R.R.O. 1990, Reg. 352: MOBILE PCB DESTRUCTION FACILITIES, Environmental Protection Act, R.S.O. 1990, c. E.19
Environmental Protection Act
Loi sur la protection de l’environnement
R.R.O. 1990, REGULATION 352
No Amendments
MOBILE PCB DESTRUCTION FACILITIES
Historical version for the period December 31, 1990 to June 29, 2005.
This Regulation is made in English only.
1. In this Regulation,
“local municipality” means a city, town, village, township or improvement district;
“mobile PCB destruction facility” means movable, transportable machinery or equipment that is intended to destroy the chemical structure of PCBs;
“PCB” means any monochlorinated or polychlorinated biphenyl or any mixture of them or mixture that contains one or more of them;
“PCB equipment” means equipment designed or manufactured to operate with PCB liquid or to which PCB liquid was added or drums and other containers used for the storage of PCB liquid;
“PCB liquid” means liquid containing PCBs at a concentration of more than fifty milligrams per kilogram;
“PCB material” means material containing PCBs at a concentration of more than fifty milligrams per kilogram whether the material is liquid or not;
“PCB waste” means,
(a) PCB equipment,
(b) PCB liquid, or
(c) PCB material,
but does not include,
(d) PCB material or PCB equipment after it has been decontaminated pursuant to guidelines or codes of practice published by the Ministry of the Environment,
(e) PCB equipment that is,
(i) an electrical capacitor that has never contained over one kilogram of PCBs,
(ii) electrical, heat transfer or hydraulic equipment or a vapour diffusion pump that is being put to the use for which it was originally designed or is being stored for such use by a person who uses the equipment for the purpose for which it was originally designed, or
(iii) machinery or equipment referred to in subclause (f) (i), or
(f) PCB liquid that is,
(i) at the site of fixed machinery or equipment, the operation of which is intended to destroy the chemical structure of PCBs by using the PCBs as a source of fuel or chlorine for a purpose other than the destruction of PCBs or other wastes and with respect to which a certificate of approval has been issued under section 9 of the Act specifying the manner in which PCB liquid be processed in the machinery or equipment, or
(ii) in PCB equipment referred to in subclause (e) (ii). R.R.O. 1990, Reg. 352, s. 1.
2. (1) Mobile PCB destruction facilities that process PCB waste so that the PCB and associated organic matrix are disposed of by incineration or other thermo-chemical processes are classified as Class 1 mobile PCB destruction facility waste management systems.
(2) Mobile PCB destruction facilities that process PCB waste so that the PCB is disposed of by chemical means and the associated organic matrix is recovered for re-use or disposal are classified as Class 2 mobile PCB destruction facility waste management systems.
(3) Every site upon which a Class 1 mobile PCB destruction facility waste management system is situate to operate solely to destroy PCB waste is classified as a Class 1 mobile PCB destruction facility waste disposal site.
(4) Every site, except a Class 3 mobile PCB destruction facility waste disposal site, upon which a Class 2 mobile PCB destruction facility waste management system is situate to operate solely to destroy PCB waste is classified as a Class 2 mobile PCB destruction facility waste disposal site.
(5) Every site upon which is situated a Class 2 mobile PCB destruction facility waste management system that is connected to an electrical transformer for which the transformer fluid is treated and returned to that transformer is classified as a Class 3 mobile PCB destruction facility waste disposal site. R.R.O. 1990, Reg. 352, s. 2.
3. (1) Class 2 mobile PCB destruction facility waste management systems and Classes 2 and 3 mobile PCB destruction facility waste disposal sites are exempt from section 32 of the Act whereby a public hearing may be required.
(2) Classes 2 and 3 mobile PCB destruction facility waste disposal sites are exempt from section 30 of the Act requiring a public hearing.
(3) All classes of mobile PCB destruction facility waste disposal sites are exempt from section 46 of the Act. R.R.O. 1990, Reg. 352, s. 3.
4. (1) Every operator of a mobile PCB destruction facility waste disposal site shall keep the following records in respect of the site:
1. A description of the source, nature and quantities of the PCB wastes dealt with.
2. The name of the owner of the site and the name of the operator of the site.
3. A description of the location of the site where the PCB wastes are being destroyed including, if that site is one authorized under Regulation 362 of the Revised Regulations of Ontario, 1990, the name of the operator of that PCB waste disposal site.
4. The dates of receipt and destruction of the PCB wastes received.
5. The method of destruction used for disposal of the PCB waste and the time of commencement and cessation of each of the operations of the equipment used for each day or part day of operations.
6. Where monitoring or sampling equipment is employed, the resulting monitoring or sampling and analytical information and, where instructed by the Director in writing, a summary of the resulting monitoring or sampling and analytical information.
7. A description of the nature and quantities of any solid or liquid material remaining after destruction of PCB waste.
8. The methods, times and locations at which any material referred to in paragraph 7 is disposed of or stored.
9. A description of every accident, process upset, breakdown or spill that occurs at the site including the reasons for the occurrence, any damage or injury suffered and the measures taken to repair, mitigate or prevent damage or injury.
(2) Every operator of a mobile PCB destruction facility waste disposal site shall submit to the Director a written report containing the information required to be recorded under subsection (1) and paragraph 17 of section 6 within sixty days after the cessation of operations at the site.
(3) An operator may dispose of records kept under subsection (1) and paragraph 17 of section 6 five years after the submission of the report referred to in subsection (2). R.R.O. 1990, Reg. 352, s. 4.
5. (1) No owner shall allow a Class 2 mobile PCB destruction facility waste management system to remain on a Class 2 or 3 mobile PCB destruction facility waste disposal site for more than ninety days after the start of its installation or assembly at the site.
(2) No owner shall operate or allow the operation of Class 2 mobile PCB destruction facility waste management systems except,
(a) at Class 2 mobile PCB destruction facility waste disposal sites during the first year that they are located in a particular local municipality, if the operations would result in an aggregate, for the year, of more than a total of up to 1,800 hours; or
(b) other than as permitted in clause (a), for more than a total of up to 1,440 hours without a break of at least one year before the next operation totalling up to 1,440 hours.
(3) No owner shall operate a mobile PCB destruction facility at any one Class 3 mobile PCB destruction facility waste disposal site for more than a total of up to 168 hours without a break of at least one year before the next operation totalling up to 168 hours may begin.
(4) Subsections (1), (2) and (3) do not apply where prior approval for a longer established site period or a longer operating period is granted by the Director, the municipal government responsible for waste disposal and the local municipality in which the site is located. R.R.O. 1990, Reg. 352, s. 5.
6. (1) No person shall use, operate or establish a mobile PCB destruction facility waste disposal site except in accordance with the following standards:
1. The maximum one-half hour average concentration of PCB in air at a point of impingement from a mobile PCB destruction facility waste disposal site shall not be greater than 450 nanograms per cubic metre of air.
2. The maximum one-half hour average concentrations of chlorinated dibenzodioxins and chlorinated dibenzofurans in air at a point of impingement from a mobile PCB destruction facility waste disposal site shall be such that the following calculation results in a value of A less than or equal to one:
![]()
where
x = one half hour concentration, in pg/m3, of chlorinated dibenzodioxin determined at a point of impingement,
y = one half hour concentration, in pg/m3, of chlorinated dibenzofuran determined at a point of impingement, and
pg/m3 = picograms per cubic metre.
3. The one-half hour average concentrations of PCB, chlorinated dibenzodioxins and di-benzofurans in air at a point of impingement shall be determined by measurement of the air or by calculation in accordance with the Appendix to Regulation 346 of the Revised Regulations of Ontario, 1990 except, where the calculation is used, the maximum height above grade of the point of emission, for purposes of the calculation, shall be 12.2 metres.
4. For Class 1 systems, the mass air emissions from the system shall be no greater than 0.001 grams PCB per kilogram of the PCB introduced into the system.
5. Solid waste that originates from the operation of a mobile PCB destruction facility waste disposal site shall be dealt with as follows:
i. Where the waste contains a concentration of fifty milligrams per kilogram or less of PCB, the waste shall be disposed of in a properly certified waste disposal site.
ii. Waste that contains a concentration exceeding fifty milligrams per kilogram of PCB shall not be diluted.
iii. Where the waste contains a concentration exceeding fifty milligrams per kilogram of PCB, Regulation 362 of the Revised Regulations of Ontario, 1990 applies to its storage, transportation and disposal.
6. PCB equipment shall not be decontaminated at a mobile PCB destruction facility waste disposal site unless the certificate of approval for the site expressly allows the activity.
7. Cooling water, surface drainage water, including contaminated precipitation, and other wastewater that originates from the operation of a mobile PCB destruction facility waste disposal site shall be dealt with as follows:
i. Where the wastewater contains a concentration of up to five micrograms per litre of PCB, it may be discharged,
A. to a municipal sewage treatment plant,
1. if the certificate of approval of the site expressly allows the activity and specifies the municipal sewage treatment plants that may receive the discharge, or
2. in accordance with written instructions of the Director,
B. except as prohibited in subsection (2), by spraying it on soil,
1. if the certificate of approval of the site expressly allows the activity, or
2. in accordance with written instructions of the Director,
C. directly or indirectly into water,
1. if the certificate of approval of the site expressly allows the activity, or
2. in accordance with written instructions of the Director.
ii. Where the wastewater contains a concentration of five micrograms per litre or greater of PCB, it shall be treated, through removal or destruction of the PCB, to reduce the PCB concentration to less than five micrograms per litre and discharged as provided in subparagraph i.
iii. Wastewater containing tetrachlorinated to octachlorinated dibenzodioxins or tetrachlorinated to octachlorinated dibenzofurans shall not be discharged, directly or indirectly, into water unless the concentration of these materials in the wastewater ultimately discharged to the natural environment is equal to or less than 0.25 nanograms per litre for each congener group of these chemicals based on a one litre sample size.
8. Every person storing PCB waste at a mobile PCB destruction facility waste disposal site shall ensure that the PCB waste is in a safe and secure location so as to prevent PCB waste coming into contact with any person and so that all liquid containing PCBs that may escape can be readily recovered and will not discharge, directly or indirectly, into a watercourse or groundwater.
9. All PCB liquid that is spilled shall be safely and effectively contained forthwith and the liquid and all associated contaminated materials shall be placed in closed containment.
10. Except as provided in subsection (3), each mobile PCB destruction facility waste disposal site shall have an assigned storage area where all PCB wastes awaiting treatment, decontamination or destruction are contained.
11. The storage area referred to in paragraph 10 shall be contained by a spill collection tray system or an impoundment on an impermeable pad or floor of sufficient capacity to contain 100 per cent of the volume of the stored liquid or such lesser amount, consistent with maintaining the protection of human health and the natural environment, as the Director stipulates as a condition attaching to the site certificate of approval.
12. Precipitation shall be either excluded from spill containment areas or collected and sampled and that which is contaminated with PCBs dealt with in accordance with paragraph 7.
13. For Class 1 and 2 sites, the volume of PCB wastes contained in the storage area referred to in paragraph 10 shall not exceed the volume required for 120 hours of operation or such greater amount as the Director, after considering the capacity of the system, the type of storage, the site location and the contingency plans and spill containment features for the site, permits as a condition attaching to the site certificate of approval.
14. Drums and storage tanks used to store PCB waste shall be of good quality, free from corrosion and visible defects, sealed and clearly identified as containing PCB waste.
15. When a transfer of PCB liquid from one container to another is necessary, the PCB liquid shall be pumped whenever practical.
16. Mobile PCB destruction machinery including pumps, hoses, connections and other equipment used to handle PCB waste shall be thoroughly inspected for leaks and signs of wear during each start-up and shut-down of operation of the equipment and at least once during every continuous eight hour period of operation of the equipment.
17. The operator of the facility shall keep records of the inspections carried out in accordance with paragraph 16 and shall include the following:
i. The time and date of the inspection.
ii. The name and job title of the person carrying out the inspection.
iii. A description of the equipment inspected.
iv. The reason for the inspection.
v. The observations made.
vi. Any tests carried out and the results of the tests.
vii. A description of all equipment replaced and repairs and maintenance carried out as a result of every inspection.
viii. The signature of the person making the inspection verifying that the information is correct.
18. Pumps, hoses, connectors and other equipment used to handle PCB waste shall not be used for any other purpose unless they have been decontaminated, prior to any other use being made of them.
19. Class 1 and 2 sites shall be enclosed to prevent entry by unauthorized persons and access to the property shall be controlled by a gate capable of being locked.
20. All operations at the site shall be adequately and continually supervised.
21. Access to the site shall be limited to the times an attendant is on duty.
22. Except as provided in subsection (4), where a location is to be used as a Class 1 site the facility and associated equipment, including PCB waste storage containers shall be at least 250 metres from occupied residences, public buildings, schools, hospitals, nursing homes, commercial or industrial food processing or preparation establishments, farm buildings containing livestock, feedlots and livestock feed processing or handling establishments.
23. Except as provided in subsection (4), where a location is to be used as a Class 2 site the facility and associated equipment, including PCB waste storage containers, shall be at least twenty metres from occupied residences, public buildings, schools, hospitals, nursing homes, commercial or industrial food processing or preparation establishments, farm buildings containing livestock, feedlots and livestock feed processing or handling establishments.
24. No systems and associated equipment, including PCB waste storage containers, shall be located,
i. closer than 100 metres from any watercourse, except that equipment at a Class 3 site may be closer if the equipment can be adequately isolated from the watercourse using impermeable impoundments or barriers, and
ii. closer than 100 metres from any drainage system, including openings to sanitary and storm sewer systems, except that equipment may be closer if the equipment can be adequately isolated from the drainage system using impermeable impoundments or barriers.
25. The terrain of a site on which the mobile PCB destruction facility is to be established shall be reasonably level and well graded.
26. Soil or ground cover characteristics shall be such as to facilitate prompt containment and clean-up of all spills of liquid containing PCBs.
27. Where parameters have been identified and operational ranges established as conditions attaching to a certificate of approval for control of a mobile PCB destruction facility waste management system, the input of PCB waste to the destruction unit of the system shall cease forthwith upon the operational range for any of the identified parameters being exceeded.
(2) Sub-subparagraph B of subparagraph i of paragraph 7 of subsection (1) does not apply to permit spraying in residential, school or public parkland areas or where the total spray volume at the soil spray site would result in a concentration of PCB of greater than 5 milligrams per kilogram in the soil layer located from the surface of the ground to a depth of 15 centimetres below ground surface.
(3) Paragraph 10 of subsection (1) does not apply to any mobile PCB destruction facility located at an existing PCB waste disposal site established under Regulation 362 of the Revised Regulations of Ontario, 1990 or a certificate of approval specifying the manner in which PCB waste may be stored.
(4) For the purposes of paragraphs 22 and 23 of subsection (1), commercial or industrial food processing or preparation establishments do not include food processing or preparation facilities associated with lunchrooms, cafeterias or similar establishments controlled by the owner or operator of the site mainly for the use by employees of the owner or operator. R.R.O. 1990, Reg. 352, s. 6.
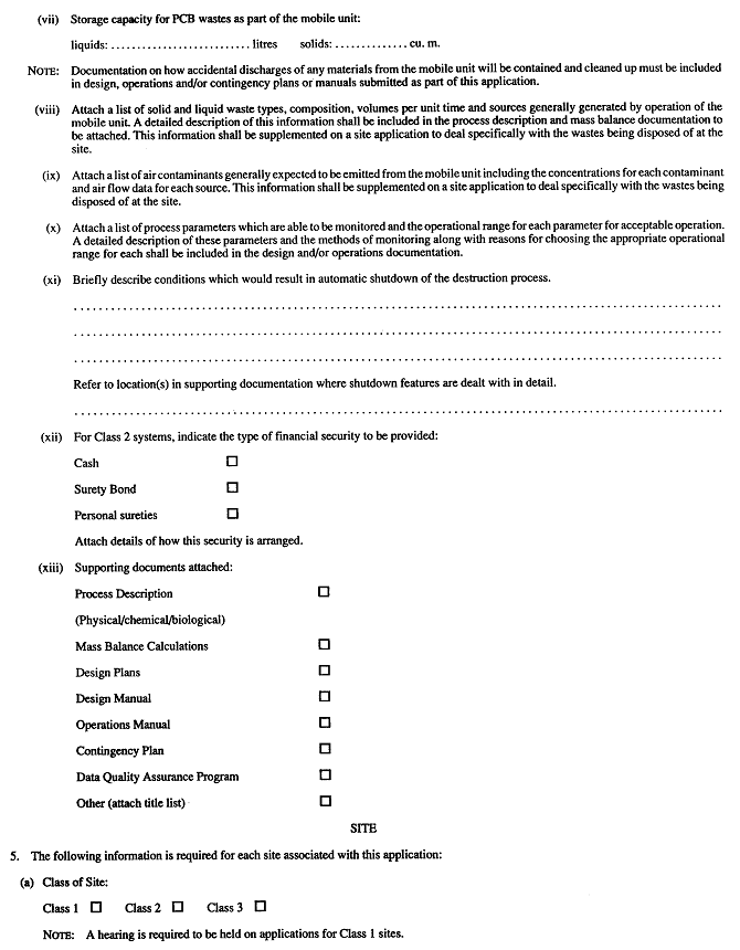
7. (1) An application for a certificate of approval for a mobile PCB destruction facility waste management system or waste disposal site shall be in Form 1 and shall include,
(a) a contingency plan that sets out the measures that will be taken by the operator to deal immediately with on-site emergencies such as spills, fires and vandalism and,
(i) the notification procedures to be used to contact the Ministry and municipal authorities forthwith, of the emergency being encountered as well as the measures being taken to deal with it, and
(ii) a list of the equipment, material and personnel that will be available at the site or will be called to the site to deal with an emergency and a description of methods and procedures to be employed in dealing with an emergency; and
(b) a data quality assurance program showing,
(i) protocols for testing and operating the facility,
(ii) the capabilities of the laboratory facilities to be used,
(iii) a statement of the credentials, training and experience of the operating staff including supervisory and laboratory staff, and
(iv) a description of the monitoring and analytical programs, in the workplace and elsewhere, to be carried out.
(2) Every operator of a site shall ensure that the equipment and material, as set out in a contingency plan, for an approved site is kept on hand, adequately maintained and kept in good repair for immediate use and that site personnel are trained in its use and the methods and procedures to be employed in the event of an emergency. R.R.O. 1990, Reg. 352, s. 7.
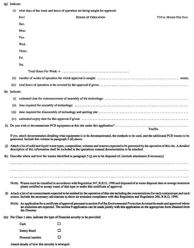
8. (1) Every applicant, other than a municipality, for a certificate of approval for a Class 1 mobile PCB destruction facility waste disposal site shall,
(a) deposit a sum of money;
(b) furnish a surety bond; or
(c) furnish personal sureties,
in the amount of $50,000.
(2) Every applicant, other than a municipality, for a certificate of approval for a Class 2 mobile PCB destruction facility waste management system shall,
(a) deposit a sum of money;
(b) furnish a surety bond; or
(c) furnish personal sureties,
in the amount of $50,000 for each mobile PCB destruction facility operating in Ontario.
(3) Where the applicant, during operation of the site or within sixty days after giving the Director notice that the equipment is disassembled and the site is terminated, fails to comply with the Director’s requirements to remove such waste or to carry out such actions as the Director considers necessary to ensure satisfactory maintenance of the equipment or the site, the money, bond or sureties deposited or their proceeds may be used by the Director in carrying out the necessary actions. R.R.O. 1990, Reg. 352, s. 8.
9. (1) Where notice is required to be given under subsection 30 (2) of the Act in respect of a proposed Class 1 site, notice shall also be given to the clerk of the municipality responsible for waste disposal, the medical officer of health, the directors of the local Boards of Education and, where the proposed site is part of an existing industrial establishment, mine or mining plant, a copy of the notice shall be posted in a conspicuous place at the workplace where it is likely to come to the attention of the workers.
(2) For the purposes of subsection (1), “industrial establishment”, “mine”, “mining plant” and “workplace” have the same meaning as in the Occupational Health and Safety Act.
(3) The notice required under subsection (1) shall include,
(a) the date on which assembly of the Class 1 system and PCB wastes may commence;
(b) location of the site;
(c) estimated amount and PCB concentration of the waste to be treated;
(d) estimated duration of operations at the site;
(e) estimated schedule of operations at the site;
(f) a brief description of the technology; and
(g) the location of a public repository holding all documents associated with the application for Class 1 site approval.
(4) For Class 2 sites, thirty days’ notice of an application for the issuance of a certificate of approval shall be given to the clerks of the local municipality and the municipality responsible for waste disposal if it is not the local municipality and the medical officer of health.
(5) The notice required under subsection (4) shall include,
(a) the date on which assembly of the Class 2 system and PCB wastes may commence;
(b) location of the site;
(c) estimated amount and PCB concentration of the waste to be treated;
(d) estimated duration of operations at the site;
(e) estimated schedule of operations at the site;
(f) a brief description of the technology; and
(g) the location of a public repository holding all documents associated with the application for site approval. R.R.O. 1990, Reg. 352, s. 9.
10. (1) When fluid from an electrical transformer is treated at a Class 3 site, the operator of the mobile PCB destruction facility shall sample and analyze the fluid for PCBs after the completion of the treatment but not sooner than ninety days after.
(2) For the purposes of this Regulation, the PCB equipment referred to in subsection (1) shall not be considered to be decontaminated until the sample results required under subsection (1) confirm that the PCB concentration of the fluid is less than 50 milligrams per litre. R.R.O. 1990, Reg. 352, s. 10.
11. No person shall operate a mobile PCB destruction facility waste management system unless the PCB waste to be destroyed is sampled and analyzed for PCBs and is confirmed to contain an amount and concentration of PCBs which is in compliance with the approved capacity of the system. R.R.O. 1990, Reg. 352, s. 11.
12. No person shall dispose of solid and liquid wastes from the operation of a Class 2 or Class 3 mobile PCB destruction facility waste disposal site that may contain PCBs without first sampling and analyzing the wastes for PCBs. R.R.O. 1990, Reg. 352, s. 12.
13. The operator of a Class 1 system shall sample the mass air emissions from the system for PCBs, chlorinated dibenzodioxins and chlorinated dibenzofurans as set out in each of the following paragraphs, with analysis of the samples to be completed as soon as practicable following sampling completion:
1. During the first twenty-four hours of operation at each of the first three sites of operation.
2. At least once, in addition to the requirement under paragraph 1, for each of the first three sites of operation and, thereafter, at least once in every year in which the system is in operation in Ontario.
3. After any major repairs or alterations to the system that are likely to affect the mass air emissions of these chemicals. R.R.O. 1990, Reg. 352, s. 13.
14. Where any class of mobile PCB destruction facility waste disposal site is to be located on land that is the subject of a certificate of approval issued pursuant to Part V of the Act for other than a mobile PCB destruction facility waste disposal site, the existing waste management system or waste disposal site is exempt from sections 27, 30 and 32 of the Act with respect to the use, operation, establishment, alteration, enlargement or extension of the mobile PCB destruction facility waste disposal site where a separate certificate of approval is issued for the mobile PCB destruction facility waste disposal site. R.R.O. 1990, Reg. 352, s. 14.
FORM 1
APPLICATION FOR A CERTIFICATE OF APPROVAL FOR DESTRUCTION OF PCBS USING MOBILE TECHNOLOGY
Environmental Protection Act






R.R.O. 1990, Reg. 352, Form 1.