R.R.O. 1990, Reg. 189: ESSEX CIVIL CASE MANAGEMENT RULES, Courts of Justice Act, R.S.O. 1990, c. C.43
Courts of Justice Act
REGULATION 189
Amended to O. Reg. 458/01
ESSEX CIVIL CASE MANAGEMENT RULES
Note: This Regulation was revoked on December 31, 2002. See: R.R.O. 1990, Reg. 189, r. 17; O. Reg. 458/01, s. 1.
This is the English version of a bilingual regulation.
CONTENTS
Rule 1 |
Scope |
Rule 2 |
Rules of Civil Procedure |
Rule 3 |
Interpretation |
Rule 3.1 |
Time |
Rule 4 |
Definitions |
Rule 5 |
Case information statement and case management order |
Rule 6 |
Fast track |
Rule 7 |
Standard track |
Rule 8 |
Family track |
Rule 9 |
Fast lien track |
Rule 10 |
Complex track |
Rule 11 |
Transfers from one track to another |
Rule 12 |
Counterclaims, crossclaims and third party claims |
Rule 12.1 |
Affidavit evidence or alternative dispute resolution |
Rule 13 |
Family variation applications |
Rule 14 |
Actions commenced before January 1, 1985 |
Rule 15 |
Actions commenced on or after January 1, 1985 and before September 4, 1990 |
Rule 15.1 |
Civil Case Management Committee |
Rule 16 |
Short title |
Form 1 |
Case information statement |
Form 2 |
Case management order (fast track) |
Form 3 |
Case management order (standard track) |
Form 4 |
Case management order (family track) |
Form 5 |
Case management order (fast lien track) |
Form 6 |
Case management order (complex track) |
Form 7 |
Case management order (family variation track) |
SCOPE
1. (1) These rules apply to proceedings commenced in the County of Essex. R.R.O. 1990, Reg. 189, r. 1 (1).
Exception, applications
(2) Except as provided in subrule 13 (1) (family variation track), these rules do not apply to applications, even if they are to be treated as actions under subrule 38.10 (2) or (3) of the Rules of Civil Procedure. R.R.O. 1990, Reg. 189, r. 1 (2).
RULES OF CIVIL PROCEDURE
2. The Rules of Civil Procedure also apply to proceedings to which these rules apply, but these rules prevail in the event of conflict. R.R.O. 1990, Reg. 189, r. 2.
INTERPRETATION
3. (1) These rules shall be liberally interpreted to secure the just, most expeditious and least expensive determination, on the merits, of proceedings to which they apply. R.R.O. 1990, Reg. 189, r. 3 (1).
Matters not provided for
(2) If matters are not provided for in these rules, the practice shall be determined by analogy to them. R.R.O. 1990, Reg. 189, r. 3 (2).
Dispensing with compliance
(3) The court may dispense with compliance with any provision of these rules if it is just and necessary to do so. R.R.O. 1990, Reg. 189, r. 3 (3).
TIME
3.1 (1) The court may by order extend or abridge any time prescribed by these rules or an order, on such terms as are just. O. Reg. 397/91, s. 2.
(2) A motion for an order extending time may be made before or after the expiration of the time prescribed. O. Reg. 397/91, s. 2.
DEFINITIONS
4. In these rules,
“Day 1” means the day on which a proceeding is commenced; (“jour premier”)
“defendant” includes the respondent in a divorce action; (“défendeur”)
“plaintiff” includes the petitioner in a divorce action. (“demandeur”) R.R.O. 1990, Reg. 189, r. 4.
ACTIONS COMMENCED ON OR AFTER SEPTEMBER 4, 1990
CASE INFORMATION STATEMENT
5. (1) When a divorce petition, statement of claim or notice of action is issued on or after the 4th day of September, 1990, the plaintiff shall file a case information statement (Form 1) selecting,
(a) the family track, in the case of an action under the Divorce Act (Canada), the Family Law Act or the Children’s Law Reform Act, an action respecting a domestic contract, or an action in constructive trust between spouses or persons who have cohabited;
(b) the fast lien track, in the case of a construction lien action; or
(c) the fast track or the standard track, in the case of any other action. R.R.O. 1990, Reg. 189, r. 5 (1).
Case management order
(2) When the plaintiff files the case information statement, the court shall make a case management order in Form 2 (fast track), Form 3 (standard track), Form 4 (family track) or Form 5 (fast lien track). R.R.O. 1990, Reg. 189, r. 5 (2).
FAST TRACK
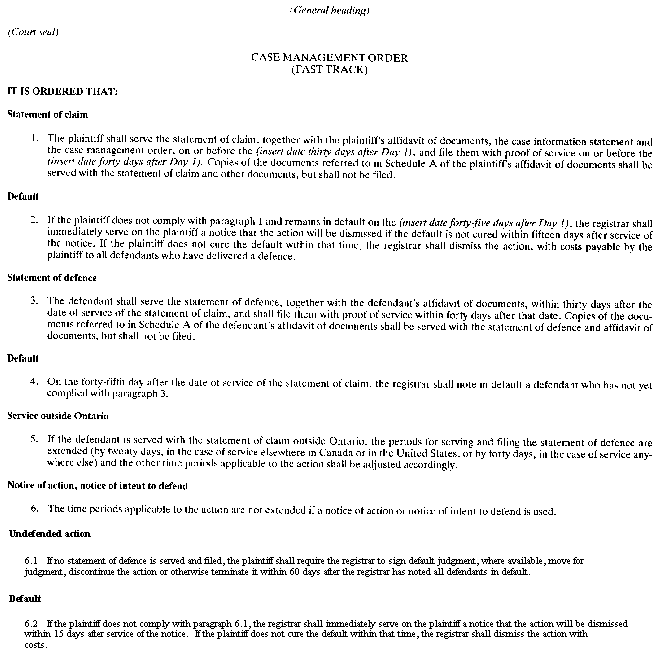
6. The following provisions apply to an action on the fast track:
Statement of claim
1. The plaintiff shall serve the statement of claim, together with the plaintiff’s affidavit of documents, the case information statement and the case management order, within thirty days after Day 1, and file them with proof of service within forty days after Day 1. However, proof of service is not required with respect to a defendant who files a statement of defence within forty-four days after Day 1. Copies of the documents referred to in Schedule A of the plaintiff’s affidavit of documents shall be served with the statement of claim and other documents, but shall not be filed.
Default
2. If the plaintiff does not comply with paragraph 1 and remains in default on the forty-fifth day after Day 1, the registrar shall immediately serve on the plaintiff a notice that the action will be dismissed against each defendant with respect to whom the plaintiff is in default if the default is not cured within fifteen days after service of the notice. If the plaintiff does not cure the default within that time, the registrar shall dismiss the action against each defendant with respect to whom the plaintiff is in default.
Statement of defence
3. The defendant shall serve the statement of defence, together with the defendant’s affidavit of documents, within thirty days after the date of service of the statement of claim, and shall file them with proof of service within forty days after that date. Copies of the documents referred to in Schedule A of the defendant’s affidavit of documents shall be served with the statement of defence and affidavit of documents, but shall not be filed.
Default
4. On the forty-fifth day after the date of service of the statement of claim, the registrar shall note in default a defendant who has not yet complied with paragraph 3.
Service outside Ontario
5. If the defendant is served with the statement of claim outside Ontario, the periods for serving and filing the statement of defence are extended (by twenty days, in the case of service elsewhere in Canada or in the United States, or by forty days, in the case of service anywhere else) and the other time periods applicable to the action shall be adjusted accordingly.
Notice of action, notice of intent to defend
6. The time periods applicable to the action are not extended if a notice of action or notice of intent to defend is used.
Undefended action
6.1 If no statement of defence is served and filed, the plaintiff shall require the registrar to sign default judgment, where available, move for judgment, discontinue the action or otherwise terminate it within 60 days after the registrar has noted all defendants in default.
Default
6.2 If the plaintiff does not comply with paragraph 6.1, the registrar shall immediately serve on the plaintiff a notice that the action will be dismissed within 15 days after service of the notice. If the plaintiff does not cure the default within that time, the registrar shall dismiss the action with costs.
Reply
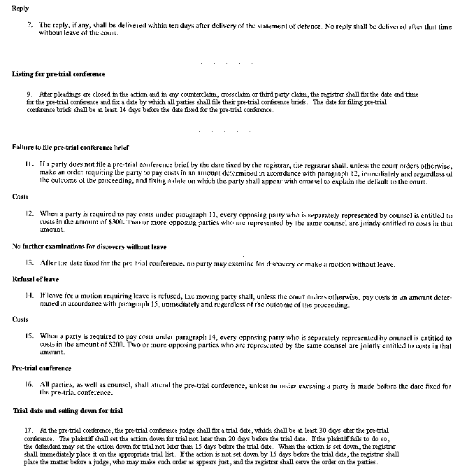
7. The reply, if any, shall be delivered within ten days after delivery of the statement of defence. No reply shall be delivered after that time without leave of the court.
Leave for motions
8. No motion may be made without leave, except a motion referred to in paragraph 11 (examinations for discovery) or subrule 11 (2) (timely transfers).
Refusal of leave
9. If leave for a motion is refused, the moving party shall, unless the court orders otherwise, pay costs in an amount determined in accordance with paragraph 10, immediately and regardless of the outcome of the proceeding.
Costs
10. When a party is required to pay costs under paragraph 9, every opposing party who is separately represented by counsel is entitled to costs in the amount of $200. Two or more opposing parties who are represented by the same counsel are jointly entitled to costs in that amount.
Examinations for discovery
11. No party may conduct examinations for discovery lasting more than three hours in total without leave. The motion for leave may itself be made without leave.
12. Revoked: O. Reg. 744/94, s. 1 (2).
Listing for pre-trial conference
13. After pleadings are closed in the action and in any counterclaim, crossclaim or third party claim, the registrar shall fix the date and time for the pre-trial conference and fix a date by which all parties shall file their pre-trial conference briefs. The date for filing pre-trial conference briefs shall be at least 14 days before the date fixed for the pre-trial conference.
14. Revoked: O. Reg. 744/94, s. 1 (3).
Failure to file pre-trial conference brief
15. If a party does not file a pre-trial conference brief by the date fixed by the registrar, the registrar shall, unless the court orders otherwise, make an order requiring the party to pay costs in an amount determined in accordance with paragraph 16, immediately and regardless of the outcome of the proceeding, and fixing a date on which the party shall appear with counsel to explain the default to the court.
Costs
16. When a party is required to pay costs under paragraph 15, every opposing party who is separately represented by counsel is entitled to costs in the amount of $300. Two or more opposing parties who are represented by the same counsel are jointly entitled to costs in that amount.
No further examinations for discovery without leave
17. After the date fixed for the pre-trial conference, no party may examine for discovery without leave.
Pre-trial conference
18. All parties, as well as counsel, shall attend the pre-trial conference, unless an order excusing a party is made before the date fixed for the pre-trial conference.
Trial date and setting down for trial
19. At the pre-trial conference, the pre-trial conference judge shall fix a trial date, which shall be at least 30 days after the pre-trial conference. The plaintiff shall set the action down for trial not later than 20 days before the trial date. If the plaintiff fails to do so, the defendant may set the action down for trial not later than 15 days before the trial date. When the action is set down, the registrar shall immediately place it on the appropriate trial list. If the action is not set down by 15 days before the trial date, the registrar shall place the matter before a judge, who may make such order as appears just, and the registrar shall serve the order on the parties.
Trial
20. The trial shall begin within six months after Day 1. R.R.O. 1990, Reg. 189, r. 6.; O. Reg. 211/93, s. 2; O. Reg. 744/94, s. 1.
STANDARD TRACK
7. The following provisions apply to an action on the standard track:
Statement of claim
1. The plaintiff shall serve the statement of claim, together with the case information statement and the case management order, within sixty days after Day 1, and file them with proof of service within seventy days after Day 1. However, proof of service is not required with respect to a defendant who files a statement of defence within seventy-four days after Day 1.
Default
2. If the plaintiff does not comply with paragraph 1 and remains in default on the seventy-fifth day after Day 1, the registrar shall immediately serve on the plaintiff a notice that the action will be dismissed against each defendant with respect to whom the plaintiff is in default if the default is not cured within fifteen days after service of the notice. If the plaintiff does not cure the default within that time, the registrar shall dismiss the action against each defendant with respect to whom the plaintiff is in default.
Statement of defence
3. The defendant shall serve the statement of defence within sixty days after the date of service of the statement of claim and shall file it with proof of service within seventy days after that date.
Default
4. On the seventy-fifth day after the date of service of the statement of claim, the registrar shall note in default a defendant who has not yet complied with paragraph 3.
Service outside Ontario
5. If the defendant is served with the statement of claim outside Ontario, the periods for serving and filing the statement of defence are extended (by twenty days, in the case of service elsewhere in Canada or in the United States, or by forty days, in the case of service anywhere else) and the other time periods applicable to the action shall be adjusted accordingly.
Notice of action, notice of intent to defend
6. The time periods applicable to the action are not extended if a notice of action or notice of intent to defend is used.
Undefended action
6.1 If no statement of defence is served and filed, the plaintiff shall require the registrar to sign default judgment, where available, move for judgment, discontinue the action or otherwise terminate it within 60 days after the registrar has noted all defendants in default.
Default
6.2 If the plaintiff does not comply with paragraph 6.1, the registrar shall immediately serve on the plaintiff a notice that the action will be dismissed within 15 days after service of the notice. If the plaintiff does not cure the default within that time, the registrar shall dismiss the action with costs.
Reply
7. The reply, if any, shall be delivered within ten days after delivery of the statement of defence. No reply shall be delivered after that time without leave of the court.
8. Revoked: O. Reg. 744/94, s. 2 (2).
Listing for pre-trial conference
9. After pleadings are closed in the action and in any counterclaim, crossclaim or third party claim, the registrar shall fix the date and time for the pre-trial conference and fix a date by which all parties shall file their pre-trial conference briefs. The date for filing pre-trial conference briefs shall be at least 14 days before the date fixed for the pre-trial conference.
10. Revoked: O. Reg. 744/94, s. 2 (3).
Failure to file pre-trial conference brief
11. If a party does not file a pre-trial conference brief by the date fixed by the registrar, the registrar shall, unless the court orders otherwise, make an order requiring the party to pay costs in an amount determined in accordance with paragraph 12, immediately and regardless of the outcome of the proceeding, and fixing a date on which the party shall appear with counsel to explain the default to the court.
Costs
12. When a party is required to pay costs under paragraph 11, every opposing party who is separately represented by counsel is entitled to costs in the amount of $300. Two or more opposing parties who are represented by the same counsel are jointly entitled to costs in that amount.
No further examinations for discovery or motions without leave
13. After the date fixed for the pre-trial conference, no party may examine for discovery or make a motion without leave.
Refusal of leave
14. If leave for a motion requiring leave is refused, the moving party shall, unless the court orders otherwise, pay costs in an amount determined in accordance with paragraph 15, immediately and regardless of the outcome of the proceeding.
Costs
15. When a party is required to pay costs under paragraph 14, every opposing party who is separately represented by counsel is entitled to costs in the amount of $200. Two or more opposing parties who are represented by the same counsel are jointly entitled to costs in that amount.
Pre-trial conference
16. All parties, as well as counsel, shall attend the pre-trial conference, unless an order excusing a party is made before the date fixed for the pre-trial conference.
Trial date and setting down for trial
17. At the pre-trial conference, the pre-trial conference judge shall fix a trial date, which shall be at least 30 days after the pre-trial conference. The plaintiff shall set the action down for trial not later than 20 days before the trial date. If the plaintiff fails to do so, the defendant may set the action down for trial not later than 15 days before the trial date. When the action is set down, the registrar shall immediately place it on the appropriate trial list. If the action is not set down by 15 days before the trial date, the registrar shall place the matter before a judge, who may make such order as appears just, and the registrar shall serve the order on the parties.
Trial
18. The trial shall begin within eighteen months after Day 1. R.R.O. 1990, Reg. 189, r. 7; O. Reg. 397/91, s. 3; O. Reg. 211/93, s. 3; O. Reg. 744/94, s. 2.
FAMILY TRACK
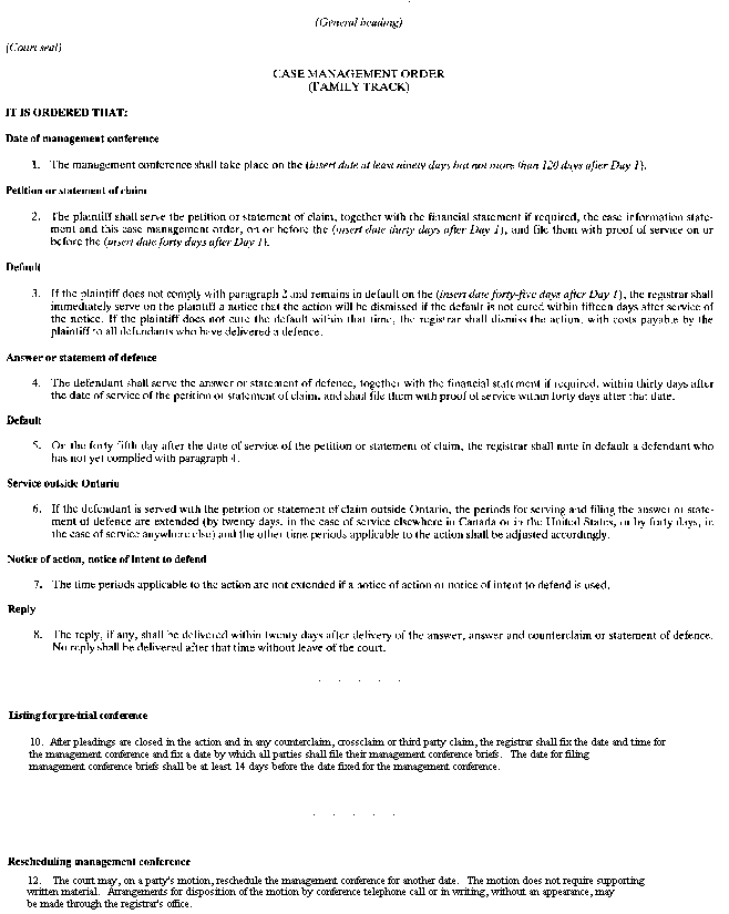
8. The following provisions apply to an action on the family track:
Petition or statement of claim
1. The plaintiff shall serve the petition or statement of claim, together with the financial statement if required, the case information statement and the case management order, within thirty days after Day 1, and file them with proof of service within forty days after Day 1. However, proof of service is not required with respect to a defendant who files an answer or statement of defence within forty-four days after Day 1.
Default
2. If the plaintiff does not comply with paragraph 1 and remains in default on the forty-fifth day after Day 1, the registrar shall immediately serve on the plaintiff a notice that the action will be dismissed against each defendant with respect to whom the plaintiff is in default if the default is not cured within fifteen days after service of the notice. If the plaintiff does not cure the default within that time, the registrar shall dismiss the action against each defendant with respect to whom the plaintiff is in default.
Answer or statement of defence
3. The defendant shall serve the answer or statement of defence, together with the financial statement if required, within thirty days after the date of service of the petition or statement of claim, and shall file them with proof of service within forty days after that date.
Date of management conference
4. When the defendant has complied with paragraph 3, the court shall fix a date for a management conference. The date shall be at least forty-five days but not more than seventy-five days after delivery of the answer or statement of defence.
Default
5. On the forty-fifth day after the date of service of the petition or statement of claim, the registrar shall note in default a defendant who has not yet complied with paragraph 4.
Service outside Ontario
6. If the defendant is served with the petition or statement of claim outside Ontario, the periods for serving and filing the answer or statement of defence are extended (by twenty days, in the case of service elsewhere in Canada or in the United States, or by forty days, in the case of service anywhere else) and the other time periods applicable to the action shall be adjusted accordingly.
Notice of action, notice of intent to defend
7. The time periods applicable to the action are not extended if a notice of action or notice of intent to defend is used.
Reply
8. The reply, if any, shall be delivered within twenty days after delivery of the answer or statement of defence. No reply shall be delivered after that time without leave of the court.
9. Revoked: O. Reg. 744/94, s. 3 (1).
Listing for pre-trial conference
10. After pleadings are closed in the action and in any counterclaim, crossclaim or third party claim, the registrar shall fix the date and time for the management conference and fix a date by which all parties shall file their management conference briefs. The date for filing management conference briefs shall be at least 14 days before the date fixed for the management conference.
11. Revoked: O. Reg. 744/94, s. 3 (2).
Rescheduling management conference
12. The court may, on a party’s motion, reschedule the management conference for another date. The motion does not require supporting written material. Arrangements for disposition of the motion by conference telephone call or in writing, without an appearance, may be made through the registrar’s office.
Documents for management conference
13. At least seven days before the date of the management conference, every party shall serve on every other party and file with proof of service a one-page summary of the issues in the action, a net family property statement, if required, with copies of documents substantiating the calculations, and a list of documents still to be obtained.
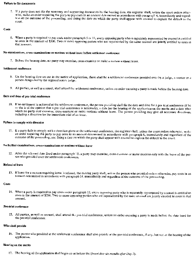
Failure to file documents
14. If a party does not file the documents within the prescribed time period, the registrar shall, unless the court orders otherwise, make an order requiring the party to pay costs in an amount determined in accordance with paragraph 15, immediately and regardless of the outcome of the proceeding, and fixing a date on which the party shall appear with counsel to explain the default to the court.
Costs
15. When a party is required to pay costs under paragraph 14, 18 or 20, every opposing party who is separately represented by counsel is entitled to costs in the amount of $300. Two or more opposing parties who are represented by the same counsel are jointly entitled to costs in that amount.
Management conference
16. All parties, as well as counsel, shall attend the management conference, unless an order excusing a party is made before the date fixed for the management conference.
17. A judge, a master or a person designated by the regional senior judge shall preside at the management conference, shall discuss with the parties the possibility of settlement and may give all necessary directions, including a direction for the immediate trial of an issue.
Failure to comply with direction
18. If a party fails to comply with a direction given at the management conference, the registrar shall, unless the court orders otherwise, make an order requiring the party to pay costs in an amount determined in accordance with paragraph 15, immediately and regardless of the outcome of the proceeding, and fixing a date on which the party shall appear with counsel to explain the default to the court.
Date and time of pre-trial conference
19. At the management conference, the person presiding shall also fix the date and time for the pre-trial conference and fix a date by which all parties shall file pre-trial conference briefs. The date fixed for filing pre-trial conference briefs shall be at least seven days before the date fixed for the pre-trial conference.
Failure to file pre-trial conference brief
20. If a party does not file a pre-trial conference brief by the date fixed under paragraph 19, the registrar shall, unless the court orders otherwise, make an order requiring the party to pay costs in an amount determined in accordance with paragraph 15, immediately and regardless of the outcome of the proceeding, and fixing a date on which the party shall appear with counsel to explain the default to the court.
No further examinations for discovery or motions without leave
21. After the date fixed for the pre-trial conference, no party may examine for discovery or make a motion without leave.
Refusal of leave
22. If leave for a motion requiring leave is refused, the moving party shall, unless the court orders otherwise, pay costs in an amount determined in accordance with paragraph 23, immediately and regardless of the outcome of the proceeding.
Costs
23. When a party is required to pay costs under paragraph 22, every opposing party who is separately represented by counsel is entitled to costs in the amount of $200. Two or more opposing parties who are represented by the same counsel are jointly entitled to costs in that amount.
Pre-trial conference
24. All parties, as well as counsel, shall attend the pre-trial conference, unless an order excusing a party is made before the date fixed for the pre-trial conference.
Who shall preside
25. The person who presided at the management conference may also preside at the pre-trial conference.
Trial date and setting down for trial
26. At the pre-trial conference, the person presiding shall fix a trial date, which shall be at least 30 days after the pre-trial conference. The plaintiff shall set the action down for trial not later than 20 days before the trial date. If the plaintiff fails to do so, the defendant may set the action down for trial not later than 15 days before the trial date. When the action is set down, the registrar shall immediately place it on the appropriate trial list. If the action is not set down by 15 days before the trial date, the registrar shall place the matter before a judge, who may make such order as appears just, and the registrar shall serve the order on the parties.
Trial
27. The trial shall begin within one year of Day 1. R.R.O. 1990, Reg. 189, r. 8; O. Reg. 397/91, s. 4; O. Reg. 211/93, s. 4; O. Reg. 744/94, s. 3.
FAST LIEN TRACK
Definition
9. (1) In this rule,
“Act” means the Construction Lien Act. R.R.O. 1990, Reg. 189, r. 9 (1).
Special provisions
(2) The following provisions apply to an action on the fast lien track:
Statement of claim
1. The plaintiff shall serve the statement of claim, together with the plaintiff’s affidavit of documents, the case information statement and the case management order, within ninety days after Day 1, in accordance with subsection 53 (2) of the Act, and shall file them with proof of service within 100 days after Day 1. The documents referred to in Schedule A of the plaintiff’s affidavit of documents shall include the claim for lien (as registered, if the lien attaches to the premises) and affidavit of verification, and shall be served with the statement of claim and other documents, but shall not be filed.
Default
2. If the plaintiff does not comply with paragraph 1 and remains in default on the 105th day after Day 1, the registrar shall immediately serve on the plaintiff a notice that the action will be dismissed if the default is not cured within fifteen days after service of the notice. If the plaintiff does not cure the default within that time, the registrar shall dismiss the action, with costs payable by the plaintiff to all defendants who have delivered a defence. However, unless the court orders otherwise, the registration of the claim for lien and of any certificate of action in respect of the lien shall not be vacated until ten days have elapsed after the order of dismissal is served on the plaintiff.
Statement of defence
3. The defendant shall deliver the statement of defence, together with the defendant’s affidavit of documents, within twenty days after the date of service of the statement of claim, in accordance with subsection 54 (1) of the Act. Copies of the documents referred to in Schedule A of the defendant’s affidavit of documents shall be served with the statement of defence and affidavit of documents, but shall not be filed.
Default
4. On the twenty-fifth day after the date of service of the statement of claim, the registrar shall note in default a defendant who has not yet complied with paragraph 3.
Motion for judgment
5. The plaintiff shall move for judgment within sixty days after the defendant is noted in default. Affidavit evidence may be received at the hearing of the motion.
Default
6. If the plaintiff does not comply with paragraph 5, the registrar shall immediately serve on the plaintiff a notice that the action will be dismissed if the default is not cured within fifteen days after service of the notice. If the plaintiff does not cure the default within that time, the registrar shall dismiss the action. However, unless the court orders otherwise, the registration of the claim for lien and of any certificate of action in respect of the lien shall not be vacated until ten days have elapsed after the order of dismissal is served on the plaintiff.
Service outside Ontario
7. If the defendant is served with the statement of claim outside Ontario, the periods for serving and filing the statement of defence are extended (by twenty days, in the case of service elsewhere in Canada or in the United States, or by forty days, in the case of service anywhere else) and the other time periods applicable to the action shall be adjusted accordingly.
Notice of action, notice of intent to defend
8. The time periods applicable to the action are not extended if a notice of action or notice of intent to defend is used.
Reply
9. The reply, if any, shall be delivered within ten days after delivery of the statement of defence. No reply shall be delivered after that time without leave of the court.
Settlement meeting obligatory
10. A settlement meeting shall be held in accordance with section 61 of the Act on a day chosen by the plaintiff, at least thirty days but no more than fifty days after the date of service of the statement of claim. It is not necessary to obtain an order for the holding of the meeting under subsection 60 (1) of the Act.
Notice
11. The plaintiff shall serve notice of the settlement meeting in accordance with subsection 60 (2) of the Act and shall file proof of service within ten days after service. A copy of the case management order shall be served with the notice of the settlement meeting.
Date for hearing of motion
12. When proof of service of the notice of settlement meeting is filed, the registrar shall fix a date that is at least fifteen days but no more than sixty days after the date of the settlement meeting, for the hearing of a motion before a judge for the purposes set out in subsection 63 (5) of the Act. The registrar shall notify the plaintiff of the date and the plaintiff shall serve the notice of motion in accordance with subsection 62 (2) of the Act and shall file proof of service.
Statement of settlement
13. If the settlement meeting does not result in a complete settlement of the action, the statement of settlement referred to in subsection 63 (3) of the Act shall, in addition to summarizing any issues of fact and law that have been settled by the parties, contain:
i. the names of the lien claimants,
ii. if entitlement to a lien or perfection or preservation of a lien are in question, a summary of the relevant issues,
iii. a statement of the priorities of the lien claimants and encumbrancers or, if there is no agreement as to priorities, a summary of the relevant issues,
iv. a summary of any other issues of fact and law to be determined at trial,
v. a statement identifying the documents agreed on for filing at trial and, if the admissibility or authenticity of a document is in question, a summary of the relevant issues,
vi. if the amount of the plaintiff’s claim is in question, a summary of the relevant issues,
vii. if evidence is to be presented at trial, a list of witnesses to be called,
viii. an estimate of the time that will be required for trial of the action or consolidated actions,
ix. if there is more than one action respecting the same land, an agreement as to which plaintiff shall have carriage of the consolidated actions, and
x. a statement indicating that all parties have signed the statement of settlement or, if that is not the case, indicating which parties have done so and the other parties’ reasons for not signing.
Filing of statement of settlement
14. The party who conducted the settlement meeting shall file the statement of settlement within ten days after the settlement meeting.
Powers of court at hearing of motion
15. At the hearing of the motion referred to in paragraph 12, the court may exercise the powers set out in subsection 61 (5) of the Act and may,
i. if there is more than one action respecting the same land, consolidate the actions and give carriage of the consolidated action in accordance with the statement of settlement,
ii. fix a date, which shall be at least ninety days but not more than 120 days after the hearing of the motion, for the trial of the action or any issue in the action,
iii. if the only outstanding issue is the amount of the plaintiff’s claim, give judgment and direct a reference to a judge or master to take accounts and report on that issue,
iv. direct that the plaintiff having carriage of the action file before the trial date a copy of an abstract of title and sheriff’s certificate (in the case of premises subject to the Registry Act) or of a certificate of title (in the case of premises subject to the Land Titles Act), dated no more than ten days before the trial date or, if the lien does not attach to the premises, a statement by the owner showing the identity of persons with preserved or perfected liens against the premises,
v. direct that examinations for discovery be held in respect of any contested issues set out in the statement of settlement, and
vi. direct that a brief of the documents referred to in the statement of settlement be filed at least fifteen days before the trial date.
Exception, no parties entitled to notice of settlement meeting
16. If there are no parties who are entitled to notice of a settlement meeting under subsection 60 (2) of the Act, the plaintiff, upon filing an affidavit to that effect with the registrar, may move immediately for summary judgment without holding a settlement meeting or making the motion referred to in paragraph 12.
Refusal of leave for motion
17. If leave for a motion requiring leave is refused, the moving party shall, unless the court orders otherwise, pay costs in an amount determined in accordance with paragraph 18, immediately and regardless of the outcome of the proceeding.
Costs
18. When a party is required to pay costs under paragraph 17 or 26, every opposing party who is separately represented by counsel is entitled to costs in the amount of $100. Two or more opposing parties who are represented by the same counsel are jointly entitled to costs in that amount.
Examinations for discovery
19. No party may conduct examinations for discovery lasting more than three hours in total without leave. The motion for leave may itself be made without leave.
20. Revoked: O. Reg. 744/94, s. 4 (1).
Record
21. The trial record shall contain a copy of the statement of settlement and of the order made under paragraph 15.
Notice of trial
22. The plaintiff having carriage of the action shall serve a notice in accordance with subsection 60 (4) of the Act.
Trial date and setting down for trial
23. On the motion referred to in paragraph 12, the judge shall fix a trial date, which shall be at least 30 days after the hearing of the motion. The plaintiff shall set the action down for trial not later than 20 days before the trial date. If the plaintiff fails to do so, the defendant may set the action down for trial not later than 15 days before the trial date. When the action is set down, the registrar shall immediately place it on the appropriate trial list. If the action is not set down by 15 days before the trial date, the registrar shall place the matter before a judge, who may make such order as appears just, and the registrar shall serve the order on the parties.
24. Revoked: O. Reg. 744/94, s. 4 (2).
Trial
25. The trial shall begin within ten months after Day 1.
General penalty for lateness
26. If a party who is required by this rule to take a step within a specific time fails to do so and no other penalty is provided for the default, the registrar shall (except in the case of a defendant against whom pleadings have been noted closed) immediately send the party a notice requiring the party to appear before the court and request an extension of time. If the court grants the extension, the party shall, unless the court orders otherwise, pay costs in an amount determined in accordance with paragraph 18, immediately and regardless of the outcome of the proceeding. If the party fails to appear or if the court refuses the extension, the action shall be dismissed or the party’s pleadings struck out, as the case may be. R.R.O. 1990, Reg. 189, r. 9 (2); O. Reg. 744/94, s. 4.
COMPLEX TRACK
10. (1) An action may be placed on the complex track only by means of a transfer under subrule 11 (4). R.R.O. 1990, Reg. 189, r. 10 (1).
(2) The following provisions apply to an action on the complex track:
Case management judge
1. A case management judge shall be assigned to the action, to monitor its progress and to make any orders and give any directions that are necessary.
Motions
2. The case management judge shall hear all motions in the action unless he or she is unavailable and the court gives a party leave to make a motion to another judge.
Refusal of leave for motion
3. If leave for a motion requiring leave is refused, the moving party shall, unless the court orders otherwise, pay costs in an amount determined in accordance with paragraph 4, immediately and regardless of the outcome of the proceeding.
Costs
4. When a party is required to pay costs under paragraph 3, every opposing party who is separately represented by counsel is entitled to costs in the amount of $100 (in the case of a construction lien action) or $200 (in any other case). Two or more opposing parties who are represented by the same counsel are jointly entitled to costs in the relevant amount.
Status hearing in lien action
5. In the case of a construction lien action, if the action is not set down for trial within eighteen months after Day 1, the case management judge shall hold an informal status hearing.
Complex track list
6. As soon as the action is listed for trial, the registrar shall place it on the complex track list.
Date and time of pre-trial conference
7. The case management judge shall fix the date and time for the pre-trial conference and fix a date by which all parties shall file pre-trial conference briefs.
Pre-trial conference
8. All parties, as well as counsel, shall attend the pre-trial conference, unless an order excusing a party is made before the date fixed for the pre-trial conference.
Trial date
9. The case management judge shall preside at the pre-trial conference and shall at that time fix a trial date, which shall be at least sixty days after the pre-trial conference.
Additional pre-trial conference
10. After the completion of the pre-trial conference, any party may, on requisition, have an additional pre-trial conference conducted by a different judge. Further pre-trial conferences require an order of the court.
Trial
11. The trial shall begin within three years of Day 1. R.R.O. 1990, Reg. 189, r. 10 (2).
TRANSFERS FROM ONE TRACK TO ANOTHER
Transfers between fast and standard tracks
11. (1) The court may transfer an action from the fast track to the standard track or from the standard track to the fast track on a party’s motion, made with leave after the close of pleadings. R.R.O. 1990, Reg. 189, r. 11 (1).
Timely transfers from fast to standard track
(2) Leave is not required for a motion to transfer an action from the fast track to the standard track if notice of the motion is given within ten days after the close of pleadings. R.R.O. 1990, Reg. 189, r. 11 (2).
Transfers from family to fast track
(3) The court may transfer an action from the family track to the fast track on a party’s motion, made with leave after the close of pleadings. R.R.O. 1990, Reg. 189, r. 11 (3).
Transfers to complex track
(4) An action may be placed on the complex track only by a transfer from the fast track, the standard track, the family track or the fast lien track ordered, on a party’s motion, by a judge designated by the regional senior judge. R.R.O. 1990, Reg. 189, r. 11 (4).
(5) The motion may be made at the hearing of the motion referred to in paragraph 12 of subrule 9 (2) (in the case of a construction lien action) or after the close of pleadings (in any other case). R.R.O. 1990, Reg. 189, r. 11 (5).
(6) The motion does not require leave or supporting written material and may be heard by means of a conference telephone call. R.R.O. 1990, Reg. 189, r. 11 (6).
Form of order for transfer to complex track
(7) The order transferring the action to the complex track shall be a case management order in Form6 (complex track). R.R.O. 1990, Reg. 189, r. 11 (7).
Transfers from complex track
(8) The case management judge assigned to an action on the complex track may at any time, on a party’s motion or on his or her own initiative, transfer the action to the standard track, the fast track, the family track or the fast lien track. R.R.O. 1990, Reg. 189, r. 11 (8).
Content of order for transfer other than to complex track.
(9) An order transferring an action from one track to another, other than an order transferring it to the complex track, shall be a case management order reciting the appropriate provisions of rule 6 (fast track), rule 7 (standard track), rule 8 (family track) or rule 9 (fast lien track), as the case may be, directions being given and time limits being modified as may be necessary. R.R.O. 1990, Reg. 189, r. 11 (9).
COUNTERCLAIMS, CROSSCLAIMS AND THIRD PARTY CLAIMS
Track for counterclaims, crossclaims and third party claims
12. (1) A counterclaim, crossclaim or third party claim shall be on the same track as the main action and, except for the delivery of pleadings, shall follow the same timetable. R.R.O. 1990, Reg. 189, r. 12 (1).
Postponement of pre-trial conference and trial in main action
(2) If a counterclaim is made against a person who is not already a party to the main action or, if there is a third party claim, the pre-trial conference and trial in the main action shall be postponed in order that they may be held at the same time as the pre-trial conference and trial in the counterclaim or third party claim, unless the court orders otherwise. R.R.O. 1990, Reg. 189, r. 12 (2).
Defence of main action by third party
(3) A third party who defends in the main action may do so within the time periods for defending the third party claim. R.R.O. 1990, Reg. 189, r. 12 (3).
AFFIDAVIT EVIDENCE OR ALTERNATIVE DISPUTE RESOLUTION
12.1 Ata management, settlement or pre-trial conference, or on a motion, a judge may,
(a) order that the evidence of an expert or other witness on behalf of a party be given by affidavit, on condition that the affidavit be served on all other parties at least 10 days before trial and that the witness be available for cross-examination at trial; or
(b) refer any issue, on consent of the parties, to an arbitrator, mediator or other person, on such terms, including reports back to the court, as appear appropriate. O. Reg. 744/94, s. 5.
FAMILY VARIATION APPLICATIONS MADE ON OR AFTER SEPTEMBER 4, 1990
Scope
13. (1) This rule applies to applications made on or after the 4th day of September, 1990 for variation of final orders or judgments for support, custody or access. R.R.O. 1990, Reg. 189, r. 13 (1).
Material to be filed
(2) When a notice of application is issued, the applicant shall file any supporting material relevant to the determination of the application. R.R.O. 1990, Reg. 189, r. 13 (2).
Date for hearing
(3) When the notice of application is issued, a hearing date, which shall be at least forty-five days and not more than sixty days after Day 1, shall be obtained from the registrar. R.R.O. 1990, Reg. 189, r. 13 (3).
(4) If the respondent is to be served with the notice of application outside Ontario, the hearing date shall be at least sixty-five days and not more than eighty days after Day 1 (in the case of service elsewhere in Canada or in the United States) or at least eighty-five days and not more than 100 days after Day 1 (in the case of service anywhere else). R.R.O. 1990, Reg. 189, r. 13 (4).
Case management order
(5) When the notice of application is issued, the court shall make a case management order in Form7 (family variation track). R.R.O. 1990, Reg. 189, r. 13 (5).
Special provisions
(6) The following provisions apply to an application on the family variation track:
Notice of application
1. The applicant shall serve the notice of application, together with the case management order, the financial statement, if required, and all other documents to be used at the hearing in support of the application, within ten days after Day 1, and file them with proof of service within seventeen days after Day 1.
Notice of appearance
2. The respondent shall serve the notice of appearance, affidavit in opposition to the application and all other required documents within ten days after the date of service of the notice of application and shall file them with proof of service within fifteen days after that date. After that time, the respondent may file the documents only with leave.
Service outside Ontario
3. If the respondent is served with the notice of application outside Ontario, the periods for serving and filing the notice of appearance are extended (by twenty days, in the case of service elsewhere in Canada or in the United States, or by forty days, in the case of service anywhere else) and the time for the hearing of the application shall be adjusted accordingly.
Documents for settlement conference
4. Before the hearing date set out in the notice of application, every party shall file a one-page summary of the issues and a copy of the documents supporting the party’s financial statement, if any.
Failure to file documents
5. If a party does not file the summary and supporting documents by the hearing date, the registrar shall, unless the court orders otherwise, make an order requiring the party to pay costs in an amount determined in accordance with paragraph 6, immediately and regardless of the outcome of the proceeding, and fixing a date on which the party shall appear with counsel to explain the default to the court.
Costs
6. When a party is required to pay costs under paragraph 5 or 11, every opposing party who is separately represented by counsel is entitled to costs in the amount of $300. Two or more opposing parties who are represented by the same counsel are jointly entitled to costs in that amount.
No examinations, cross-examinations or motions without leave before settlement conference
7. Before the hearing date, no party may examine, cross-examine or make a motion without leave.
Settlement conference
8. On the hearing date set out in the notice of application, there shall be a settlement conference presided over by a judge, a master or a person designated by the regional senior judge.
9. All parties, as well as counsel, shall attend the settlement conference, unless an order excusing a party is made before the hearing date.
Date and time of pre-trial conference
10. If no settlement is achieved at the settlement conference, the person presiding shall fix the date and time for a pre-trial conference (if he or she is of the opinion that a pre-trial conference is necessary), a date for the hearing of the application on the merits and a date after which no party may examine, cross-examine or make motions without leave. The person presiding may give all necessary directions, including a direction for the immediate trial of an issue.
Failure to comply with direction
11. If a party fails to comply with a direction given at the settlement conference, the registrar shall, unless the court orders otherwise, make an order requiring the party to pay costs in an amount determined in accordance with paragraph 6, immediately and regardless of the outcome of the proceeding, and fixing a date on which the party shall appear with counsel to explain the default to the court.
No further examinations, cross-examinations or motions without leave
12. After the relevant date fixed under paragraph 10, a party may examine, cross-examine or make motions only with the leave of the person who presided over the settlement conference.
Refusal of leave
13. If leave for a motion requiring leave is refused, the moving party shall, unless the person who presided orders otherwise, pay costs in an amount determined in accordance with paragraph 14, immediately and regardless of the outcome of the proceeding.
Costs
14. When a party is required to pay costs under paragraph 13, every opposing party who is separately represented by counsel is entitled to costs in the amount of $200. Two or more opposing parties who are represented by the same counsel are jointly entitled to costs in that amount.
Pre-trial conference
15. All parties, as well as counsel, shall attend the pre-trial conference, unless an order excusing a party is made before the date fixed for the pre-trial conference.
Who shall preside
16. The person who presided at the settlement conference shall also preside at the pre-trial conference, if any, but not at the hearing of the application.
Hearing on the merits
17. The hearing of the application shall begin within six months of Day 1. R.R.O. 1990, Reg. 189, r. 13 (6).
EXISTING ACTIONS
ACTIONS COMMENCED BEFORE JANUARY 1, 1985
14. The following provisions apply to an action commenced before the 1st day of January, 1985:
Notices of readiness
1. It is not necessary to serve notices of readiness for trial.
Case management judge, list
2. As soon as the action is listed for trial, a case management judge shall be assigned to it and the registrar shall place it on a list of actions commenced before the 1st day of January, 1985.
Date and time of pre-trial conference
3. The case management judge shall fix the date and time for the pre-trial conference and fix a date by which all parties shall file pre-trial conference briefs.
Failure to file pre-trial conference brief
4. If a party does not file a pre-trial conference brief by the date fixed by the judge, the registrar shall, unless the case management judge orders otherwise, make an order requiring the party to pay costs in an amount determined in accordance with paragraph 5, immediately and regardless of the outcome of the proceedings, and fixing a date on which the party shall appear with counsel to explain the default to the court.
Costs
5. When a party is required to pay costs under paragraph 4, every opposing party who is separately represented by counsel is entitled to costs in the amount of $300. Two or more opposing parties who are represented by the same counsel are jointly entitled to costs in that amount.
Pre-trial conference
6. All parties, as well as counsel, shall attend the pre-trial conference, unless an order excusing a party is made before the date fixed for the pre-trial conference. The motion for such an order does not require supporting written material and may be heard by means of a conference telephone call.
7. At the pre-trial conference, the presiding judge may give any necessary directions and may fix a trial date.
Special ready list
8. If the judge presiding at the pre-trial conference does not fix a trial date, the action shall be placed on a ready list reserved for actions commenced before the 1st day of January, 1985. After one month has expired from the date of the pre-trial conference, the action may be called for trial at any time, without notice. R.R.O. 1990, Reg. 189, r. 14.
ACTIONS COMMENCED ON OR AFTER JANUARY 1, 1985 AND BEFORE SEPTEMBER 4, 1990
15. The following provisions apply to an action commenced on or after the 1st day of January, 1985 and before the 4th day of September, 1990:
Notices of readiness
1. It is not necessary to serve notices of readiness for trial.
Listing for trial
2. If the action was commenced on or before the 31st day of December, 1989, the plaintiff shall serve and file the record and list the action for trial within thirty days of the close of pleadings or on or before the 5th day of November, 1990, whichever is later.
3. If the action was commenced after the 31st day of December, 1989 and before the 4th day of September, 1990, the plaintiff shall serve and file the record and list the action for trial on or before the 31st day of December, 1990.
Default
4. If the plaintiff does not comply with paragraph 2 or 3, as the case may be, the registrar shall immediately serve on the plaintiff a notice that the action will be dismissed if the plaintiff does not cure the default within fifteen days after service of the notice. If the plaintiff does not cure the default within that time, the registrar shall dismiss the action, with costs payable by the plaintiff to all defendants who have delivered a defence.
Appropriate list
5. As soon as the action is listed for trial, the registrar shall place it on the standard track list, the family track list or the fast lien track list, or on the complex track list if a judge designated by the regional senior judge so orders on a party’s motion. The motion does not require leave or supporting written material and may be heard by means of a conference telephone call.
Date and time of case management conference
6. The registrar shall also fix a date and time for a case management conference and may order that the conference be held by means of a conference telephone call.
Case management conference
7. The judge presiding at the case management conference shall fix the date and time for the pre-trial conference and fix a date by which all parties shall file pre-trial conference briefs.
Action continues on appropriate track
8. Paragraphs 10 to 17 of rule 7 (standard track), paragraphs 19 to 26 of rule 8 (family track), paragraph 10 of rule 9 (fast lien track) or paragraphs 1 to 10 of subrule 10 (2) (complex track), as the case may be, apply to the action with necessary modifications. R.R.O. 1990, Reg. 189, r. 15.
CIVIL CASE MANAGEMENT COMMITTEE
Composition
15.1 (1) There shall be a Civil Case Management Committee composed of,
(a) eight members of the Essex Law Association chosen by that association;
(b) five members of the staff of the Ministry of the Attorney General in Windsor chosen by the Court Services Manager at Windsor; and
(c) the judges and master of the Superior Court of Justice who reside in the Southwest Region. O. Reg. 397/91, s. 5; O. Reg. 294/99, s. 1.
Note: For greater certainty, the amendments made by Ontario Regulation 294/99 do not affect the application of section 10 of the Courts Improvement Act, 1996. See: O. Reg. 249/99, s. 2.
Functions
(2) The Civil Case Management Committee shall,
(a) monitor and evaluate the operation of case management under these rules; and
(b) consider proposals for amendments to these rules that are submitted to it and present recommendations for amendments to the Civil Rules Committee. O. Reg. 397/91, s. 5.
SHORT TITLE
16. These rules may be cited as the Essex Civil Case Management Rules. R.R.O. 1990, Reg. 189, r. 16.
FORM 1
Courts of Justice Act
CASE INFORMATION STATEMENT

Note: For greater certainty, the amendments made by Ontario Regulation 294/99 do not affect the application of section 10 of the Courts Improvement Act, 1996. See: O. Reg. 294/99, s. 2.
R.R.O. 1990, Reg. 189, Form 1; O. Reg. 294/99, s. 1.
FORM 2
Courts of Justice Act
CASE MANAGEMENT ORDER
(FAST TRACK)



R.R.O. 1990, Reg. 189, Form 2; O. Reg. 744/94, s. 7.
FORM 3
Courts of Justice Act
CASE MANAGEMENT ORDER
(STANDARD TRACK)



R.R.O. 1990, Reg. 189, Form 3; O. Reg. 397/91, s. 6; O. Reg. 744/94, s. 8.
FORM 4
Courts of Justice Act
CASE MANAGEMENT ORDER
(FAMILY TRACK)



R.R.O. 1990, Reg. 189, Form 4; O. Reg. 397/91, s. 7; O. Reg. 744/94, s. 9.
FORM 5
Courts of Justice Act
CASE MANAGEMENT ORDER
(FAST LIEN TRACK)




R.R.O. 1990, Reg. 189, Form 5; O. Reg. 744/94, s. 10.
FORM 6
Courts of Justice Act
CASE MANAGEMENT ORDER
(COMPLEX TRACK)


R.R.O. 1990, Reg. 189, Form 6.
FORM 7
Courts of Justice Act
CASE MANAGEMENT ORDER
(FAMILY VARIATION TRACK)



R.R.O. 1990, Reg. 189, Form 7.