8), the Minister’s decision with respect to approval of the estimate is final. O. Reg. 199/99, s. 3.
15. (1) An amount paid to an approved agency or an approved corporation under this Part shall not exceed the amount of the approved service and budget estimate and shall only be expended by the approved agency or approved corporation in accordance with the approved service and budget estimate. O. Reg. 199/99, s. 3.
(2) Before the service and budget estimate of an approved agency or approved corporation has been approved for a fiscal year, amounts may be paid to it for that fiscal year, based on the approved service and budget estimate for the preceding year. O. Reg. 199/99, s. 3.
Note: Amounts paid under subsection (2) for the fiscal year beginning in 1999 shall be based on the previous year’s approved estimate. See O. Reg. 199/99, s. 8.
(3) An amount payable under this Part may be paid in advance. O. Reg. 199/99, s. 3.
(4) An amount paid under this Part may be adjusted by the Minister upon receipt of the annual financial statement and the reconciliation report of the approved agency or approved corporation required under section 5. O. Reg. 199/99, s. 3.
(5) The amount of an adjustment to an approved service and budget estimate,
(a) shall be refunded by the approved agency or approved corporation to Ontario when Ontario so requests; or
(b) shall be taken into account in approving the service and budget estimate of the approved agency or approved corporation for a subsequent fiscal year. O. Reg. 199/99, s. 3.
16. (1) The board of directors of a society shall pass a by-law that provides for an executive committee that consists of the president and the treasurer of the board of directors and that provides for the election from among the directors of at least three additional members. O Reg. 199/99, s. 4.
(2) The board of directors may by by-law delegate to the executive committee any powers of the board of directors, subject to the restrictions, if any, contained in the by-law or imposed from time to time by the board. R.R.O. 1990, Reg. 70, s. 16 (2).
(3) A majority of the members of an executive committee constitutes a quorum. R.R.O. 1990, Reg. 70, s. 16 (3).
17.-23. Revoked: O. Reg. 199/99, s. 5.
24., 25. Revoked: O. Reg. 483/97, s. 7.
26., 27. Revoked: O. Reg. 199/99, s. 5.
Staff Qualifications of Societies
28. No society shall employ a social worker unless the person is a social work assistant, a social work supervisor, a social worker I, a social worker II, a social worker III, a social worker IV or a social worker V. R.R.O. 1990, Reg. 70, s. 28.
29. Every local director of a society shall be a person who,
(a) has successfully completed two years of professional education in social work at a recognized school of social work and has had at least three years experience as a social work practitioner in child welfare;
(b) has educational qualifications that together with the person’s experience in social work are, in the opinion of the Minister, suitable for the position; or
(c) held the appointment of local director on the 1st day of June, 1985. R.R.O. 1990, Reg. 70, s. 29.
30. (1) In addition to the powers and duties that a Director has under the Act, a Director,
(a) shall, in respect of a Crown ward, have authority to consent to,
(i) the issuance of a passport in the name of a Crown ward who is under sixteen years of age, and
(ii) travel outside of Canada by a Crown ward unless the Director requires the consent to be given by the local director of the society having care of the Crown ward;
(b) may extend the period of time within which a report shall be made to a Director under subsection 2 (2) of Regulation 71 of the Revised Regulations of Ontario, 1990 (Register); and
(c) may approve social workers to visit homes of prospective adoptive parents. R.R.O. 1990, Reg. 70, s. 30 (1).
(2) Where an approval is required by a Director, where something is to be done as required by a Director or where a determination is to be made by a Director under this Regulation, the approval, requirement or determination is prescribed to be a power of a Director. R.R.O. 1990, Reg. 70, s. 30 (2).
31. (1) An agreement for the temporary care and custody of a child entered into under subsection 29 (1) of the Act shall be in Form 2. R.R.O. 1990, Reg. 70, s. 31 (1).
(2) An agreement for services to meet the special needs of a child entered into under subsection 30 (1) of the Act shall be in Form 3. R.R.O. 1990, Reg. 70, s. 31 (2).
(3) An agreement for services to meet the special needs of a child sixteen years of age or older and under eighteen years of age entered into under subsection 31 (1) of the Act shall be in Form 4. R.R.O. 1990, Reg. 70, s. 31 (3).
(4) An agreement to extend a temporary care agreement under subsection 29 (5) of the Act or to vary a temporary care agreement under subsection 29 (10) of the Act shall be in Form 5. R.R.O. 1990, Reg. 70, s. 31 (4).
(5) An agreement to extend a special needs agreement under subsection 30 (3) of the Act or to vary a special needs agreement under subsection 30 (4) or 31 (4) of the Act shall be in Form 6. R.R.O. 1990, Reg. 70, s. 31 (5).
32. (1) The Minister shall be deemed to be a child welfare authority for the purposes of entering into an agreement under subsection 30 (2), 30 (3), 31 (2) or 31 (4) of the Act to meet the special needs of a child. R.R.O. 1990, Reg. 70, s. 32 (1).
(2) The agreements referred to in subsection (1) shall be in a form provided by the Minister. R.R.O. 1990, Reg. 70, s. 32 (2).
33. The Minister may require that a special needs agreement be entered into under section 30 or 31 of the Act where a residential service is provided to a child. R.R.O. 1990, Reg. 70, s. 33.
Place of Safety Prior to Placement
33.1 A society is exempted from the licensing requirements under Part IX of the Act in respect of a person’s home for up to 60 days after a child has been placed in the person’s home, if the society is satisfied that the person is willing and able to provide a place of safety for purposes of subsection 37 (5) of the Act. O. Reg. 493/06, s. 2.
33.2 (1) In conducting an assessment of a person’s home as a place of safety pursuant to clause 37 (5) (b) of the Act, the following procedures shall be followed:
1. A child protection worker or a family service worker employed by an Indian or native child and family service authority shall obtain information,
i. as to the identity of every person who is 18 years of age or older and resides in the home in which the child will be placed, and
ii. as to the nature of the relationship between the child and every person referred to in subparagraph i.
2. A child protection worker or a family service worker employed by an Indian or native child and family service authority shall meet with the proposed primary caregiver and conduct an interview of the caregiver.
3. A child protection worker or a family service worker employed by an Indian or native child and family service authority shall meet in private with the child who will be placed and conduct an interview appropriate to the child’s age and developmental capacity.
4. A child protection worker or a family service worker employed by an Indian or native child and family service authority or a person designated by the society shall conduct an assessment of the home environment, including an assessment of the physical aspects of the home.
5. A child protection worker shall conduct a review of the society’s records and files for information relating to any person who is 18 years of age or older and resides in the home in which the child will be placed.
6. A child protection worker or a family service worker employed by an Indian or native child and family service authority shall obtain the consent of the proposed primary caregiver to a criminal record check.
7. A child protection worker or a family service worker employed by an Indian or native child and family service authority shall obtain the consent of the proposed primary caregiver to the disclosure of information related to themself by any society in Ontario or any child protection authority outside of Ontario. O. Reg. 493/06, s. 2.
(2) If an assessment under subsection (1) is being conducted by a designated Indian or native child and family service authority that is not a society, the authority shall advise the society that may be placing the child of the name of any person who is 18 years of age or older and resides in the home in which the child will be placed. O. Reg. 493/06, s. 2.
(3) A society that is advised under subsection (2) of the name of a person who is 18 years of age or older and resides in the home where it is proposed that a child will be placed,
(a) shall conduct a review of the society’s records and files for information relating to the person; and
(b) shall forthwith respond to the Indian or native child and family service authority indicating,
(i) whether or not information relating to the person exists in the society’s files or records, and
(ii) whether the society has reasonable grounds to suspect that a child may be at risk if placed in the home. O. Reg. 493/06, s. 2.
(4) A society that receives a request from an Indian or native child and family service authority for information about a person who is 18 years of age or older and resides in the home in which a child may be placed and a consent from that person to the disclosure of information shall forthwith respond to the authority indicating the nature of the information in the society’s files or records. O. Reg. 493/06, s. 2.
(5) As soon as practicable but not later than 30 days after conducting an assessment under this section, a child protection worker or, where applicable, a family services worker employed by an Indian or native child and family service authority shall document the assessment of the person’s home. O. Reg. 493/06, s. 2.
33.3 A child shall not be placed in a person’s home as a place of safety unless the home has been assessed in accordance with section 33.2 within 30 days before the placement. O. Reg. 493/06, s. 2.
34. Revoked: O. Reg. 493/06, s. 3.
35. A person entering premises under subsection 40 (11) or 44 (2) of the Act (power of entry) shall produce identification, including evidence of appointment, on request of the occupier. R.R.O. 1990, Reg. 70, s. 35.
36. (1) A warrant to apprehend and return a child in care under subsection 41 (1) of the Act shall be in Form 7. R.R.O. 1990, Reg. 70, s. 36 (1).
(2) An information in support of a warrant to apprehend and return a child in care shall be in Form 8. R.R.O. 1990, Reg. 70, s. 36 (2).
(3) A warrant to apprehend and return a child who has withdrawn from a parent’s care under subsection 43 (2) of the Act shall be in Form 9. R.R.O. 1990, Reg. 70, s. 36 (3).
(4) An information in support of a warrant to apprehend and return a child who has withdrawn from a parent’s care shall be in Form 10. R.R.O. 1990, Reg. 70, s. 36 (4).
36.0.1 (1) An application for a review under subsection 61 (7.1) of the Act shall be made in a form approved by the Minister. O. Reg. 493/06, s. 4.
(2) For the purposes of subsection 61 (8.2) of the Act the following additional practices and procedures are prescribed:
1. Within seven days of receipt of an application for a review under subsection 61 (7.1) of the Act, the Board shall give the applicant written notice of whether the applicant is eligible for a review under section 61.
2. If the Board determines that the applicant is eligible for a review, the notice referred to in paragraph 1 shall set out the date and time of the hearing and shall be sent to all parties.
3. The application for review shall be heard by the Board within 20 days of the day the applicant received notice of eligibility under paragraph 1.
4. A decision and reasons under subsection 61 (8.6) of the Act shall be sent to all parties no later than 10 days after the end of a hearing. O. Reg. 493/06, s. 4.
(3) Notice under subsection (2) may be given by regular mail or by fax. O. Reg. 493/06, s. 4.
(4) If notice is sent by regular mail, it shall be sent to the most recent address known to the society and is deemed to be received by the applicant on the fifth day after it is mailed. O. Reg. 493/06, s. 4.
(5) If notice is sent by fax, it is deemed to be received on the day after it is sent, unless that day is a holiday, in which case the copy is deemed to be received on the next day that is not a holiday. O. Reg. 493/06, s. 4.
(6) For the purposes of a hearing under section 61 of the Act, the members of the Board shall meet the following qualifications and experience set out in paragraph 1 or shall have the following experience set out in paragraph 2:
1. A degree, diploma or certificate granted by a university or other post-secondary institution authorized to grant such credentials in Ontario or equivalent qualifications, as determined by the chair of the Board, and at least one year’s experience working in or volunteering in children’s services or social services.
2. At least five years’ experience working in or volunteering in children’s services or social services. O. Reg. 493/06, s. 4.
36.1 (1) A warrant for access to a record or a specified part of a record under section 74.1 of the Act shall be in Form 42. O. Reg. 45/00, s. 1 (1).
(2) An information in support of a warrant for access to a record or a specified part of a record under section 74.1 of the Act shall be in Form 43. O. Reg. 45/00, s. 1 (1).
36.2 (1) A warrant for access to a record or a specified part of a record under section 74.2 of the Act shall be in Form 44. O. Reg. 45/00, s. 1 (2).
(2) An information in support of a warrant for access to a record or a specified part of a record under section 74.2 of the Act shall be in Form 45. O. Reg. 45/00, s. 1 (2).
36.3 (1) To apply for a warrant under section 74.2 of the Act, a Director or a person designated by a society may, instead of submitting to the justice an information on oath, submit to the justice by facsimile transmission an information that is not on oath but that includes a written statement, signed by the Director or the person designated by the society, stating that all matters contained in the information are true to his or her knowledge and belief. O. Reg. 45/00, s. 1 (2).
(2) A written statement described in subsection (1) shall be deemed to be a statement made under oath. O. Reg. 45/00, s. 1 (2).
(3) A justice who receives by facsimile transmission an information described in subsection (1) shall, as soon as practicable, cause the information, certified by the justice as to the place, time and date of its receipt, to be filed with the clerk of the court having jurisdiction in the area where the warrant is to be executed. O. Reg. 45/00, s. 1 (2).
(4) A justice who issues a warrant under subsection 74.2 (3) of the Act on the basis of an information submitted by facsimile transmission under subsection (1) shall,
(a) complete and sign the warrant, noting on its face the date on which, and the time and place at which, it was issued;
(b) send the warrant by facsimile transmission to the Director or person designated by a society who submitted the information; and
(c) as soon as practicable after the warrant is issued, cause it to be filed with the clerk of the court having jurisdiction in the area where the warrant is to be executed. O. Reg. 45/00, s. 1 (2).
37. (1) The Custody Review Board continued under section 96 of the Act shall consist of not more than 34 members. O. Reg. 303/01, s. 1.
(2) Revoked: O. Reg. 465/07, s. 1.
(3) One member of the Board constitutes a quorum. R.R.O. 1990, Reg. 70, s. 37 (3).
(4) A Vice-Chair designated by the Chair has the jurisdiction and shall exercise the power of the Chair,
(a) in the absence of the Chair; or
(b) if the Chair is unable to act or the office of the Chair is vacant. R.R.O. 1990, Reg. 70, s. 37 (4).
(5) The Chair shall, from time to time, assign various members of the Board to its various hearings and reviews. R.R.O. 1990, Reg. 70, s. 37 (5).
38. (1) In addition to the duties of the Board prescribed in section 97 of the Act, the Board shall,
(a) carry out the duties required to be exercised by the Training Schools Advisory Board with respect to children who were made wards of the Crown under the Training Schools Act (R.S.O. 1980, c. 508), until the wardships expire or are terminated; and
(b) review the placement of probationers who are ordered by the youth court under paragraph 23 (2) (f) of the federal Act to reside at a place specified by a provincial director where the place is a place of open custody. R.R.O. 1990, Reg. 70, s. 38 (1).
(2) An application by a young person for a review under clause (1) (b) shall be made within thirty days of the placement at the place specified by the provincial director. R.R.O. 1990, Reg. 70, s. 38 (2).
(3) Subsections 97 (2), (3), (4) and (5) of the Act apply with necessary modifications to a review by the Board in respect of an application under subsection (2). R.R.O. 1990, Reg. 70, s. 38 (3).
(4) After conducting a review, the Board may,
(a) where the Board is of the opinion that the place where the young person resides is not appropriate to meet the young person’s needs, recommend to the provincial director that the young person be transferred to another place; or
(b) confirm the placement. R.R.O. 1990, Reg. 70, s. 38 (4).
39. (1) Where the Board holds a hearing in respect of an application, a young person may be represented at the hearing by a parent or other advocate of his or her choice. R.R.O. 1990, Reg. 70, s. 39 (1).
(2) The Board shall conduct reviews and hearings in an informal manner and in the absence of the public. R.R.O. 1990, Reg. 70, s. 39 (2).
(3) The provincial director shall co-operate with the Board in the conduct of the reviews and shall provide the Board with documents and other information with respect to reviews when requested by the Board to do so. R.R.O. 1990, Reg. 70, s. 39 (3).
(4) The Board shall make its recommendations under subsection 97 (6) of the Act and clause 38 (4) (a) of this Regulation in writing to the provincial director and shall provide a copy of the written recommendations to the young person and his or her representative. R.R.O. 1990, Reg. 70, s. 39 (4).
40. (1) An information to obtain a warrant of apprehension and return of a young person under section 98 of the Act shall be in Form 11. R.R.O. 1990, Reg. 70, s. 40 (1).
(2) A warrant of apprehension and return of a young person under section 98 of the Act shall be in Form 12. R.R.O. 1990, Reg. 70, s. 40 (2).
41. (1) For the purposes of subsection 109 (1) of the Act, the written procedure shall set out,
(a) the methods by which a child may express concerns with respect to alleged violations of the child’s rights under Part V of the Act,
(i) in the presence of other children and to a program staff person,
(ii) in private to a program staff person, and
(iii) in private to the service provider or a person designated by the service provider; and
(b) the method by which a parent of a child or other person representing a child may express concerns with respect to alleged violations of the child’s rights under Part V of the Act,
(i) in private to a program staff person, and
(ii) in private to the service provider. R.R.O. 1990, Reg. 70, s. 41 (1).
(2) Subsection (1) does not apply to a child of a service provider, a program staff person or other person employed by the service provider. R.R.O. 1990, Reg. 70, s. 41 (2).
PART VI
EXTRAORDINARY MEASURES
42. Subject to section 183 of the Act, the counsel or agent representing a child who is the subject of an application or order under Part VI is entitled to examine and to copy the record prepared in respect of the child and maintained by any service provider. R.R.O. 1990, Reg. 70, s. 42.
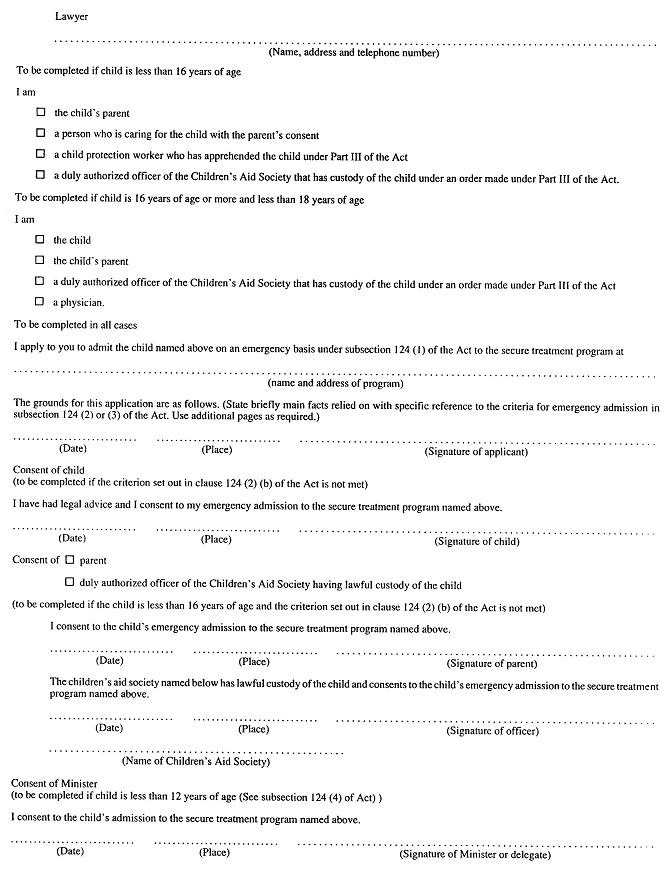
43. (1) An application for emergency admission to a secure treatment program shall be in Form 13. R.R.O. 1990, Reg. 70, s. 43 (1).
(2) The person in charge of a secure treatment program shall use Form 14 for the emergency admission of a child to the secure treatment program. R.R.O. 1990, Reg. 70, s. 43 (2).
(3) An application for review of emergency admission to a secure treatment program shall be in Form 15. R.R.O. 1990, Reg. 70, s. 43 (3).
(4) An order reviewing a child’s emergency admission to a secure treatment program shall be in Form 16. R.R.O. 1990, Reg. 70, s. 43 (4).
(5) A warrant to apprehend and return a child who has been admitted to a secure treatment program and has left that program without consent shall be in Form 17. R.R.O. 1990, Reg. 70, s. 43 (5).
(6) An information in support of a warrant to apprehend and return a child who has been admitted to a secure treatment program shall be in Form 18. R.R.O. 1990, Reg. 70, s. 43 (6).
44. A secure isolation room shall,
(a) not be used as a bedroom for a child who is in secure isolation;
(b) contain a window that is unbreakable or some other means of observing the child;
(c) contain lighting that is adequate to ensure the continuous observation of a child who is placed in secure isolation; and
(d) contain no objects that could be used by the child as instruments of injury or damage. R.R.O. 1990, Reg. 70, s. 44.
45. (1) Every service provider shall develop and maintain written policies and procedures with respect to the use of a secure isolation room in premises of the provider where it is proposed to place children in secure isolation. R.R.O. 1990, Reg. 70, s. 45 (1).
(2) The policies and procedures referred to in subsection (1) shall be reviewed with each staff person who is involved in the use of secure isolation upon the initial orientation of the staff person and at least annually thereafter. R.R.O. 1990, Reg. 70, s. 45 (2).
46. Every service provider shall maintain a written record of each instance of the use of a secure isolation room that shall include the name and age of each child placed in secure isolation and the dates and the duration of each use for each child. R.R.O. 1990, Reg. 70, s. 46.
47. Where a child is kept in a secure isolation room for more than one hour, the person in charge of the premises in which the secure isolation room is located shall review the continued need for secure isolation of the child at least every thirty minutes. R.R.O. 1990, Reg. 70, s. 47.
48. (1) An application to a Director under subsection 126 (1) of the Act for approval of a locked room for use for the secure isolation of children shall be made to a Director in Form 19. R.R.O. 1990, Reg. 70, s. 48 (1).
(2) An application in Form 19 shall be accompanied by the applicant’s written policies and procedures with respect to the use of a secure isolation room together with such other information concerning the service provider’s program, the room and the proposed use of the room for secure isolation as a Director considers necessary to determine whether the room should be approved for use for the secure isolation of children. R.R.O. 1990, Reg. 70, s. 48 (2).
(3) Upon receipt of an application under subsection (1), a Director may inspect the premises and the room to be approved for the purposes of determining whether the room can be approved. R.R.O. 1990, Reg. 70, s. 48 (3).
(4) An approval or renewal of an approval of a locked room for use for the secure isolation of children shall be in Form 20. R.R.O. 1990, Reg. 70, s. 48 (4).
(5) A refusal or withdrawal of an approval of a locked room for use for the secure isolation of children shall be in Form 21. R.R.O. 1990, Reg. 70, s. 48 (5).
49. The drugs listed in the Schedule are prescribed as psychotropic drugs.
SCHEDULE
Item |
Drug |
Anti-psychotic drugs | |
1. |
Chlorpromazine |
2. |
Chlorprothixene |
3. |
Droperidol |
4. |
Fluphenazine |
5. |
Fluspirilene |
6. |
Haloperidol |
7. |
Loxapine |
8. |
Mesoridazine |
9. |
Methotrimeprazine |
10. |
Pericyazine |
11. |
Perphenazine |
12. |
Piperacetazine |
13. |
Pipotiazine |
14. |
Prochlorperazine |
15. |
Promazine |
16. |
Thiethylperazine |
17. |
Thiospropazate |
18. |
Thioproperazine |
19. |
Thioridazine |
20. |
Thiothixene |
21. |
Trifluoperazine |
Anti-depressant drugs | |
22. |
Amitriptyline |
23. |
Amoxapine |
24. |
Clomipramine |
25. |
Desipramine |
26. |
Doxepin |
27. |
Imipramine |
28. |
Isocarboxazid |
29. |
Loxapine |
30. |
Maprotiline |
31. |
Nortriptyline |
32. |
Phenelzine |
33. |
Protriptyline |
34. |
Tranylcypromine |
35. |
Trazodone |
36. |
Trimipramine |
Sedative and hypnotic drugs | |
37. |
Alprazolam |
38. |
Barbituric Acid Derivatives |
39. |
Chloral Hydrate |
40. |
Ethchlorvynol |
41. |
Flurazepam |
42. |
Glutethimide |
43. |
Lorazepam |
44. |
Methaqualone |
45. |
Methyprylon |
46. |
Nitrazepam |
47. |
Paraldehyde |
48. |
Temazepam |
49. |
Triazolam |
Anti-anxiety drugs | |
50. |
Alprazolam |
51. |
Bromazepam |
52. |
Chlordiazepoxide |
53. |
Chlormezanone |
54. |
Clonazepam |
55. |
Clorazepic acid |
56. |
Diazepam |
57. |
Hydroxyzine |
58. |
Ketazolam |
59. |
Lorazepam |
60. |
Meprobamate |
61. |
Oxazepam |
Anti-hyperkinetic drugs | |
62. |
Amphetamine |
63. |
Deanol |
64. |
Dextroamphetamine |
65. |
Methylphenidate |
Anti-manic drugs | |
66. |
Lithium Carbonate |
R.R.O. 1990, Reg. 70, s. 49.
49.1 (1) For the purposes of Part VII of the Act, a person, other than a foster parent, who satisfies one of the following criteria is a birth parent:
1. The biological mother or father.
2. An individual described in one of paragraphs 1 to 6 of subsection 8 (1) of the Children’s Law Reform Act, unless it is proved on the balance of probabilities that he is not the child’s natural father.
3. An individual who, during the twelve months before the child is placed for adoption under Part VII of the Act, has demonstrated a settled intention to treat the child as a child of his or her family or has acknowledged parentage of the child and provided for the child’s support.
4. An individual who, under a written agreement or a court order, is required to provide for the child or has a right of access to the child.
5. An individual who has acknowledged parentage of the child in writing under section 12 of the Children’s Law Reform Act.
6. Any person, other than those referred to in paragraphs 1 to 5, who was required to give consent to the child’s adoption under subsection 137 (2) of the Act. O. Reg. 493/06, s. 5; O. Reg. 465/07, s. 2; O. Reg. 274/08, s. 1.
(2) For the purposes of openness orders under Part VII of the Act and openness agreements under section 153.6 of the Act,
“openness” includes written, verbal or face to face contact or communication, where the communication may be direct or indirect and may permit the disclosure of identifying or non-identifying information and the frequency of contact or communication may vary from episodic to ongoing. O. Reg. 493/06, s. 5.
(3) For the purposes of the definition of openness,
“non-identifying information” means information whose disclosure, alone or in combination with other information, does not reveal the identity of the person to whom it relates. O. Reg. 493/06, s. 5.
49.2 (1) For the purposes of clause 137 (4) (a.1) of the Act, before the parent of a child consents to the adoption of the child under clause 137 (2) (a) of the Act, the adoption agency that is placing the child for adoption shall advise the parent of the matters described in subsection (2) or (3), as the case may be. O. Reg. 274/08, s. 2 (1).
(2) If the child being placed for adoption has not been previously adopted, the adoption agency shall advise the parent of,
(a) the right of persons to obtain non-identifying information under sections 12 and 13 of Ontario Regulation 464/07 (Adoption Information Disclosure) made under the Act and the categories of persons who are entitled to obtain the information;
(b) the right of persons to have their name added to the adoption disclosure register under section 9 of Ontario Regulation 464/07 and the categories of persons who are entitled to have their name added to the register;
(c) the right of persons to request a search in cases of severe medical illness under section 16 of Ontario Regulation 464/07 and the categories of persons who are entitled to request the search;
(d) the following rights under the Vital Statistics Act of a person who is an adopted person or a birth parent within the meaning of the Vital Statistics Act:
(i) the right that an adopted person will have to obtain uncertified copies of a birth registration and of an adoption order under section 48.1 of the Vital Statistics Act, once section 4 of the Access to Adoption Records Act (Vital Statistics Statute Law Amendment), 2008 is proclaimed into force,
Note: On June 1, 2009, subclause (i) is revoked and the following substituted:
(i) the right of an adopted person to obtain uncertified copies of a birth registration and of an adoption order under section 48.1 of the Vital Statistics Act,
See: O. Reg. 274/08, ss. 2 (2), 9 (2).
(ii) the right that a birth parent will have to obtain information under section 48.2 of the Vital Statistics Act, once section 4 of the Access to Adoption Records Act (Vital Statistics Statute Law Amendment), 2008 is proclaimed into force,
Note: On June 1, 2009, subclause (ii) is revoked and the following substituted:
(ii) the right of a birth parent to obtain information under section 48.2 of the Vital Statistics Act,
See: O. Reg. 274/08, ss. 2 (2), 9 (2).
(iii) the right of an adopted person and of a birth parent to register a notice of preferred manner of contact under section 48.3 of the Vital Statistics Act, and
(iv) the right of an adopted person and of a birth parent to register a notice of a wish not to be contacted under section 48.4 of the Vital Statistics Act. O. Reg. 274/08, s. 2 (1).
(3) If the child being placed for adoption was previously adopted and is being placed by an adoption agency for a subsequent adoption, whether the parent who gives consent to the subsequent adoption is the adoptive parent who previously adopted the child or any other parent entitled to give consent, the adoption agency shall advise the parent of,
(a) the matters described in clauses (2) (a), (b) and (c); and
(b) the following rights under the Vital Statistics Act of the person who is an adopted person within the meaning of that Act or of an adoptive parent named in a previous order, judgment or decree of adoption registered under subsection 28 (1) of that Act, or a predecessor of that subsection:
(i) the right that an adopted person will have to obtain uncertified copies of a birth registration and of an adoption order under section 48.1 of the Vital Statistics Act, once section 4 of the Access to Adoption Records Act (Vital Statistics Statute Law Amendment), 2008 is proclaimed into force,
Note: On June 1, 2009, subclause (i) is revoked and the following substituted:
(i) the right of an adopted person to obtain uncertified copies of a birth registration and of an adoption order under section 48.1 of the Vital Statistics Act,
See: O. Reg. 274/08, ss. 2 (3), 9 (2).
(ii) the right that an adopted person will have to obtain uncertified copies of a substituted birth registration under subsection 2 (2) of Ontario Regulation 272/08 once section 4 of the Access to Adoption Records Act (Vital Statistics Statute Law Amendment), 2008 is proclaimed into force, and
Note: On June 1, 2009, subclause (ii) is revoked and the following substituted:
(ii) the right of an adopted person to obtain uncertified copies of a substituted birth registration under subsection 2 (2) of Ontario Regulation 272/08, and
See: O. Reg. 274/08, ss. 2 (3), 9 (2).
(iii) the right of the adoptive parent under subsection 2 (5) of Ontario Regulation 272/08 to register a notice of preferred manner of contact under section 48.3 of the Vital Statistics Act or a notice of a wish not to be contacted under section 48.4 of that Act. O. Reg. 274/08, s. 2 (1).
50. (1) Every adoption agency shall, with respect to the placement of children,
(a) ensure that counselling is made available to each person who is a parent within the meaning of subsection 137 (1) of the Act (parent defined) who is considering relinquishing a child for adoption;
(b) recruit prospective adoptive parents for children who are awaiting adoption;
(c) ensure that an assessment is conducted on each prospective adoptive parent;
(d) ensure that each adoption placement is supervised;
(e) ensure that assistance is provided to complete the adoption of children who have been placed by the adoption agency;
(f) ensure that post adoption services are provided to a child who is an adopted person, the adoptive family and any other person who is directly affected by the adoption where a request is made for such services;
(g) ensure that services related to the disclosure of information that relates to an adoption are provided in accordance with Part VII of the Act; and
(h) ensure that each child awaiting placement for adoption receives residential care where required. R.R.O. 1990, Reg. 70, s. 50 (1).
(2) Every adoption agency shall provide consulting and interviewing space that ensures privacy for all persons involved in the adoption. R.R.O. 1990, Reg. 70, s. 50 (2).
(3) Every adoption agency shall ensure that it has access to the services of,
(a) two members of the College of Physicians and Surgeons of Ontario, one of whom is recognized by the College as a member with a specialty in psychiatry;
(b) a social worker approved by a Director, or by a local director in the case of a society;
(c) a member of the College of Psychologists of Ontario; and
(d) a person licensed to practise law under the Law Society Act. O. Reg. 274/08, s. 3 (1).
(3.1) Revoked: O. Reg. 274/08, s. 3 (2).
(4) Where a child to be placed by a licensee referred to in Part VII of the Act is an Indian or a native person, the licensee shall give the child’s band or native community thirty days written notice of the licensee’s intention to place the child for adoption. R.R.O. 1990, Reg. 70, s. 50 (4).
51. (1) A child may be placed for adoption outside of Canada where one of the following special circumstances exist:
1. The placement fulfils a special need of the child that is related to or caused by a behavioural, developmental, emotional, physical, mental or other handicap.
2. At least one of the prospective adoptive parents is a Canadian citizen.
3. At least one of the prospective adoptive parents is related to the child by blood, marriage or adoption but is not a relative as defined in subsection 3 (1) of the Act.
4. The placement will preserve the child’s cultural background. R.R.O. 1990, Reg. 70, s. 51 (1); O. Reg. 161/93, s. 1; O. Reg. 274/08, s. 4.
(2) Every adoption agency that intends to place a child for adoption outside of Canada shall, before placing the child, prepare a placement plan that,
(a) includes a copy of the home study referred to in subsection 55 (1);
(b) includes a statement of the health care to be provided for the child, including particulars of health insurance coverage for the child;
(c) includes a statement of the arrangements made for the care of the child in the event of an adoption breakdown;
(d) specifies the agency that will be supervising the child during the placement and a description of the proposed supervision;
(e) includes a description of the provisions made for the child’s education during the placement;
(f) includes a description of the adoption law in the jurisdiction of the placement and an opinion by a qualified legal practitioner in that jurisdiction as to whether or not the child can be adopted under that law; and
(g) includes a description of the immigration and citizenship laws in the jurisdiction of the placement and an opinion by a qualified legal practitioner in that jurisdiction as to whether or not the child can enter the jurisdiction and obtain citizenship under those laws. R.R.O. 1990, Reg. 70, s. 51 (2).
(3) A licensee referred to in Part VII of the Act that prepares a placement plan referred to in subsection (2) shall file a copy of the plan with a Director before the Director’s approval or refusal is given under subsection 142 (2) of the Act. R.R.O. 1990, Reg. 70, s. 51 (3).
(4) No child shall be placed for adoption and removed from Canada or placed for adoption outside of Canada until the twenty-one-day period for withdrawing a consent under subsection 137 (8) of the Act has expired. R.R.O. 1990, Reg. 70, s. 51 (4).
(5) No child who is seven years of age or more shall be placed for adoption and removed from Canada or placed for adoption outside of Canada unless the child consents to the placement. R.R.O. 1990, Reg. 70, s. 51 (5).
(6) Subsections (1), (4) and (5) do not apply to a child who is to be adopted by the child’s relative, the child’s parent or a spouse of the child’s parent and who is taken or sent out of Canada for that purpose. R.R.O. 1990, Reg. 70, s. 51 (6).
(7) Where a licensee referred to in Part VII of the Act is unable to place a child for adoption within sixty days after a Director has approved the placement under clause 142 (2) (a) of the Act, the licensee shall forthwith after the expiration of the sixty-day period notify a Director in writing that the child has not been placed for adoption and give reasons therefor. R.R.O. 1990, Reg. 70, s. 51 (7); O. Reg. 683/92, s. 1.
52. (1) Every licensee referred to in Part VII of the Act that receives an application from a person who wishes to receive a child for adoption or to board a child intended to be placed for adoption shall upon receiving the application,
(a) record a description of the home of the applicant; and
(b) assess the home environment of the applicant including the applicant’s competence and suitability as a foster parent or adoptive parent, as the case may be, and make a record of the assessment. R.R.O. 1990, Reg. 70, s. 52 (1).
(2) Where a child is placed in a foster home and an assessment of the home is made under clause (1) (b), the licensee shall reassess the foster home at least once a year during the placement. R.R.O. 1990, Reg. 70, s. 52 (2).
(3) Where six months or more expire from the time that an assessment referred to in clause (1) (b) is made and a child is not yet placed or boarded with the applicant, a reassessment of the home environment of the applicant shall be made by the licensee before a child is placed or boarded with the applicant. R.R.O. 1990, Reg. 70, s. 52 (3).
53. (1) A notice of a proposed placement under subsection 141 (3) of the Act shall be in Form 22. R.R.O. 1990, Reg. 70, s. 53 (1).
(2) A notice of a Director’s decision under subsection 142 (2) of the Act to approve a proposed placement for adoption or to refuse approval of a placement for adoption shall be in Form 23. R.R.O. 1990, Reg. 70, s. 53 (2).
54. (1) Every adoption agency that proposes to place a child for adoption shall, before placing the child, prepare a report in a form approved by a Director that sets out the social and medical history of the child and of each person who is a parent of the child. R.R.O. 1990, Reg. 70, s. 54 (1).
(2) Every adoption agency shall ensure that the information contained in the social history and medical history of the parents of the child and of the child, except for any information that would identify the parents of the child, is shared in writing with the prospective adoptive parents prior to the adoption of the child. R.R.O. 1990, Reg. 70, s. 54 (2).
(2.1) If an adoption agency is proposing to place a child for adoption and the child has not been previously adopted, the adoption agency shall ensure that information relating to the following matters is shared with the prospective adoptive parents before placing the child:
1. The right of persons to obtain non-identifying information under sections 12 and 13 of Ontario Regulation 464/07 (Adoption Information Disclosure) made under the Act and the categories of persons who are entitled to obtain the information.
2. The right of persons to have their name added to the adoption disclosure register under section 9 of Ontario Regulation 464/07 and the categories of persons who are entitled to have their name added to the register.
3. The right of persons to request a search in cases of severe medical illness under section 16 of Ontario Regulation 464/07 and the categories of persons who are entitled to request the search.
4. The following rights under the Vital Statistics Act of a person who is an adopted person or a birth parent within the meaning of the Vital Statistics Act:
i. the right that an adopted person will have to obtain uncertified copies of a birth registration and of an adoption order under section 48.1 of the Vital Statistics Act, once section 4 of the Access to Adoption Records Act (Vital Statistics Statute Law Amendment), 2008 is proclaimed into force,
Note: On June 1, 2009, subparagraph i is revoked and the following substituted:
i. the right of an adopted person to obtain uncertified copies of a birth registration and of an adoption order under section 48.1 of the Vital Statistics Act.
See: O. Reg. 274/08, ss. 5 (2), 9 (2).
ii. the right that a birth parent will have to obtain information under section 48.2 of the Vital Statistics Act, once section 4 of the Access to Adoption Records Act (Vital Statistics Statute Law Amendment), 2008 is proclaimed into force,
Note: On June 1, 2009, subparagraph ii is revoked and the following substituted:
ii. the right of a birth parent to obtain information under section 48.2 of the Vital Statistics Act.
See: O. Reg. 274/08, ss. 5 (2), 9 (2).
iii. the right of an adopted person and of a birth parent to register a notice of preferred manner of contact under section 48.3 of the Vital Statistics Act, and
iv. the right of an adopted person and of a birth parent to register a notice of a wish not to be contacted under section 48.4 of the Vital Statistics Act. O. Reg. 274/08, s. 5 (1).
(2.2) If an adoption agency is proposing to place a child for adoption and the child has been previously adopted, the adoption agency shall ensure that information relating to the following matters is shared with the prospective adoptive parents before placing the child:
1. Matters described in paragraphs 1, 2, 3 and 4 of subsection (2.1).
2. If the order, judgment or decree for the previous adoption was made before September 1, 2008 and registered under subsection 28 (1) of the Vital Statistics Act, or a predecessor of that subsection, the right of the adopted person and birth parent named in that order, judgment or decree to register a disclosure veto under section 48.5 of the Vital Statistics Act.
3. The following rights under the Vital Statistics Act of the person who is an adopted person within the meaning of that Act or of an adoptive parent named in a previous order, judgment or decree of adoption registered under subsection 28 (1) of that Act, or a predecessor of that subsection:
i. the right that an adopted person will have to obtain uncertified copies of a substituted birth registration under subsection 2 (2) of Ontario Regulation 272/08 once section 4 of the Access to Adoption Records Act (Vital Statistics Statute Law Amendment), 2008 is proclaimed into force, and
Note: On June 1, 2009, subparagraph i is revoked and the following substituted:
i. the right of an adopted person to obtain uncertified copies of a substituted birth registration under subsection 2 (2) of Ontario Regulation 272/08, and
See: O. Reg. 274/08, ss. 5 (3), 9 (2).
ii. the right of the adoptive parent under section 2 (5) of Ontario Regulation 272/08 to register a notice of preferred manner of contact under section 48.3 of the Vital Statistics Act or a notice of a wish not to be contacted under section 48.4 of that Act. O. Reg. 274/08, s. 5 (1).
(3) Where the Director’s approval of the proposed placement is required, a copy of the report referred to in subsection (1) shall be filed with the Director before the approval under subsection 142 (2) of the Act is given or refused. R.R.O. 1990, Reg. 70, s. 54 (3).
(4) Where the Director’s approval of the proposed placement is not required, a copy of the report referred to in subsection (1) shall be filed by the adoption agency with the Director when the placement is registered under subsection 141 (6) or (7) of the Act, as the case requires. R.R.O. 1990, Reg. 70, s. 54 (4).
(5) A Director may approve the form of a report referred to in subsection (1). R.R.O. 1990, Reg. 70, s. 54 (5).
55. (1) Every adoption agency shall, before placing a child for the purpose of adoption, arrange for the preparation of a report of a homestudy of the prospective adoptive parents. R.R.O. 1990, Reg. 70, s. 55 (1).
(2) A licensee that is not exempted under subsection 141 (5) of the Act shall ensure that the homestudy referred to in subsection 142 (1) of the Act is prepared for the licensee by a person approved by a Director or local director and forwarded to the Director before the Director’s approval or refusal is given under subsection 142 (2) of the Act. R.R.O. 1990, Reg. 70, s. 55 (2).
56. (1) Every adoption agency shall ensure that the home of the prospective adoptive parents is visited by a social worker approved by the Director or approved by a local director in the case of a society as soon as is practicable and no later than one month after the child is placed by the adoption agency in the home for adoption. R.R.O. 1990, Reg. 70, s. 56 (1).
(2) The adoption agency shall ensure that after the initial visit a social worker visits the home at least two times before the adoption order is made. R.R.O. 1990, Reg. 70, s. 56 (2).
Decision to Refuse to Place Child or to Remove Child after Placement
56.1 (1) An application for a review under subsection 144 (3) of the Act shall be made in a form approved by the Minister. O. Reg. 493/06, s. 6.
(2) For the purposes of subsection 144 (7) of the Act, the following additional practices and procedures are prescribed:
1. Within seven days of receipt of an application for a review under subsection 144 (3) of the Act, the Board shall give the applicant written notice of whether the applicant is eligible for a review under section 144 of the Act.
2. If the Board determines that the applicant is eligible for a review, the notice referred to in paragraph 1 shall set out the date and time of the hearing and shall be sent to all parties.
3. The application for review shall be heard by the Board within 20 days of the day the applicant received notice of eligibility under paragraph 1.
4. A decision and reasons under subsection 144 (11) of the Act shall be sent to the parties no later than 10 days after the end of a hearing. O. Reg. 493/06, s. 6; O. Reg. 274/08, s. 6.
(3) Notice under subsection (2) may be given by regular mail or by fax. O. Reg. 493/06, s. 6.
(4) If notice is sent by regular mail, it shall be sent to the most recent address known to the society or licensee and is deemed to be received by the applicant on the fifth day after it is mailed. O. Reg. 493/06, s. 6.
(5) If notice is sent by fax, it is deemed to be received on the day after it is sent, unless that day is a holiday, in which case the copy is deemed to be received on the next day that is not a holiday. O. Reg. 493/06, s. 6.
(6) For the purposes of a hearing under section 144 of the Act, the members of the Board shall meet the following qualifications and experience set out in paragraph 1 or shall have the following experience set out in paragraph 2:
1. A degree, diploma or certificate granted by a university or other post-secondary institution authorized to grant such credentials in Ontario or equivalent qualifications, as determined by the chair of the Board, and at least one year’s experience working in or volunteering in children’s services or social services.
2. At least five years’ experience working in or volunteering in children’s services or social services. O. Reg. 493/06, s. 6.
56.2 (1) In conducting a review under subsection 145 (3) of the Act, a Director may make such inquiries as the Director considers appropriate and may require the society or licensee that gave notice under subsection 145 (1) or (2) of the Act to provide such information or documentation as the Director may specify within a specified time period. O. Reg. 493/06, s. 6.
(2) The society or licensee that receives a request for information or documentation under subsection (1) shall comply with the request within the specified time period. O. Reg. 493/06, s. 6.
(3) Upon completing his or her review, a Director may,
(a) make recommendations to the society or licensee that gave notice under subsection 145 (1) or (2) of the Act respecting the plan for placement of the child named in the notice; and
(b) direct the society or licensee to report back to the Director in such form or within such time period as the Director may specify and to include in the report such information as the Director may specify. O. Reg. 493/06, s. 6.
57.-57.3 Revoked: O. Reg. 466/07, s. 1.
58. Expenses incurred by a licensee referred to in Part VII of the Act,
(a) to prepare a social and medical history of a child who is adopted or who is intended to be adopted and to prepare a social and medical history of a person who is a parent of the child;
(b) to conduct and prepare a homestudy of prospective adoptive parents;
(c) to provide residential care for a child awaiting adoption placement;
(d) to provide counselling services for a person who is a parent of a child, within the meaning referred to in subsection 137 (1) of the Act, regarding the parent’s decision to relinquish the child for adoption;
(e) to provide transportation relating to the placement of a child for adoption;
(f) to provide supervision of an adoption placement;
(g) with respect to the administration of an adoption;
(h) to provide post-adoption services that are considered by a Director as being necessary to ensure the success of an adoption; and
(i) in addition to the matters referred to in clauses (a) to (h), any other services that in the opinion of the Director are necessary to ensure the success of an adoption;
(j) Revoked: O. Reg. 274/08, s. 7.
are expenses that may be charged by a licensee to an adoptive parent or a prospective adoptive parent. R.R.O. 1990, Reg. 70, s. 58; O. Reg. 274/08, s. 7.
59. (1) For the purpose of subsection 141 (6) of the Act (registration of placement), the placement of a child for adoption shall be registered by filing a notice with the Director in Form 24. R.R.O. 1990, Reg. 70, s. 59 (1).
(2) For the purpose of subsection 141 (7) of the Act (registration of placement), the Director shall register the placement of a child for adoption by recording the information concerning the placement in Form 25. R.R.O. 1990, Reg. 70, s. 59 (2).
(3) Every person that has a child placed with him or her for adoption shall within thirty days of the date of the placement complete and file with the adoption agency that arranged the placement an acknowledgment of adoption placement in Form 26. R.R.O. 1990, Reg. 70, s. 59 (3).
(4) Every licensee referred to in Part VII of the Act shall forthwith upon receiving an acknowledgment of adoption placement file a copy of the acknowledgment with a Director. R.R.O. 1990, Reg. 70, s. 59 (4).
60. (1) Every licensee referred to in Part VII of the Act shall establish and maintain a trust account in a bank listed in Schedule I or II to the Bank Act (Canada), a trust corporation registered under the Loan and Trust Corporations Act or a Province of Ontario Savings Office in which all funds received by the licensee from prospective adoptive parents shall be deposited. R.R.O. 1990, Reg. 70, s. 60 (1).
(2) The money paid into a trust account as required under subsection (1) shall only be withdrawn from the account with the consent of the prospective adoptive parent for whom the money is held and only for expenses incurred for services provided by the licensee with respect to the adoption of a child by the prospective adoptive parents. R.R.O. 1990, Reg. 70, s. 60 (2).
(3) Money remaining in a trust account after expenses are paid shall be returned to the person who paid the money to the licensee. R.R.O. 1990, Reg. 70, s. 60 (3).
(4) Every licensee shall keep a separate book of accounts showing all deposits and withdrawals from the trust account, the name of the prospective adoptive parent for whom the deposit or withdrawal is made and the date of each deposit or withdrawal. R.R.O. 1990, Reg. 70, s. 60 (4).
61. Revoked: O. Reg. 274/08, s. 8.
62. A statement by a physician under subsection 183 (2) of the Act shall be in Form 27. R.R.O. 1990, Reg. 70, s. 62.
63. For the purposes of subsection 65 (11), the following Regions are designated:
1. The Northern Region, being the territorial districts of Algoma, Cochrane, Kenora, Manitoulin, Nipissing, Parry Sound, Rainy River, Sudbury, Thunder Bay, Timiskaming, The Regional Municipality of Sudbury and The District Municipality of Muskoka.
2. The Central Region, being the counties of Dufferin and Simcoe, the City of Toronto and the regional municipalities of Halton, York and Peel.
3. The Southwestern Region, being the counties of Brant, Bruce, Elgin, Essex, Grey, Huron, Kent, Lambton, Middlesex, Oxford, Perth and Wellington and the regional municipalities of Haldimand-Norfolk, Niagara, Hamilton-Wentworth and Waterloo.
4. The Southeastern Region, being the counties of Frontenac, Hastings, Lanark, Lennox and Addington, Northumberland, Peterborough, Prince Edward Renfrew and Victoria, the County of Haliburton, the united counties of Leeds and Grenville, Stormont, Dundas and Glengarry and Prescott and Russell and the regional municipalities of Durham and Ottawa-Carleton. R.R.O. 1990, Reg. 70, s. 63; O. Reg. 77/02, s. 3.
64. Every person applying for a licence under clause 193 (1) (a) of the Act to establish, operate or maintain a residence shall file with a Director evidence that the premises used or to be used as a residence comply with,
(a) the laws respecting the health of inhabitants of the area in which the premises are located;
(b) any rule, regulation, direction or order of the local board of health and any direction or order of the local medical officer of health;
(c) any by-law of the municipality in which the premises are located or other law for the protection of persons from fire hazards;
(d) any restricted area, standard of housing or building by-law passed by the municipality in which the premises are located pursuant to Part V of the Planning Act or any predecessor thereof;
(e) the requirements of Ontario Regulation 403/97 under the Building Code Act, 1992, where applicable; and
(f) the requirements of Ontario Regulation 388/97 under the Fire Protection and Prevention Act, 1997, where applicable. R.R.O. 1990, Reg. 70, s. 64; O. Reg. 400/93, s. 1; O. Reg. 77/02, s. 4.
65. (1) An application for a licence or a renewal of a licence to establish, operate or maintain a residence under clause 193 (1) (a) of the Act shall be made to a Director in Form 28. R.R.O. 1990, Reg. 70, s. 65 (1).
(2) An application for a licence or a renewal of a licence to provide residential care under clause 193 (1) (b) of the Act shall be made to a Director in Form 29. R.R.O. 1990, Reg. 70, s. 65 (2).
(3) An application for a licence or a renewal of a licence to place children for adoption under subsection 193 (2) of the Act shall be made to a Director in Form 30. R.R.O. 1990, Reg. 70, s. 65 (3).
(4) An application for a licence or renewal of a licence shall be accompanied by such other information as a Director considers necessary to enable the Director to determine whether the applicant would, if licensed, be in compliance with the Act and the regulations. R.R.O. 1990, Reg. 70, s. 65 (4).
(5) A licence to establish, operate or maintain a residence shall be in Form 31. R.R.O. 1990, Reg. 70, s. 65 (5).
(6) A licence to provide residential care shall be in Form 32. R.R.O. 1990, Reg. 70, s. 65 (6).
(7) A licence to place children for adoption shall be in Form 33. R.R.O. 1990, Reg. 70, s. 65 (7).
(8) A provisional licence to establish, operate or maintain a residence shall be in Form 34. R.R.O. 1990, Reg. 70, s. 65 (8).
(9) A provisional licence to provide residential care shall be in Form 35. R.R.O. 1990, Reg. 70, s. 65 (9).
(10) A provisional licence to place children for adoption shall be in Form 36. R.R.O. 1990, Reg. 70, s. 65 (10).
(11) The fee payable by an applicant on application for a licence or renewal of a licence under subsection (1) or (2) is,
(a) $100 payable every three years for each Region in which an applicant intends to establish, operate or maintain a residence; and
(b) $100 payable every three years for each Region in which an applicant intends to provide residential care. R.R.O. 1990, Reg. 70, s. 65 (11).
(12) Subsection (11) does not apply to an applicant for a licence or a renewal of a licence in a Region where the applicant has within the three-year period referred to in subsection (11) already paid the prescribed fee. R.R.O. 1990, Reg. 70, s. 65 (12).
(13) The fee payable by an applicant on application for a licence or renewal of a licence under subsection (3) to place children for adoption is $200 payable every year. R.R.O. 1990, Reg. 70, s. 65 (13); O. Reg. 400/93, s. 2.
(14) A Director may issue or renew a licence for such period, not to exceed one year, as the Director determines is proper in the circumstances. R.R.O. 1990, Reg. 70, s. 65 (14).
(15) A Director may refund to an applicant a fee paid under this section with respect to a licence or renewal thereof that is not issued to the applicant. R.R.O. 1990, Reg. 70, s. 65 (15).
(16) A licence or a provisional licence to operate and maintain a residence shall be kept on the premises of the residence by the licensee who shall ensure that the licence is available for inspection by any person. R.R.O. 1990, Reg. 70, s. 65 (16).
(17) A licence or a provisional licence to provide residential care or to place children for adoption shall be kept on the premises of the licensee who shall ensure that the licence is available for inspection by any person. R.R.O. 1990, Reg. 70, s. 65 (17).
66. (1) Upon application for a licence or renewal of a licence to establish, operate or maintain a residence or to provide residential care, a Director may inspect or cause to be inspected the residence or any premises where residential care is to be provided by the applicant for the purpose of determining the eligibility of the applicant for the licence or renewal. R.R.O. 1990, Reg. 70, s. 66 (1).
(2) The Director shall, at the time of issuing a licence or renewal of a licence to operate a residence, include in the licence the maximum number of children for whom care may be provided by the licensee. R.R.O. 1990, Reg. 70, s. 66 (2).
(3) A licensee shall not admit to a residence more children than the maximum number of children permitted in the licence unless the admission is approved by a Director for a specified period of time. R.R.O. 1990, Reg. 70, s. 66 (3).
(4) A licensee that is a corporation shall notify a Director in writing within fifteen days of any change in the officers or directors of the corporation. R.R.O. 1990, Reg. 70, s. 66 (4).
67. (1) The Child and Family Services Review Board continued under section 207 of the Act shall consist of not more than 34 members. O. Reg. 303/01, s. 2.
(2) Revoked: O. Reg. 465/07, s. 4.
(3) Three members of the Board constitute a quorum. R.R.O. 1990, Reg. 70, s. 67 (3).
(4) A Vice-Chair designated by the Chair has the jurisdiction and shall exercise the power of the Chair,
(a) in the absence of the Chair; or
(b) if the Chair is unable to act or the office of the Chair is vacant. R.R.O. 1990, Reg. 70, s. 67 (4).
(5) The Chair shall from time to time assign various members of the Board to its various hearings. R.R.O. 1990, Reg. 70, s. 67 (5).
68. (1) A notice under subsection 197 (1) of the Act (notice of proposal) in respect of an application for a licence or a renewal of a licence referred to in subsection 193 (1) of the Act (licence required) shall be in Form 37 and shall be accompanied by two blank copies of Form 39. R.R.O. 1990, Reg. 70, s. 68 (1).
(2) A notice under subsection 142 (2) of the Act (Director’s approval) or under subsection 197 (1) of the Act (notice of proposal) in respect of an application for a licence or a renewal of a licence referred to in subsection 193 (2) of the Act (licence required) shall be in Form 38 and shall be accompanied by two blank copies of Form 39. R.R.O. 1990, Reg. 70, s. 68 (2).
(3) A request for a hearing shall be in Form 39. R.R.O. 1990, Reg. 70, s. 68 (3).
(4) An application to the Board under subsection 36 (1) of the Act (Review by Board) shall be in Form 40. R.R.O. 1990, Reg. 70, s. 68 (4).
69. (1) The Board shall serve notice of a hearing in Form 41 on the parties to the hearing within fifteen days of receiving the notice of the request for the hearing. R.R.O. 1990, Reg. 70, s. 69 (1).
(2) The Board shall serve the notice under subsection (1) to each party to the hearing by sending the notice by registered mail to the party at the party’s address last known to the Board. R.R.O. 1990, Reg. 70, s. 69 (2).
69.1 Revoked: O. Reg. 537/07, s. 1.
70. (1) A local medical officer of health having jurisdiction in the area where a residence is located or any person designated by the local medical officer of health may at all reasonable times, upon producing proper identification, enter the residence and may, with respect to the health, safety or nutrition of the residents, inspect the facilities, the services provided, the books of account and the records relating to the services and make copies of those books and records or remove them from the premises to copy them as may be reasonably required. R.R.O. 1990, Reg. 70, s. 70 (1).
(2) No person shall hinder, obstruct or attempt to hinder or obstruct a local medical officer of health or a person designated by the local medical officer of health in the performance of the duties or knowingly give false information about the premises or services to a local medical officer of health or a person designated by the local medical officer of health. R.R.O. 1990, Reg. 70, s. 70 (2).
(3) No licensee or person in charge of a residence shall refuse to give a local medical officer of health or a person designated by the local medical officer of health access to the books and records referred to in subsection (1) or refuse to give a local medical officer of health or a person designated by the local medical officer of health information about the premises or services that the local medical officer of health or a person designated by the local medical officer of health reasonably requires. R.R.O. 1990, Reg. 70, s. 70 (3).
(4) The licensee shall carry out any recommendation made by the local medical officer of health or a person designated by the local medical officer of health concerning the health, safety or nutrition of any child in the residence. R.R.O. 1990, Reg. 70, s. 70 (4).
71. (1) Where a resident dies, the licensee who operates the residence in which the resident resides shall notify a coroner, other than a coroner who is a physician referred to in subsection 91 (2), of the death of the resident. R.R.O. 1990, Reg. 70, s. 71 (1).
(2) Where a child dies while in receipt of foster care in a foster home, the licensee who directly or indirectly operates the foster home shall, after consulting with the placing agency where the placing agency is not the licensee, notify a coroner. R.R.O. 1990, Reg. 70, s. 71 (2).
72. (1) Every licensee who provides residential care is responsible for the operation and management of the residences operated by the licensee, including the program, financial and personnel administration of the residences. R.R.O. 1990, Reg. 70, s. 72 (1).
(2) A licensee may appoint a person who shall be responsible to the licensee for the day to day operation and management of the residences. R.R.O. 1990, Reg. 70, s. 72 (2).
(3) Where a licensee or a person appointed under subsection (2) is absent, the powers and duties of the licensee or the person appointed under subsection (2) shall be exercised and performed by such person as the licensee designates. R.R.O. 1990, Reg. 70, s. 72 (3).
73. (1) Every licensee shall maintain an up to date written statement of policies and procedures with respect to each residence operated by the licensee that sets out,
(a) the purpose of the residence;
(b) the program provided in the residence;
(c) procedures relating to the admission and discharge of residents;
(d) the planning, monitoring and evaluation of care provided to residents;
(e) procedures for the maintenance of case records;
(f) methods of maintaining discipline;
(g) the health program provided for residents;
(h) the methods of maintaining security of the residence;
(i) the methods for involving a resident’s parent with the program of the residence;
(j) the administrative structure of the residence;
(k) staff and supervisory practices to be followed by staff persons in the residence;
(l) the conduct and discipline of persons employed in the residence;
(m) procedures to be followed in emergencies;
(n) the financial administration of the residence;
(o) the methods employed to encourage residents to participate in community activities;
(p) articles prohibited by the licensee for the purposes of subsection 103 (3) of the Act;
(q) procedures governing the expression of concerns or complaints by residents; and
(r) procedures governing punishment and isolation methods that may be used in the residence. R.R.O. 1990, Reg. 70, s. 73 (1).
(2) A copy of the policies and procedures referred to in subsection (1) shall be kept in each residence and shall be accessible to each person employed in the residence. R.R.O. 1990, Reg. 70, s. 73 (2).
(3) Clause (1) (l) does not apply where the policies and procedures concerning conduct and discipline are included in a collective agreement between the licensee and employees of the licensee. R.R.O. 1990, Reg. 70, s. 73 (3).
74. (1) Every licensee shall ensure that a daily log is maintained in each residence operated by the licensee. R.R.O. 1990, Reg. 70, s. 74 (1).
(2) Each incident that affects or that in the opinion of the licensee may affect the health, safety or well-being of a staff person in the residence or a resident shall be included in the daily log. R.R.O. 1990, Reg. 70, s. 74 (2).
75. Every licensee shall ensure that each person employed in a residence operated by the licensee receives such immunization as is recommended by the local medical officer of health and a health assessment before the person commences employment. R.R.O. 1990, Reg. 70, s. 75.
76. Every licensee shall ensure that each person employed to work in a residence operated by the licensee shall receive an orientation with respect to the policies and procedures of the residence within thirty days of commencement of employment in the residence. R.R.O. 1990, Reg. 70, s. 76.
77. (1) Every licensee shall prepare and maintain an annual budget with respect to each residence operated by the licensee that sets out,
(a) anticipated revenue of the residence; and
(b) projected basic care expenditures and special care expenditures for the residents in the residence. R.R.O. 1990, Reg. 70, s. 77 (1).
(2) Where a licensee operates two or more residences, a separate budget shall be prepared for each residence and each budget shall show the individual costs for each residence and the costs that are shared between the residences. R.R.O. 1990, Reg. 70, s. 77 (2).
78. (1) Every licensee shall, in respect of each residence maintained and operated by the licensee,
(a) keep a complete record of revenues and expenditures made in connection with the operation of each residence; and
(b) prepare and submit financial reports to a Director when required by a Director including reports by a public accountant licensed under the Public Accountancy Act. R.R.O. 1990, Reg. 70, s. 78 (1).
(2) Subsection (1) applies with necessary modifications to a licensee placing children for adoption. R.R.O. 1990, Reg. 70, s. 78 (2).
79. (1) Every licensee shall ensure that a policy of insurance with respect to each residence operated by the licensee is obtained and maintained in full force and effect. R.R.O. 1990, Reg. 70, s. 79 (1).
(2) A policy of insurance with respect to a residence shall include,
(a) fire and extended coverage including coverage for the theft of the physical assets of the residence and the property of the residents;
(b) comprehensive general liability coverage and personal injury coverage, including coverage for the employees of the residence and volunteers in the residence and in the case of a parent model residence, the persons who provide care for the residents;
(c) a clause concerning liability arising out of any contract or agreement; and
(d) motor vehicle coverage for all vehicles owned or used by employees of the residence and volunteers in the residence and in the case of a parent model residence, all vehicles owned or used by persons who provide care for residents. R.R.O. 1990, Reg. 70, s. 79 (2).
80. (1) Every licensee shall ensure that each person that applies for admission of a child to a residence operated by the licensee is notified in writing within twenty-one days of the date of the application for admission of the licensee’s decision with respect to admission of the child to the residence. R.R.O. 1990, Reg. 70, s. 80 (1).
(2) Where the licensee intends to admit the child, the licensee shall notify the applicant of the anticipated date of admission of the child. R.R.O. 1990, Reg. 70, s. 80 (2).
(3) Where the licensee is unable to notify the applicant of the decision with respect to admission within the twenty-one-day period referred to in subsection (1), the licensee shall,
(a) advise the applicant in writing of the reasons for the delay; and
(b) notify the applicant of the licensee’s decision with respect to admission as soon as possible in the circumstances. R.R.O. 1990, Reg. 70, s. 80 (3).
81. (1) Every licensee shall ensure that a written agreement for the provision of service to a child is entered into with respect to each child that is admitted to a residence operated by the licensee. R.R.O. 1990, Reg. 70, s. 81 (1).
(2) A written agreement for the provision of service to a child shall be entered into at the time of admission of the child to the residence or as soon as possible in the circumstances. R.R.O. 1990, Reg. 70, s. 81 (2).
(3) An agreement for the provision of service to a child shall include,
(a) the consent and authorization for the licensee to,
(i) provide care for the child,
(ii) obtain emergency medical treatment for the child, and
(iii) where applicable, inspect and obtain from persons named in the consent, records, reports and information concerning the child;
(b) financial arrangements with respect to the provision of care by the licensee for the child; and
(c) provision for a review of the agreement at the request of the child, a parent of the child or the society or other person placing the child or the licensee. R.R.O. 1990, Reg. 70, s. 81 (3).
(4) Every licensee shall ensure that with respect to each agreement for the provision of service to a child that,
(a) the society or probation officer who is supervising or otherwise providing services to a child, but who is not the parent of the child;
(b) the society or other person placing the child; and
(c) the child, where the child is twelve years of age or over,
are consulted and involved in the development of the agreement. R.R.O. 1990, Reg. 70, s. 81 (4).
(5) Every licensee shall ensure that each agreement for the provision of service to a child entered into by the licensee is explained to the child, where the child is twelve years of age or over, in language that is suitable to the child’s understanding before the agreement is signed by the persons required under subsection (7) to sign the agreement. R.R.O. 1990, Reg. 70, s. 81 (5).
(6) Where possible the licensee shall after explaining the agreement to the child obtain a signed acknowledgment from the child that the agreement has been explained. R.R.O. 1990, Reg. 70, s. 81 (6).
(7) An agreement for the provision of service to a child shall be signed by,
(a) the licensee;
(b) the parent of the child or the society or other person placing the child;
(c) a children’s aid society in whose care the child is where the child is in care under subsection 29 (1) or subsection 30 (1) of the Act;
(d) the child, where the child is sixteen years of age or over;
(e) the child’s nearest relative, where the child is unable to sign and there is no parent; and
(f) where the agreement concerns a child who is a party to a temporary care agreement, the child. R.R.O. 1990, Reg. 70, s. 81 (7).
(8) Clause (7) (b) does not apply where the child is sixteen years of age or over and signs the agreement. R.R.O. 1990, Reg. 70, s. 81 (8).
(9) Clause (7) (d) does not apply where in the opinion of a physician or psychologist the child is unable to sign the agreement because of a mental or physical handicap. R.R.O. 1990, Reg. 70, s. 81 (9).
(9.1) Clause (7) (d) does not apply where in the opinion of a registered nurse in the extended class the child is unable to sign the agreement because of a physical handicap. O. Reg. 493/06, s. 7.
(10) Where,
(a) an agreement for the provision of service to a child is developed without the consultation and involvement referred to in subsection (4);
(b) a person referred to in subsection (7) does not sign the agreement; or
(c) the child does not sign an acknowledgment that the agreement has been explained to the child,
the reasons shall be noted in the resident’s case record. R.R.O. 1990, Reg. 70, s. 81 (10).
82. Where an agreement for the provision of service to a child is not entered into under section 81, the licensee shall ensure that before a child is admitted to a residence operated by the licensee a consent for admission of the child in accordance with section 27 of the Act and a consent and authorization for the licensee to secure all necessary emergency medical treatment for the child is obtained. R.R.O. 1990, Reg. 70, s. 82.
83. Every licensee shall ensure that, upon admission of a child to a residence operated by the licensee, the child receives an orientation to the residence and the program provided in the residence and that the child is informed of the procedures that exist for a resident to express concerns or complaints while a resident. R.R.O. 1990, Reg. 70, s. 83.
84. (1) Every licensee shall ensure that each child admitted to a residence operated by the licensee has had a general medical examination by a physician or registered nurse in the extended class within thirty days prior to admission or has such an examination within seventy-two hours after admission. R.R.O. 1990, Reg. 70, s. 84 (1); O. Reg. 493/06, s. 8.
(2) Where a resident has not had a general medical examination in accordance with subsection (1), the licensee shall note in the resident’s case record the circumstances that delayed the examination and arrange for an examination as soon as possible in the circumstances. R.R.O. 1990, Reg. 70, s. 84 (2).
(3) Where there are specific indications upon the admission of a child that suggest that either a medical examination or treatment is urgently required for the child, the licensee operating the residence where the child is admitted shall arrange for the examination or treatment forthwith. R.R.O. 1990, Reg. 70, s. 84 (3).
(4) Where the medical examination or treatment referred to in subsection (3) cannot be arranged forthwith, the reason shall be noted in the resident’s case record and the licensee shall arrange for the examination or treatment, as the case may be, as soon as possible in the circumstances. R.R.O. 1990, Reg. 70, s. 84 (4).
(5) Every licensee shall ensure that each child admitted to a residence operated by the licensee has had a dental examination by a dentist within six months prior to admission to the residence or has such an examination within ninety days after admission. R.R.O. 1990, Reg. 70, s. 84 (5).
(6) Where a resident has not had a dental examination in accordance with subsection (5), the licensee shall note in the resident’s case record the circumstances that delayed the examination and arrange for an examination as soon as possible in the circumstances. R.R.O. 1990, Reg. 70, s. 84 (6).
85. Every licensee shall ensure that,
(a) upon admission of a child to a residence operated by the licensee it is determined whether or not the child being admitted is currently receiving medical treatment or medication or is suffering from any allergy or physical ailment; and
(b) where applicable, the treatment or medication referred to in clause (a) is continued. R.R.O. 1990, Reg. 70, s. 85.
86. (1) Every licensee shall develop or participate in the development of a written plan of care for each resident admitted to a residence operated by the licensee within thirty days of admission of the resident. R.R.O. 1990, Reg. 70, s. 86 (1).
(2) A plan of care for a resident shall include,
(a) a description of the resident’s needs that is developed with reference to the findings of current or previous assessments of the resident;
(b) identification of desired outcomes, based on each resident’s specific strengths and needs;
(c) a plan to secure, within specified timeframes, specialized consultation, specialized treatment and supports, or any one or combination of them, identified to promote the desired outcomes for the resident;
(d) a statement of the educational program that is developed for the resident in consultation with the school boards in the area in which the residence is located;
(e) where applicable, a statement of the ways in which a parent of the resident will be involved in the plan of care including arrangements for contact between the resident and a parent of the resident and the resident’s family;
(f) particulars of any specialized service to be provided directly or arranged for by the licensee;
(g) particulars of the dates for review of the plan of care;
(h) a list of revisions, if any, to the plan of care; and
(i) a statement of the anticipated plan for discharge of the resident. R.R.O. 1990, Reg. 70, s. 86 (2); O. Reg. 493/06, s. 9.
(3) The initial plan of care referred to in subsection (1) and particulars of any reviews of the plan of care shall be entered in the resident’s case record. R.R.O. 1990, Reg. 70, s. 86 (3).
(4) Every licensee shall ensure that, where possible,
(a) a parent of the resident or the person who placed the resident;
(b) any children’s aid society or probation officer who is supervising or otherwise providing services to a child, but who is not a parent; and
(c) the resident, where the resident is twelve years of age or over,
are consulted and involved with the development of each plan of care for each resident in a residence operated by the licensee. R.R.O. 1990, Reg. 70, s. 86 (4).
(5) Where the plan of care is developed without the consultation or involvement referred to in subsection (4), the reason for the lack of consultation or involvement shall be noted in the resident’s case record. R.R.O. 1990, Reg. 70, s. 86 (5).
(6) Every licensee shall ensure that the development of each resident in each residence operated by the licensee in relation to the plan of care developed for the resident is reviewed at least every thirty days during the first six months that the resident is in the residence and at least every six months thereafter. R.R.O. 1990, Reg. 70, s. 86 (6).
(7) A resident shall be given an opportunity to express his or her views during each review referred to in subsection (6). R.R.O. 1990, Reg. 70, s. 86 (7).
(8) Every licensee shall ensure that each plan of care with respect to each resident in a residence operated by the licensee is reviewed three months and six months after the resident is admitted to the residence and if requested by any person involved with the development of the plan of care every six months after the initial six month review. R.R.O. 1990, Reg. 70, s. 86 (8).
(9) A review of the plan of care referred to in subsection (8) shall involve,
(a) the resident;
(b) a parent of the resident; and
(c) any other person who was involved in the development of the plan of care. R.R.O. 1990, Reg. 70, s. 86 (9).
(10) Where it is not possible to review the plan of care with each person referred to in subsection (8), the reasons for the lack of a review shall be noted in the resident’s case record. R.R.O. 1990, Reg. 70, s. 86 (10).
86.1 Where a plan of care developed under section 86 includes a recommendation to obtain specialized consultation, specialized treatment and supports, or any one or combination of them, identified to promote the desired outcomes for the resident and any one of them has not been obtained within the specified timeframe, the reasons shall be noted by the licensee in the resident’s written case record. O. Reg. 493/06, s. 10.
87. (1) Every licensee shall consult at least annually with the school boards in the area in which each residence operated by the licensee is located for the purposes of identifying and utilizing the educational resources available for the residents. R.R.O. 1990, Reg. 70, s. 87 (1).
(2) Where, in the opinion of a licensee, the severity of the behavioural, physical or emotional problems of a resident in a residence operated by the licensee is such that the resident is unable to attend a school in the area in which the residence is located, the licensee shall document the need for an educational program for the resident and shall consult with the appropriate Director of Education with respect to the provision of a program for the resident in accordance with the requirements of the Education Act and the regulations thereunder. R.R.O. 1990, Reg. 70, s. 87 (2).
88. Every licensee shall ensure that with respect to each residence operated by the licensee,
(a) the residents receive well balanced meals that are nutritionally adequate for their physical growth and development; and
(b) where special foods are recommended by a resident’s physician or registered nurse in the extended class, they are provided to the resident. R.R.O. 1990, Reg. 70, s. 88; O. Reg. 493/06, s. 11.
89. (1) Every licensee shall ensure that each resident in a residence operated by the licensee has a supply of his or her own clothing of a suitable quality and size in relation to the resident’s age and activities and local weather conditions. R.R.O. 1990, Reg. 70, s. 89 (1).
(2) Where clothing for an individual resident is limited because of the resident’s need, the reason shall be noted in the resident’s case record. R.R.O. 1990, Reg. 70, s. 89 (2).
90. (1) Every licensee shall ensure that prior to the transfer or discharge of a resident from a residence operated by the licensee, the resident is made aware of and understands, as far as possible, the reasons for the transfer or discharge. R.R.O. 1990, Reg. 70, s. 90 (1).
(2) Where a resident is transferred to another residence or discharged from a residence, the licensee shall, as soon as possible thereafter, but within thirty days of the transfer or discharge, forward a summary of the resident’s progress while in the residence including a summary of the plan of care and an assessment of the resident’s needs at the time of transfer to the licensee of the residence to which the resident is transferred or to the person or agency to whom the resident is discharged. R.R.O. 1990, Reg. 70, s. 90 (2).
(3) A copy of the summary referred to in subsection (2) shall be included in the resident’s case record in the residence from which the resident was transferred or discharged. R.R.O. 1990, Reg. 70, s. 90 (3).
91. (1) Every licensee shall ensure that the written policies and procedures in each residence operated by the licensee with respect to the health program referred to in clause 73 (1) (g) provide for,
(a) resident access to community health programs;
(b) arrangements for a physician or registered nurse in the extended class to advise the licensee on an ongoing basis about medical care required by the residents;
(b.1) arrangements for a dentist to advise the licensee on an ongoing basis about dental care required by the residents;
(c) at least an annual assessment of the health, vision, dental and hearing condition of the residents;
(d) health education for the residents; and
(e) the carrying out of procedures recommended by a physician for the prevention and control of disease. R.R.O. 1990, Reg. 70, s. 91 (1); O. Reg. 493/06, s. 12 (1).
(2) Every licensee shall ensure that the services of a physician or a registered nurse in the extended class are provided for each resident in each residence operated by the licensee at regular intervals and as often as is needed by the resident. R.R.O. 1990, Reg. 70, s. 91 (2); O. Reg. 493/06, s. 12 (2).
(3) Every licensee shall ensure that, where it is proposed to administer a medical or dental treatment to a resident in a residence operated by the licensee, the proposed treatment is fully explained to the resident in language suitable to the resident’s age and understanding. R.R.O. 1990, Reg. 70, s. 91 (3).
(4) Every licensee shall, with respect to each resident in a residence operated by the licensee, maintain a cumulative record of each resident’s medical and dental examinations and treatment while the resident is in the residence. R.R.O. 1990, Reg. 70, s. 91 (4).
(5) The cumulative record referred to in subsection (4) shall be kept in the resident’s case record. R.R.O. 1990, Reg. 70, s. 91 (5).
92. (1) Every licensee shall ensure that with respect to each resident in each residence operated by the licensee,
(a) prescription medicines are administered to a resident only under the general supervision of the program staff of the residence and only when prescribed by a physician or registered nurse in the extended class; and
(b) a record is kept of all medication given to each resident, including the type of medication, the period for which it is prescribed, when each dose is to be given and is given and by whom each dose is given. R.R.O. 1990, Reg. 70, s. 92 (1); O. Reg. 493/06, s. 13 (1).
(2) The record referred to in subsection (1) shall be available to the prescribing physician or registered nurse in the extended class upon request. R.R.O. 1990, Reg. 70, s. 92 (2); O. Reg. 493/06, s. 13 (2).
(3) Every licensee shall provide lockable storage facilities in each residence operated by the licensee that shall be used for the medication of residents who are sixteen years of age or over and, in the opinion of the licensee, are able to assume responsibility for self administration of medication and wish to assume that responsibility. R.R.O. 1990, Reg. 70, s. 92 (3).
(4) Subsection (1) does not apply where the medication is self administered in a situation described in subsection (3). R.R.O. 1990, Reg. 70, s. 92 (4).
(5) Where, in the opinion of the physician or the registered nurse in the extended class, a resident is capable of administering the resident’s own medication, the physician or registered nurse in the extended class shall provide a copy of the written self-medication plan for that resident to be kept in the resident’s record. O. Reg. 493/06, s. 13 (3).
93. Every licensee shall ensure that each person in a residence operated by the licensee who suffers from a communicable disease and for whom isolation is considered necessary by a physician or registered nurse in the extended class is isolated from other persons in the residence who have not been infected. R.R.O. 1990, Reg. 70, s. 93; O. Reg. 493/06, s. 14.
94. Every licensee shall ensure that each residence operated by the licensee is equipped with a first aid kit and a first aid manual, both of which shall be kept in a location that is known and accessible to staff of the residence. O. Reg. 493/06, s. 15.
Discipline, Punishment and Isolation
95. (1) Every licensee shall ensure that the written policies and procedures in each residence operated by the licensee with respect to discipline, punishment and any isolation measures as referred to in clauses 73 (1) (f) and (r) set out the practices that may be used by staff persons of the licensee and the practices that shall not be used by staff persons of the licensee. R.R.O. 1990, Reg. 70, s. 95 (1).
(2) The policies and procedures with respect to discipline, punishment and isolation measures shall be reviewed with each staff person of each residence when the staff person first receives orientation to the residence and at least annually thereafter. R.R.O. 1990, Reg. 70, s. 95 (2).
(3) The licensee shall ensure that the staff persons and residents in each residence operated by the licensee are informed of the type of behaviour of a resident that will result in the use of disciplinary measures. R.R.O. 1990, Reg. 70, s. 95 (3).
(4) The licensee shall ensure that no staff person in a residence operated by the licensee carries out any disciplinary procedure with respect to a resident unless the staff person has completed a training program with respect to the methods of discipline approved by the licensee. R.R.O. 1990, Reg. 70, s. 95 (4).
(5) The licensee shall ensure that where a punishment is administered to a resident or other intervention that is intended to reduce or eliminate a behaviour of a resident is used with a resident the fact is recorded in the resident’s case record by the person employing the punishment or intervention and that the licensee or a person designated by the licensee is informed of the application of the punishment or intervention. R.R.O. 1990, Reg. 70, s. 95 (5).
96. No licensee shall,
(a) use or permit the use of deliberate harsh or degrading measures to humiliate a resident or undermine a resident’s self respect; or
(b) deprive or permit a person to deprive a resident of basic needs including food, shelter, clothing or bedding. R.R.O. 1990, Reg. 70, s. 96.
97. (1) Every licensee shall, with respect to each residence operated by the licensee, develop and maintain policies and procedures with respect to a contravention of the policies and procedures referred to in subsection 73 (1) or the requirements of section 96 of this Regulation or section 101 of the Act by a staff person of a residence. R.R.O. 1990, Reg. 70, s. 97 (1).
(2) The policies and procedures with respect to a contravention referred to in subsection (1) shall be reviewed with each staff person of each residence operated by the licensee when the staff person first receives orientation to the residence and at least annually thereafter. R.R.O. 1990, Reg. 70, s. 97 (2).
98. Every licensee shall ensure that, where under subsection 103 (3) of the Act, mail is opened or an article removed from mail to a resident who is in a residence operated by the licensee, the reason for opening the mail or removing the article is noted in the resident’s case record. R.R.O. 1990, Reg. 70, s. 98.
99. (1) Every licensee shall maintain a written case record for each resident in a residence operated by the licensee that is regularly updated as information changes or becomes available and that includes,
(a) the resident’s full name, sex and birth date;
(b) the name, address and telephone number of the resident’s parents or the society or other person placing the resident;
(c) any personal, family and social history and assessment that has been prepared by the licensee or provided to the licensee;
(d) the reason for admission of the resident;
(e) reports of all medical examinations and treatment given to the resident upon admission and while in the residence;
(f) where obtainable, any legal document that is concerned with the resident’s admission to and stay in the residence including any consent to admission, treatment and release of information;
(g) a copy of the agreement for service with respect to the resident including any revisions to the agreement and particulars of any reviews of the agreement;
(h) school records and reports concerning the resident, where applicable;
(i) the plan of care developed for the resident and particulars of any review of the plan of care or of the resident’s status;
(j) reports of any serious occurrence involving the resident;
(k) where applicable, documentation of the circumstances of transfer or discharge of the resident, the name, address and relationship of the person to whom the resident is transferred or discharged and the summary report referred to in subsection 90 (2);
(l) where an incident referred to in subsection 102 (1) occurs, the time of the occurrence, the name of the person reporting it and the person to whom the report was made;
(m) information on the resident’s personality and behaviour;
(n) information on the resident’s experience or involvement with court;
(o) information of the resident’s experiences of separation from individuals who are or have been significant in the resident’s life;
(p) information on the resident’s aptitudes and abilities; and
(q) such other information or documents with respect to the resident in addition to those referred to in clauses (a) to (p) as are considered appropriate by the licensee. R.R.O. 1990, Reg. 70, s. 99 (1); O. Reg. 493/06, s. 16 (1, 2).
(1.1) The licensee shall use the written case record referred to in subsection (1) as a resource to develop a plan of care for each resident under section 86. O. Reg. 493/06, s. 16 (3).
(2) A written case record of a resident shall be retained by the licensee for at least twenty years after the last entry in the record with respect to the resident or, where the resident dies, for at least five years after the death of the resident. R.R.O. 1990, Reg. 70, s. 99 (2).
100. Every licensee shall maintain a register of residents in each residence operated by the licensee that includes,
(a) the name, sex, birth date and wardship status of each resident;
(b) the name and address of the parents of each resident or other person placing the resident;
(c) the date of admission of the resident; and
(d) where the resident is discharged from the residence, the date of discharge of the resident and the name of the person or agency to whom the resident is discharged. R.R.O. 1990, Reg. 70, s. 100.
101. (1) Every licensee referred to in Part VII of the Act shall open and maintain a separate file with respect to,
(a) each person who is a parent within the meaning of subsection 137 (1) of the Act who relinquishes a child to the licensee for adoption;
(b) each prospective adoptive parent;
(c) each child who is placed or who is intended to be placed for adoption by the licensee; and
(d) each foster parent who provides services to the licensee in connection with an adoption. R.R.O. 1990, Reg. 70, s. 101 (1).
(2) The licensee shall review each file referred to in subsection (1) and bring the file up to date at least every six months until the file is closed. R.R.O. 1990, Reg. 70, s. 101 (2).
(3) The licensee shall permanently retain a record of the contents of each file referred to in subsection (1) unless the file is delivered up to the Minister as required under subsection 203 (1) of the Act (where licence revoked or operation ceases). R.R.O. 1990, Reg. 70, s. 101 (3).
(4) Every licensee shall submit to a Director such statistical information as the Director may require with respect to the operation of a residence operated by the licensee. R.R.O. 1990, Reg. 70, s. 101 (4).
102. (1) Where,
(a) a resident dies;
(b) a resident is seriously injured;
(c) a resident is injured by a staff person or by the licensee;
(d) a resident is abused or mistreated;
(d.1) a resident is physically restrained by a staff person or by the licensee;
(e) a complaint is made by or about a resident that is considered by the licensee to be of a serious nature;
(f) a resident resides in a residence operated by the licensee in which a fire or other disaster occurs; or
(g) in addition to the matters set out in clauses (a) to (f), any other serious occurrence takes place concerning a resident,
the licensee shall within twenty-four hours of the occurrence report the occurrence to,
(h) a parent of the resident;
(i) where applicable, the person who placed the resident and who has been involved in the plan of care for the resident;
(j) where applicable, the society that placed the resident; and
(k) a Director. R.R.O. 1990, Reg. 70, s. 102 (1); O. Reg. 77/02, s. 5.
(2) Where,
(a) a resident is absent from a residence operated by the licensee without permission for twenty-four hours or more; or
(b) a resident is absent from a residence operated by the licensee without permission for a period of less than twenty-four hours and the absence is considered by the licensee to be a serious matter,
the licensee shall forthwith report the absence to,
(c) a parent of the resident;
(d) where applicable, the person who placed the resident and who has been involved in the plan of care for the resident;
(e) where applicable, the society that placed the resident; and
(f) the local police having jurisdiction in the area where the residence is located. R.R.O. 1990, Reg. 70, s. 102 (2).
103. Every licensee shall ensure that each staff person employed in a residence operated by the licensee is instructed in all the emergency procedures of the residence at the time of commencing work in the residence and at least annually thereafter. R.R.O. 1990, Reg. 70, s. 103.
104. (1) Every licensee shall employ a sufficient number of program staff persons in each residence operated by the licensee to ensure a minimum ratio of one program staff person to every eight residents in the residence averaged over a twenty-four-hour period. R.R.O. 1990, Reg. 70, s. 104 (1).
(2) Every licensee who operates a parent model residence without auxiliary staff persons shall ensure that the total number of children in the residence does not exceed eight. R.R.O. 1990, Reg. 70, s. 104 (2).
(3) Every licensee who operates a staff model residence where more than one program staff person is on duty per shift shall ensure that one program staff person is designated to be in charge of the shift. R.R.O. 1990, Reg. 70, s. 104 (3).
(4) Every licensee shall ensure that where a child is on the premises of a residence, the licensee has made reasonable provision in the circumstances for the supervision, care and safety of the child and that an additional adult is on call when children are on the premises and only one adult is on the premises. R.R.O. 1990, Reg. 70, s. 104 (4).
105. (1) Every person who applies for a licence to establish, operate and maintain a residence shall prepare and keep on file and provide to a Director when required by the Director,
(a) a written proposal that outlines the program goals of the residence, the types of residents to be served in the residence and the services to be provided in the residence;
(b) documentation of the need for the residence and a description of the needs of the client population to be served by the residence;
(c) documentation of the community and neighbourhood facilities and services that are available and the ways in which these are appropriate and available to the residents to be served by the residence;
(d) written evidence of consultation with community facilities and services where services for the residents will be required;
(e) information concerning facilities that are similar to the residence or that offer similar services to the residence within the neighbourhood and their proximity to the proposed site of the residence;
(f) a description of the neighbourhood in which the applicant proposes to establish the residence and of the ways in which the neighbourhood will be suitable for the residence;
(g) evidence that the municipalities and school boards in the area where the residence is to be located have been notified in writing of the intent to establish a residence;
(h) a plan for securing neighbourhood acceptance of the residence; and
(i) a plan for securing funds to establish, equip and operate the residence. R.R.O. 1990, Reg. 70, s. 105 (1).
(2) Every applicant for a licence or renewal of a licence to establish, operate or maintain a residence shall provide to a Director a copy of the site plan of the residence and a drawing to scale that sets out the floor plan of the residence, showing windows, doors, exits and stairways and the proposed uses of each room in the residence. R.R.O. 1990, Reg. 70, s. 105 (2).
106. Every licensee shall ensure that each residence operated by the licensee meets the following requirements:
1. No room without a window is used as a bedroom.
2. No basement area or room is used for sleeping accommodation unless such use is approved by a Director.
3. Each bedroom has a minimum area of five square metres of floor space for each resident over the age of eighteen months and under the age of sixteen years.
4. Each bedroom has a minimum of seven square metres of floor space for each resident sixteen years of age or over.
5. A residence that accommodates residents under the age of eighteen months has a minimum area of 3.25 square metres of floor space for each resident and at least 7.5 square metres of floor space in every bedroom where residents under the age of eighteen months are accommodated.
6. Each resident is provided with his or her own bed and clean mattress suitable for the resident’s age and size, together with bedding that is appropriate according to the weather and climate.
7. No resident over six years of age shares a bedroom with another resident of the opposite sex unless the sharing is approved by a Director.
8. The residence has a minimum of one wash basin with hot and cold water and one flush toilet for every five residents or fewer and one bath or shower with hot and cold water for every eight residents or fewer and, where there is more than one toilet in any one room, each toilet has a separate compartment.
9. The water temperature in a washroom or bathroom in a residence does not exceed 49 degrees Celsius.
10. The residence has an outdoor play space that is equivalent in area to at least nine square metres for each resident based on the maximum number of children permitted in the licence except where an alternative arrangement is approved by the Director.
11. The outdoor play space is maintained in a safe and sanitary condition.
12. The temperature of the residence is maintained at not less than 17 degrees Celsius. R.R.O. 1990, Reg. 70, s. 106.
107. Every licensee shall ensure that in each residence operated by the licensee,
(a) drugs and records are kept in locked containers and that only persons authorized by the licensee have access to the drugs and records;
(b) each fuel-fired appliance in the residence is serviced at least once a year by a person who is the holder of a certificate issued under section 14 of the Energy Act; and
(c) the chimneys in the residence are cleaned as often as is necessary to keep them in a safe operating condition and a record is kept of the servicing and cleaning. R.R.O. 1990, Reg. 70, s. 107.
108. Every licensee shall ensure that each residence operated by the licensee has,
(a) at least one acceptable exit from the first storey of the residence;
(b) at least one acceptable exit or two means of egress from the third storey of the residence where the third storey provides sleeping accommodation;
(c) one or more single station smoke alarms listed by Underwriters’ Laboratories of Canada located in each bedroom or sleeping area and in each storey at interior stairways;
(d) a fire-resistant partition between any fuel-fired central heating appliance and the remainder of the building where there is a bedroom on the same floor as the central heating fuel-fired appliance; and
(e) a 2A 10B.C.-rated fire extinguisher for the kitchen that is listed by Underwriters’ Laboratories of Canada. R.R.O. 1990, Reg. 70, s. 108.
109. (1) Every licensee shall ensure that in each residence operated by the licensee,
(a) all staff persons and residents are instructed in a manner suitable for their understanding in the procedures to be followed when a fire alarm is activated;
(b) the procedures referred to in clause (a) are,
(i) posted in conspicuous places in the residence, and
(ii) practised at least once a month and a record is kept of each practice;
(c) the fire alarm is used to initiate fire drills;
(d) flammable liquids and paint supplies that are kept in the residence are stored in lockable containers;
(e) sprinkler heads and fire detector heads in the residence are not painted;
(f) all staff persons are trained in the proper use of fire extinguishing equipment and a record is kept of each training session using such equipment;
(g) inspection of the premises of the residence, including equipment in the kitchen and laundry is made each night to ensure that there is no danger of fire and that all doors to stairwells, fire doors and smoke barrier doors are closed; and
(h) a record of each inspection referred to in clause (g) is kept in the daily log of the residence. R.R.O. 1990, Reg. 70, s. 109 (1).
(2) Every licensee shall ensure that in each residence operated by the licensee,
(a) all poisonous and hazardous substances are kept in lockable containers;
(b) harmful substances and objects not essential to the operation of the residence are not allowed in the residence;
(c) firearms are not allowed on the premises of the residence; and
(d) a supply of drinking water is provided that is, in the opinion of the local medical officer of health, sanitary and adequate for the requirements of residents. R.R.O. 1990, Reg. 70, s. 109 (2).
109.1 (1) In this section,
“young offender” means a resident of a residence who is in one of the following programs in the residence:
1. A secure or an open temporary detention program established in a place of temporary detention under subsection 89 (2) of the Act.
2. A maximum or medium security custody program established in a place of secure custody under subsection 89 (3) of the Act.
3. An open custody program established in a place of open custody under subsection 89 (4) of the Act. O. Reg. 77/02, s. 6.
(2) Every licensee operating a residence shall ensure that physical restraint of residents of the residence is not carried out except in accordance with the following rules:
1. Physical restraint of a resident may be carried out only,
i. for the purpose of preventing the resident from physically injuring or further physically injuring himself or herself or others, or
ii. if the resident is a young offender, for the purpose of preventing the resident from escaping from the residence or causing significant property damage.
2. Physical restraint of a resident may never be carried out for the purpose of punishing the resident.
3. Physical restraint of a resident may be carried out only if there is a clear and imminent risk that,
i. the resident will physically injure or further physically injure himself or herself or others, or
ii. if the resident is a young offender, the resident will escape from the residence or cause significant property damage.
4. Physical restraint of a resident may be carried out only after it is determined that less intrusive interventions are or would be ineffective in,
i. preventing the resident from physically injuring or further physically injuring himself or herself or others, or
ii. if the resident is a young offender, preventing the resident from escaping from the residence or causing significant property damage.
5. Physical restraint of a resident may be carried out,
i. by a member of the residence’s staff, if he or she has obtained the training and education described in section 109.3, or
ii. by the licensee, if the licensee is an individual who provides direct care to residents of the residence and has obtained the training and education described in section 109.3.
6. A particular holding technique may be used,
i. by a member of the residence’s staff, if he or she has received specific training in that technique in a training program approved by the Minister, or
ii. by the licensee, if the licensee is an individual who provides direct care to residents of the residence and has received specific training in that technique in a training program approved by the Minister.
7. When physical restraint of a resident is carried out, it must be carried out using the least amount of force that is necessary to restrict the resident’s ability to move freely.
8. During physical restraint of a resident, the resident’s condition must be continually monitored and assessed.
9. Physical restraint of a resident must be stopped upon the earlier of the following:
i. When there is no longer a clear and imminent risk that,
A. the resident will physically injure or further physically injure himself or herself or others, or
B. if the resident is a young offender, the resident will escape from the residence or cause significant property damage.
ii. When there is a risk that the physical restraint itself will endanger the health or safety of the resident. O. Reg. 77/02, s. 6.
(3) Every licensee operating a residence shall establish,
(a) a written policy concerning the interventions that must be employed or considered for the purpose of preventing a resident from physically injuring or further physically injuring himself or herself or others, in order to avoid the need to physically restrain the resident;
(b) a written policy concerning the interventions that must be employed or considered for the purpose of preventing a resident who is a young offender from escaping from the residence or causing significant property damage, in order to avoid the need to physically restrain the resident; and
(c) a written policy concerning the protocols that must be followed in monitoring and assessing a resident’s condition during physical restraint. O. Reg. 77/02, s. 6.
109.2 Every licensee operating a residence shall ensure that when a resident of the residence is physically restrained, debriefing is conducted in accordance with the following rules:
1. One debriefing process must be conducted among the members of the residence’s staff who were involved in the physical restraint and, if the licensee is an individual who was involved in the physical restraint, the licensee.
2. Another debriefing process must be conducted among the persons mentioned in paragraph 1 and the resident who was physically restrained, and this process must be structured to accommodate the resident’s psychological and emotional needs and cognitive capacity.
3. Subject to paragraph 4, the debriefing processes referred to in paragraphs 1 and 2 must be conducted within 48 hours after the physical restraint was carried out.
4. If circumstances do not permit a debriefing process referred to in paragraph 1 or 2 to be conducted within 48 hours after the physical restraint was carried out, the debriefing process must be conducted as soon as possible after the 48-hour period and a record must be kept of the circumstances which prevented the debriefing process from being conducted within the 48-hour period. O. Reg. 77/02, s. 6.
109.3 (1) Every licensee operating a residence shall ensure that the following training is successfully completed by all of the residence’s program staff persons and, if the licensee is an individual who provides direct care to residents of the residence, by the licensee:
1. A training program that includes training in the use of physical restraint and that is approved by the Minister.
2. All refresher courses required under the program. O. Reg. 77/02, s. 6.
(2) Every licensee operating a residence shall ensure that education respecting the following subject-matter is obtained by all of the residence’s program staff persons and, if the licensee is an individual who provides direct care to residents of the residence, by the licensee:
1. The provisions of this Regulation concerning physical restraint of residents of a residence.
2. The policies established by the Ministry of Community and Social Services concerning physical restraint of residents of a residence.
3. The residence’s policies concerning physical restraint of its residents. O. Reg. 77/02, s. 6.
(3) Every licensee operating a residence shall ensure that,
(a) the education of a current program staff person and, if the licensee is an individual who provides direct care to residents of the residence, of the licensee,
(i) in the subject-matter described in paragraph 1 of subsection (2) is completed within 30 days after each new regulatory provision concerning physical restraint of residents of a residence comes into force,
(ii) in the subject-matter described in paragraph 2 of subsection (2) is completed within 30 days after each new ministry policy concerning physical restraint of residents of a residence is received by the licensee, and
(iii) in the subject-matter described in paragraph 3 of subsection (2) is completed within 30 days after each new residence policy concerning physical restraint of its residents is established;
(b) if a new program staff person commences employment in the residence, the person’s education in the subject-matter described in subsection (2) is completed within 30 days after the person commences employment in the residence; and
(c) if a licensee who is an individual has not provided, but subsequently begins to provide, direct care to residents of the residence, the licensee’s education in the subject-matter described in subsection (2) is completed within 30 days after the licensee begins to provide direct care to residents of the residence. O. Reg. 77/02, s. 6.
(4) Every licensee operating a residence shall ensure that a performance review is conducted annually for each program staff person and that, during the performance review, the program staff person’s understanding and application of the subject-matter described in subsection (2) is assessed and recorded. O. Reg. 77/02, s. 6.
110. Sections 111 to 121 apply to the provision of residential care under clause 193 (1) (b) of the Act in foster homes where parent-model foster care is provided but do not apply to the provision of residential care by adoption agencies under clause 50 (1) (h) of this Regulation. R.R.O. 1990, Reg. 70, s. 110.
111. (1) Every licensee shall ensure that before a child is accepted by the licensee to receive foster care in a home that provides foster care for or on behalf of the licensee that,
(a) a preliminary assessment is made of the child that sets out,
(i) the immediate needs of the child,
(ii) where it can be ascertained, whether the child is likely to be returned to his or her home,
(iii) available identifying information concerning the child,
(iv) the child’s legal status, and
(v) any other information that is, in the opinion of the licensee, relevant to the immediate care of the child; and
(b) the immediate objectives of the provision of foster care for the child have been determined, taking into account the developmental, emotional, social, medical and educational needs of the child. R.R.O. 1990, Reg. 70, s. 111 (1).
(2) Every placing agency shall complete an assessment of each child that it places in foster care within thirty days of the child being placed in a foster home. R.R.O. 1990, Reg. 70, s. 111 (2); O. Reg. 493/06, s. 17 (1).
(3) An assessment referred to in subsection (2) shall set out,
(a) the special needs of the child;
(b) the child’s legal status;
(c) available identifying information concerning the child;
(d) the child’s family history; and
(e) the circumstances necessitating out of home care for the child. R.R.O. 1990, Reg. 70, s. 111 (3).
(4) The licensee, within 30 days after placement of a child in a foster home, shall,
(a) review the assessment prepared under subsection (2); and
(b) participate in the development and finalization of a foster plan of care with,
(i) the placing agency, where the placing agency is not the licensee,
(ii) the foster parents,
(iii) the child, where the child is 12 years of age or over, and
(iv) the child’s parents, where appropriate. O. Reg. 493/06, s. 17 (2).
(5) The licensee shall ensure that the foster plan of care,
(a) takes into account all available information on the child as set out in any existing reports related to specialized consultation, specialized treatment and supports;
(b) identifies desired outcomes based on each child’s specific strengths and needs; and
(c) includes a plan to secure, within specified timeframes, the specialized consultation, specialized treatment and supports, or any one or combination of them, identified to promote the desired outcomes for the child. O. Reg. 493/06, s. 17 (3).
(6) For the purposes of clause (5) (a), where the placing agency is not the licensee, the placing agency and the licensee shall ensure that any reports respecting the child are shared between them upon receipt or as soon as practicable. O. Reg. 493/06, s. 17 (3).
(7) Every placing agency shall initiate a social history of each child that it places in foster care within 60 days after the child is placed and shall update it annually thereafter. O. Reg. 493/06, s. 17 (4).
(8) The social history of a child shall include,
(a) identifying information;
(b) admission information;
(c) family history;
(d) birth history;
(e) developmental history;
(f) health history;
(g) academic history;
(h) history of court involvement;
(i) experiences of separation;
(j) personality and behaviour; and
(k) aptitudes and abilities. O. Reg. 493/06, s. 17 (4).
(9) If the placing agency is not the licensee, the placing agency shall share the social history that it has prepared with the licensee. O. Reg. 493/06, s. 17 (4).
(10) A licensee shall use the social history of a child as a resource in adapting the foster plan of care for the child. O. Reg. 493/06, s. 17 (4).
112. No licensee shall select a placement for a child in a foster home or place a child in a foster home unless the licensee,
(a) completes an assessment of the family and approves the family to provide foster care;
(b) discloses to the foster parents in accordance with section 180, 181 or 182 of the Act, all information known to the licensee about the child that is relevant to the care of the child; and
(c) obtains the agreement of,
(i) the foster parents, on the basis of the information provided in clause (b), and
(ii) the placing agency where the placing agency is not the licensee,
to the placement. R.R.O. 1990, Reg. 70, s. 112.
113. Every licensee that places or intends to place a child in foster care shall ensure that a written record of,
(a) any needs of the child that cannot be met by placement in the foster home;
(b) how the needs of the child will be met; and
(c) any reservations or concerns expressed by the foster parents about the placement of the child in the foster home,
is included in the child’s file. R.R.O. 1990, Reg. 70, s. 113.
114. (1) Every licensee or placing agency that places a child in foster care shall,
(a) arrange for a person known to the child to accompany the child to the foster home on the date of the actual placement; and
(b) ensure that the foster parents receive the health, medical and dental data necessary for the care of the child, including specification of any medical disorders, handicaps, allergies or limitations on activity. R.R.O. 1990, Reg. 70, s. 114 (1).
(2) Clause (1) (a) does not apply where the licensee, placing agency or a person designated by the licensee or placing agency approves an adult other than one known to the child to accompany the child. R.R.O. 1990, Reg. 70, s. 114 (2).
(3) The licensee or placing agency shall ensure that the data referred to in clause (1) (b) is given in writing in accordance with sections 180, 181 and 182 of the Act at the time of the actual placement of the child in the foster home. R.R.O. 1990, Reg. 70, s. 114 (3).
115. (1) Every licensee shall review and if necessary amend the foster plan of care for each child it places in foster care. R.R.O. 1990, Reg. 70, s. 115 (1); O. Reg. 493/06, s. 18 (1).
(2) The review referred to in subsection (1) shall be carried out with the involvement of the licensee, the placing agency where the placing agency is not the licensee, the child where the child is 12 years of age or over, the foster parents and, where appropriate, the child’s parents,
(a) three months after placement, six months after placement and at least every six months thereafter; or
(b) earlier than the timeframes referenced in clause (a) if,
(i) there is a material change in circumstances which necessitates a review of the plan; or
(ii) there is a change in the child’s placement. O. Reg. 493/06, s. 18 (2).
(3) The date of each review and any changes made in the foster plan of care shall be documented by the licensee in the child’s file. O. Reg. 493/06, s. 18 (3).
(4) A supervisor shall examine the child’s file at the time of each review to ensure that the required recording and documentation have been carried out and shall sign and date the record. R.R.O. 1990, Reg. 70, s. 115 (4).
(5) Where a foster care plan is reviewed without the involvement of one of the persons referred to in subsection (2), the reason shall be noted in the child’s file. R.R.O. 1990, Reg. 70, s. 115 (5).
(6) For the purposes of subsection (1), where the placing agency is not the licensee the placing agency and the licensee shall ensure that any reports respecting the child are shared between them upon receipt or as soon as practicable. O. Reg. 493/06, s. 18 (4).
(7) If a foster plan of care includes a recommendation to obtain specialized consultation, specialized treatment and supports for the child, or any one or combination of them, and any one of them has not been obtained within the specified timeframe, the reasons shall be noted in the child’s file by the licensee. O. Reg. 493/06, s. 18 (4).
116. (1) Every licensee shall develop procedures for the selection, development and management of the foster homes used by the licensee. R.R.O. 1990, Reg. 70, s. 116 (1).
(2) Every licensee shall develop and maintain,
(a) a system for classifying and utilizing foster homes;
(b) procedures for the recruitment, screening and selection of foster parents;
(c) an up to date list of foster homes that are approved by the licensee;
(d) a system for supervising foster homes; and
(e) a system for evaluating foster homes annually according to the objectives set for the type and level of care to be provided in each home. R.R.O. 1990, Reg. 70, s. 116 (2).
117. (1) Every licensee shall ensure that it places no more than four foster children and no more than two foster children under two years of age in each foster home. R.R.O. 1990, Reg. 70, s. 117 (1).
(2) Subsection (1) does not apply where all the foster children are of common parentage or related to the foster parents and the placement is approved in writing by a Director. R.R.O. 1990, Reg. 70, s. 117 (2).
(3) Where a Director approves a placement referred to in subsection (2), the licensee shall ensure that the Director’s written approval is available for inspection by a program supervisor. R.R.O. 1990, Reg. 70, s. 117 (3).
118. (1) No licensee shall approve a foster home to receive a child for foster care until the licensee or a person designated by the licensee,
(a) conducts at least one planned interview with a foster parent applicant in the applicant’s home;
(b) where more than one adult who lives in the home will be providing foster care in the home, conducts an interview individually and together with each adult;
(c) in addition to the adults referred to in clause (b), meets with other family members of the applicant that live with the applicant and all other persons living in the home;
(d) receives from a single applicant the names of at least three persons in the community to provide references and receives from joint applicants the names of at least five persons in the community to provide references;
(e) contacts the references referred to in clause (d) by letter, telephone or in person and makes a record of their comments regarding the suitability of the applicant to provide foster care;
(f) obtains a written statement from a physician, an individual approved by the local medical officer of health or a registered nurse in the extended class regarding the general health and specific illnesses or disabilities of the foster parent applicant and family members and whether or not they might interfere with the provision of foster care; and
(g) visits the applicant’s home to determine whether or not it is suitable for placement of a foster child. R.R.O. 1990, Reg. 70, s. 118 (1); O. Reg. 493/06, s. 19 (1, 2).
(2) A person who visits the applicant’s home to determine whether or not it is suitable as a foster home shall,
(a) conduct an assessment of,
(i) the common living areas of the applicant’s home,
(ii) the proposed sleeping area for a foster child,
(iii) the grounds surrounding the home, and
(iv) the play space used by the children in the home; and
(b) take note of the recreational areas within walking distance of the foster home. O. Reg. 493/06, s. 19 (3).
(3) A visit referred to in subsection (2) shall be recorded in the applicant’s file. R.R.O. 1990, Reg. 70, s. 118 (3).
119. (1) No licensee shall approve a home as a foster home unless the licensee is satisfied that the regular sleeping accommodation for the foster child or children meets the following requirements:
1. No room without a window is used as a bedroom.
2. No bedroom is in a building detached from the foster home, an unfinished attic or unfinished basement or a stairway hall.
3. Each foster child has a bed and clean mattress suitable for the age of the foster child together with bedding that is appropriate according to the weather and climate.
4. No foster child shares a bed or sleeping room with an adult couple or adult of the opposite sex.
5. No foster child over six years of age shares a bedroom with another child of the opposite sex. R.R.O. 1990, Reg. 70, s. 119 (1).
(2) Paragraph 4 of subsection (1) does not apply where a child is ill or an infant and the needs of the child require that the child be in the same room as an adult. R.R.O. 1990, Reg. 70, s. 119 (2).
(3) Subsection (1) does not apply where a Director approves an arrangement other than an arrangement required under that subsection. R.R.O. 1990, Reg. 70, s. 119 (3).
120. (1) Every licensee that intends to place a child in foster care shall enter into a written foster care service agreement with the foster parents before placing a foster child with the foster parents. R.R.O. 1990, Reg. 70, s. 120 (1).
(2) The foster care service agreement shall set out,
(a) the respective roles, responsibilities and obligations of the licensee and the foster parents;
(b) support and training services to be provided by the licensee to the foster parents during the placement of children, including,
(i) frequency and form of supervision,
(ii) relief services,
(iii) training opportunities, and
(iv) professional consultation for the foster child;
(c) financial arrangements for the care of a child, including,
(i) the basis for determining the amount of payment to the foster parents,
(ii) the method and frequency of payment to the foster parents, and
(iii) the basis for determining which expenditures that the foster parents incur that the licensee will reimburse;
(d) those things that are considered to be confidential between the foster parents and the licensee;
(e) the frequency of performance evaluation by the licensee; and
(f) the basis for termination of the agreement. R.R.O. 1990, Reg. 70, s. 120 (2).
(3) The foster care service agreement shall be reviewed by the licensee at least annually and at the request of a foster parent and updated by the parties to the agreement from time to time as is necessary to give proper effect to the agreement. R.R.O. 1990, Reg. 70, s. 120 (3).
121. (1) Every licensee shall assign a staff person to supervise and support every foster family approved for placement by the licensee and to arrange for the support services provided for in the foster care service agreement. R.R.O. 1990, Reg. 70, s. 121 (1).
(2) Where the licensee is not the placing agency, the staff person referred to in subsection (1) shall visit the foster family home where the child is placed and consult with at least one foster parent within seven days after the placement and within 30 days after the placement. O. Reg. 493/06, s. 20.
(3) Where the licensee is the placing agency, the staff person referred to in subsection (1) shall consult with at least one foster parent within seven days after the placement and visit the foster family home within 30 days after the placement. O. Reg. 493/06, s. 20.
(4) Where a licensee approves a foster family and there is one or more children placed in the home, the staff person referred to in subsection (1) shall provide routine supportive foster home visits at least every three months. O. Reg. 493/06, s. 20.
(5) Where a licensee approves a foster family but no child is placed with the family, the staff person referred to in subsection (1) shall maintain contact with the foster family at least every three months. O. Reg. 493/06, s. 20.
(6) Every licensee shall have policies and procedures setting out expectations and timeframes for the licensee’s responses to foster parent inquiries and in no case shall the response time exceed three business days. O. Reg. 493/06, s. 20.
122. (1) The following approved services are exempt from the application of the Act up to and including March 31, 1995:
1. London Psychiatric Hospital Child and Adolescent Unit.
2. Whitby Psychiatric Hospital Child and Adolescent Unit. O. Reg. 509/94, s. 1.
(2) The following approved agencies are exempt from the application of the Act, except section 3 and Part I, up to and including March 31, 1995:
1. Royal Ottawa Hospital Regional Children’s Centre.
2. Sudbury Algoma Hospital Regional Children’s Centre. O. Reg. 509/94, s. 1.
PART X
INDIAN AND NATIVE CHILD AND FAMILY SERVICES
Prescribed Powers and Procedures
123. The following are prescribed powers for the purposes of section 213.1 of the Act:
1. The completion by a society of a full child protection investigation, if after the investigation there is a determination that a child is in need of protection under Ontario Regulation 206/00 (Procedures, Practices and Standards of Service for Child Protection Cases) made under the Act and the society makes a determination that the case requires a plan for ongoing protection services.
2. The apprehension of a child by a child protection worker under section 40, 41 or 43 of the Act.
3. The placement of a child, by a society, in a children’s residence as defined in section 192 of the Act or in a foster home as defined under subsection 3 (1) of the Act. O. Reg. 493/06, s. 21.
124. (1) When exercising a power prescribed by section 123 the society shall,
(a) provide notice to a representative chosen by the child’s band or native community by the end of the next day after exercising the prescribed power to request that a case consultation occur as soon as practicable, but no later than five days after receipt of the notice, if the child is a member of a band or native community that is within the territorial jurisdiction of the society; or
(b) provide written notice to a representative chosen by the child’s band or native community within five days after exercising the prescribed power to request that a case consultation occur as soon as practicable, but no later than 30 days after receipt of the notice, if the child is a member of a band or native community that is not within the territorial jurisdiction of the society. O. Reg. 493/06, s. 21.
(2) Notice under clause (1) (a) may be verbal but, if there are existing arrangements between the society and the band or native community, the notice shall be given in a manner that is consistent with those arrangements. O. Reg. 493/06, s. 21.
(3) If notice under clause (1) (a) is verbal, the society shall record the date and time of the notice and the name of the person to whom notice was given. O. Reg. 493/06, s. 21.
(4) Notice under clause (1) (b) may be given by regular mail or by fax. O. Reg. 493/06, s. 21.
(5) If notice is sent by regular mail, it shall be sent to the most recent address of the representative of the band or native community known to the society and is deemed to be received on the fifth day after it is mailed. O. Reg. 493/06, s. 21.
(6) If the notice is sent by fax, it is deemed to be received on the day after it is sent, unless that day is a holiday, in which case the copy is deemed to be received on the next day that is not a holiday. O. Reg. 493/06, s. 21.
(7) If a representative of the band or native community that acts in good faith does not, through absence, accident, illness or other cause beyond the representative’s control, receive the notice until a later date than the deemed date of receipt, subsection (5) or (6), as the case may be, does not apply. O. Reg. 493/06, s. 21.
Note: Despite the amendments set out in sections 1 to 7 of Ontario Regulation 483/97, sections 18 to 25 of this Regulation, as they read on December 31, 1997, apply for the purpose of determining the amount payable to societies under section 19 of the Act with respect to any of their fiscal years ending before January 1, 1998. See O. Reg. 483/97, ss. 1 to 7, 8.
FORM 1 Revoked: O. Reg. 199/99, s. 7.
FORM 2
TEMPORARY CARE AGREEMENT (SUBSECTION 29 (1) OF THE ACT)
Child and Family Services Act




R.R.O. 1990, Reg. 70, Form 2.
FORM 3
SPECIAL NEEDS AGREEMENT (SUBSECTION 30 (1) OF THE ACT)
Child and Family Services Act




R.R.O. 1990, Reg. 70, Form 3.
FORM 4
SPECIAL NEEDS AGREEMENT (SUBSECTION 31 (1) OF THE ACT)
Child and Family Services Act




R.R.O. 1990, Reg. 70, Form 4.
FORM 5
EXTENSION OR VARIATION AGREEMENT (SUBSECTION 29 (5) OR 29 (10) OF THE ACT)
Child and Family Services Act



R.R.O. 1990, Reg. 70, Form 5.
FORM 6
EXTENSION OR VARIATION AGREEMENT (SUBSECTION 30 (3), 30 (4) OR 31 (4) OF THE ACT)
Child and Family Services Act



R.R.O. 1990, Reg. 70, Form 6.
FORM 7
WARRANT TO APPREHEND AND RETURN A CHILD IN CARE
Child and Family Services Act


R.R.O. 1990, Reg. 70, Form 7.
FORM 8
INFORMATION IN SUPPORT OF A WARRANT TO APPREHEND AND RETURN A CHILD IN CARE
Child and Family Services Act


R.R.O. 1990, Reg. 70, Form 8; O. Reg. 683/92, s. 2.
FORM 9
WARRANT TO APPREHEND AND RETURN A CHILD WHO HAS WITHDRAWN FROM A PARENT’S CONTROL
Child and Family Services Act


R.R.O. 1990, Reg. 70, Form 9.
FORM 10
INFORMATION IN SUPPORT OF A WARRANT TO APPREHEND AND RETURN A CHILD WHO HAS WITHDRAWN FROM A PARENT’S CONTROL
Child and Family Services Act


R.R.O. 1990, Reg. 70, Form 10; O. Reg. 683/92, s. 3.
FORM 11
INFORMATION TO OBTAIN A WARRANT OF APPREHENSION AND RETURN OF YOUNG PERSON (SECTION 98 OF THE ACT)
Child and Family Services Act


R.R.O. 1990, Reg. 70, Form 11; O. Reg. 683/92, s. 4.
FORM 12
WARRANT OF APPREHENSION AND RETURN OF YOUNG PERSON (SECTION 98 OF THE ACT)
Child and Family Services Act


R.R.O. 1990, Reg. 70, Form 12.
FORM 13
APPLICATION FOR EMERGENCY ADMISSION TO SECURE TREATMENT PROGRAM
Child and Family Services Act


R.R.O. 1990, Reg. 70, Form 13.
FORM 14
EMERGENCY ADMISSION TO SECURE TREATMENT PROGRAM
Child and Family Services Act

R.R.O. 1990, Reg. 70, Form 14.
FORM 15
APPLICATION FOR REVIEW OF EMERGENCY ADMISSION TO SECURE TREATMENT PROGRAM
Child and Family Services Act


R.R.O. 1990, Reg. 70, Form 15.
FORM 16
REVIEW OF EMERGENCY ADMISSION TO SECURE TREATMENT PROGRAM
Child and Family Services Act

R.R.O. 1990, Reg. 70, Form 16.
FORM 17
WARRANT TO APPREHEND AND RETURN A CHILD WHO HAS BEEN ADMITTED TO A SECURE TREATMENT PROGRAM
Child and Family Services Act

R.R.O. 1990, Reg. 70, Form 17.
FORM 18
INFORMATION IN SUPPORT OF A WARRANT TO APPREHEND AND RETURN A CHILD WHO HAS BEEN ADMITTED TO A SECURE TREATMENT PROGRAM
Child and Family Services Act

R.R.O. 1990, Reg. 70, Form 18; O. Reg. 683/92, s. 5.
FORM 19
APPLICATION FOR APPROVAL OF A LOCKED ROOM FOR USE FOR THE SECURE ISOLATION OF CHILDREN
Child and Family Services Act

R.R.O. 1990, Reg. 70, Form 19.
FORM 20
APPROVAL OR RENEWAL OF APPROVAL OF A LOCKED ROOM FOR USE FOR THE SECURE ISOLATION OF CHILDREN
Child and Family Services Act

R.R.O. 1990, Reg. 70, Form 20.
FORM 21
REFUSAL OF AN APPROVAL OR WITHDRAWAL OF AN APPROVAL OF A LOCKED ROOM FOR USE FOR THE SECURE ISOLATION OF CHILDREN
Child and Family Services Act

R.R.O. 1990, Reg. 70, Form 21.
FORM 22
NOTICE TO A DIRECTOR OF PROPOSED PLACEMENT
Child and Family Services Act

R.R.O. 1990, Reg. 70, Form 22.
FORM 23
APPROVAL/REFUSAL OF A DIRECTOR OF A PROPOSED PLACEMENT
Child and Family Services Act


R.R.O. 1990, Reg. 70, Form 23.
FORM 24
REGISTRATION OF PLACEMENT OF A CHILD FOR ADOPTION
Child and Family Services Act


R.R.O. 1990, Reg. 70, Form 24.
FORM 25
DIRECTOR’S REGISTRATION OF PLACEMENT OF CHILD FOR ADOPTION UNDER SUBSECTION 141 (7) OF THE ACT
Child and Family Services Act


R.R.O. 1990, Reg. 70, Form 25.
FORM 26
ACKNOWLEDGMENT OF ADOPTION PLACEMENT
Child and Family Services Act

R.R.O. 1990, Reg. 70, Form 26.
FORM 27
STATEMENT BY PHYSICIAN UNDER SUBSECTION 183 (2) OF THE ACT
Child and Family Services Act

R.R.O. 1990, Reg. 70, Form 27.
FORM 28
APPLICATION FOR A LICENCE OR RENEWAL OF A LICENCE TO OPERATE A CHILDREN’S RESIDENCE
Child and Family Services Act


R.R.O. 1990, Reg. 70, Form 28.
FORM 29
APPLICATION FOR A LICENCE OR RENEWAL OF A LICENCE TO PROVIDE RESIDENTIAL CARE
Child and Family Services Act



R.R.O. 1990, Reg. 70, Form 29.
FORM 30
APPLICATION FOR A LICENCE OR RENEWAL OF A LICENCE TO PLACE CHILDREN FOR ADOPTION
Child and Family Services Act



R.R.O. 1990, Reg. 70, Form 30; O. Reg. 400/93, s. 3.
FORM 31
A LICENCE OR RENEWAL OF A LICENCE TO OPERATE A CHILDREN’S RESIDENCE
Child and Family Services Act


R.R.O. 1990, Reg. 70, Form 31.
FORM 32
A LICENCE OR RENEWAL OF A LICENCE TO PROVIDE RESIDENTIAL CARE
Child and Family Services Act

R.R.O. 1990, Reg. 70, Form 32.
FORM 33
A LICENCE OR RENEWAL OF A LICENCE TO PLACE CHILDREN FOR ADOPTION
Child and Family Services Act


R.R.O. 1990, Reg. 70, Form 33.
FORM 34
PROVISIONAL LICENCE TO OPERATE A CHILDREN’S RESIDENCE
Child and Family Services Act

R.R.O. 1990, Reg. 70, Form 34.
FORM 35
PROVISIONAL LICENCE TO PROVIDE RESIDENTIAL CARE
Child and Family Services Act

R.R.O. 1990, Reg. 70, Form 35.
FORM 36
PROVISIONAL LICENCE TO PLACE CHILDREN FOR ADOPTION
Child and Family Services Act


R.R.O. 1990, Reg. 70, Form 36.
Child and Family Services Act

R.R.O. 1990, Reg. 70, Form 37.
Child and Family Services Act


R.R.O. 1990, Reg. 70, Form 38; O. Reg. 161/93, s. 3.
Child and Family Services Act

![]()
R.R.O. 1990, Reg. 70, Form 39.
FORM 40
REQUEST FOR DETERMINATION
Child and Family Services Act

R.R.O. 1990, Reg. 70, Form 40.
Child and Family Services Act


R.R.O. 1990, Reg. 70, Form 41.
FORM 42
WARRANT FOR ACCESS TO RECORD(S) (SECTION 74.1 OF THE ACT)
Child and Family Services Act


O. Reg. 45/00, s. 2.
FORM 43
INFORMATION IN SUPPORT OF A WARRANT FOR ACCESS TO A RECORD (SECTION 74.1 OF THE ACT)
Child and Family Services Act


O. Reg. 45/00, s. 2.
FORM 44
WARRANT (TELEWARRANT) FOR ACCESS TO RECORD(S) (SECTION 74.2 OF THE ACT)
Child and Family Services Act


O. Reg. 45/00, s. 3.
FORM 45
INFORMATION IN SUPPORT OF A WARRANT (TELEWARRANT) FOR ACCESS TO A RECORD (SECTION 74.2 OF THE ACT)
Child and Family Services Act


O. Reg. 45/00, s. 3.