R.R.O. 1990, Reg. 1015: GENERAL, Securities Act, R.S.O. 1990, c. S.5
Securities Act 
  Loi sur les valeurs mobilières
R.R.O. 1990, REGULATION 1015
GENERAL
Historical version for the period December 21, 2007 to December 30, 2007.
Last amendment: O. Reg. 589/07.
This Regulation is made in English only.
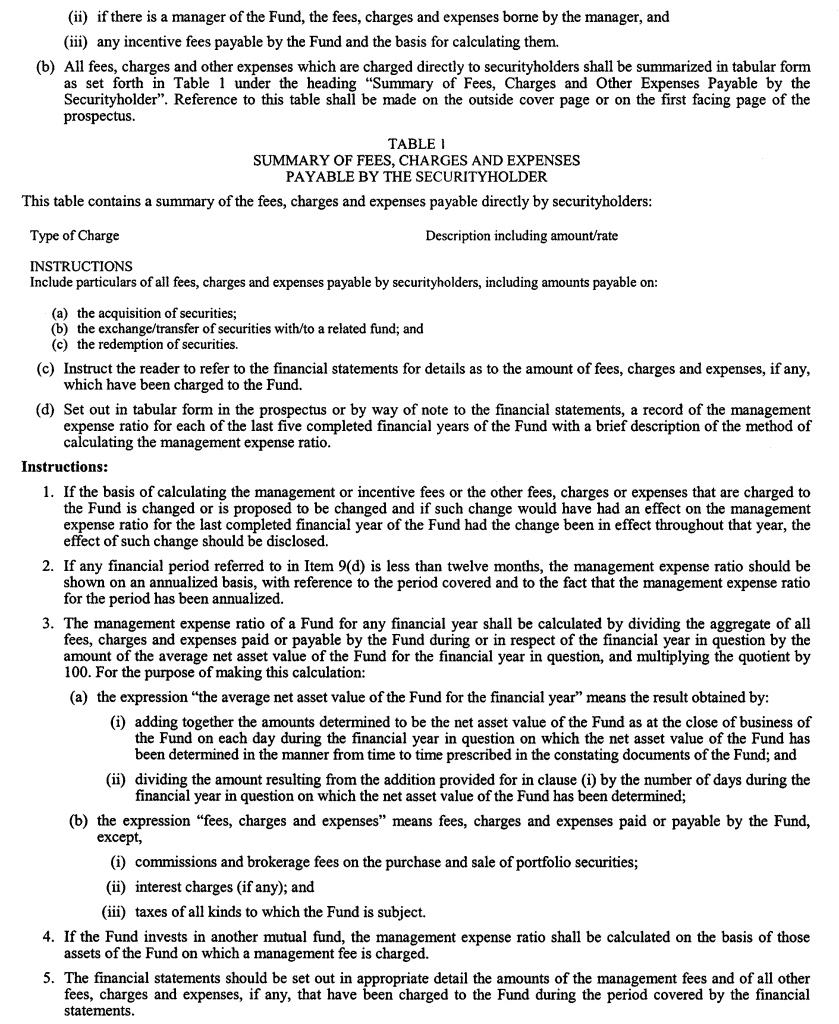
CONTENTS
| 
 | 
 | Sections | 
| GENERAL | 
 | |
| 
 | 1 | |
| 
 | 2 | |
| CONTINUOUS DISCLOSURE | 
 | |
| 
 | 3-13 | |
| PROSPECTUS REQUIREMENTS | 14-39 | |
| 
 | 40.-42-52 | |
| 
 | 53-80.-82 | |
| MUTUAL FUNDS | 83.-86 | |
| 
 | 87.-94-95 | |
| REGISTRATION REQUIREMENTS | 
 | |
| 
 | 96 | |
| 
 | 97 | |
| 
 | 98-101 | |
| 
 | 102-106 | |
| 
 | 107-112 | |
| 
 | 113 | |
| 
 | 114-115 | |
| 
 | Conditions of Registration — Segregation of Funds and Securities | 116-122 | 
| 
 | Conditions of Registration — Statements of Account and Portfolio | 123 | 
| 
 | 124-129 | |
| 
 | 130-133 | |
| 
 | 134-138 | |
| 
 | 139-150., 151 | |
| OVER-THE-COUNTER TRADING | 
 | |
| 
 | 152-153 | |
| 
 | 154 | |
| 
 | 155-156 | |
| 
 | 157-159 | |
| ONTARIO SECURITIES COMMISSION PROCEDURE AND RELATED MATTERS | 
 | |
| 
 | 160 | |
| 
 | 161 | |
| 
 | 162 | |
| 
 | 163 | |
| INSIDER TRADING | 
 | |
| 
 | 164-174 | |
| 
 | 175 | |
| TAKE-OVER BIDS AND ISSUER BIDS | 182-203.2 | |
| UNIVERSAL REGISTRATION | 
 | |
| 
 | 204-207 | |
| 
 | 208 | |
| 
 | 209 | |
| 
 | 210 | |
| 
 | 211 | |
| DEALER OWNERSHIP RESTRICTIONS | 
 | |
| 
 | 212 | |
| 
 | 213-216 | |
| 
 | 217 | |
| 
 | 218 | |
| CONFLICTS OF INTEREST | 
 | |
| 
 | 219-221., 222 | |
| 
 | 223-224 | |
| 
 | 225 | |
| 
 | 226 | |
| 
 | 227 | |
| 
 | 228-229 | |
| 
 | 230 | |
| 
 | 231-233 | |
| LABOUR SPONSORED INVESTMENT FUND CORPORATIONS | 234-245 | |
| ELECTRONIC FILING | 246-247 | |
| CIVIL LIABILITY FOR SECONDARY MARKET DISCLOSURE | 248-252 | |
| Summons to a witness before a person appointed under section ...... of the act | 
 | |
| Affidavit of service | 
 | |
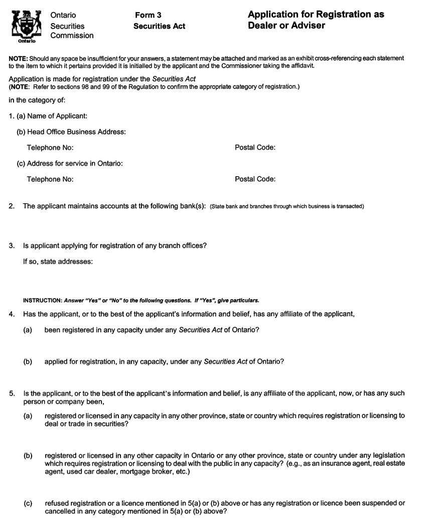
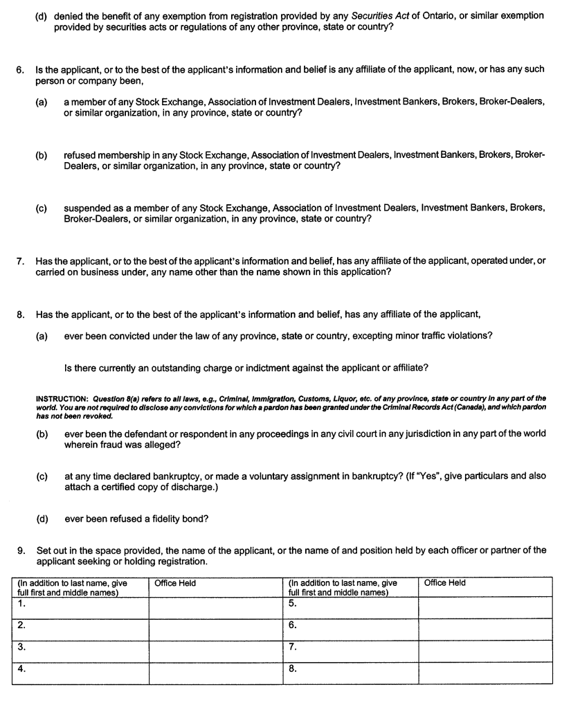
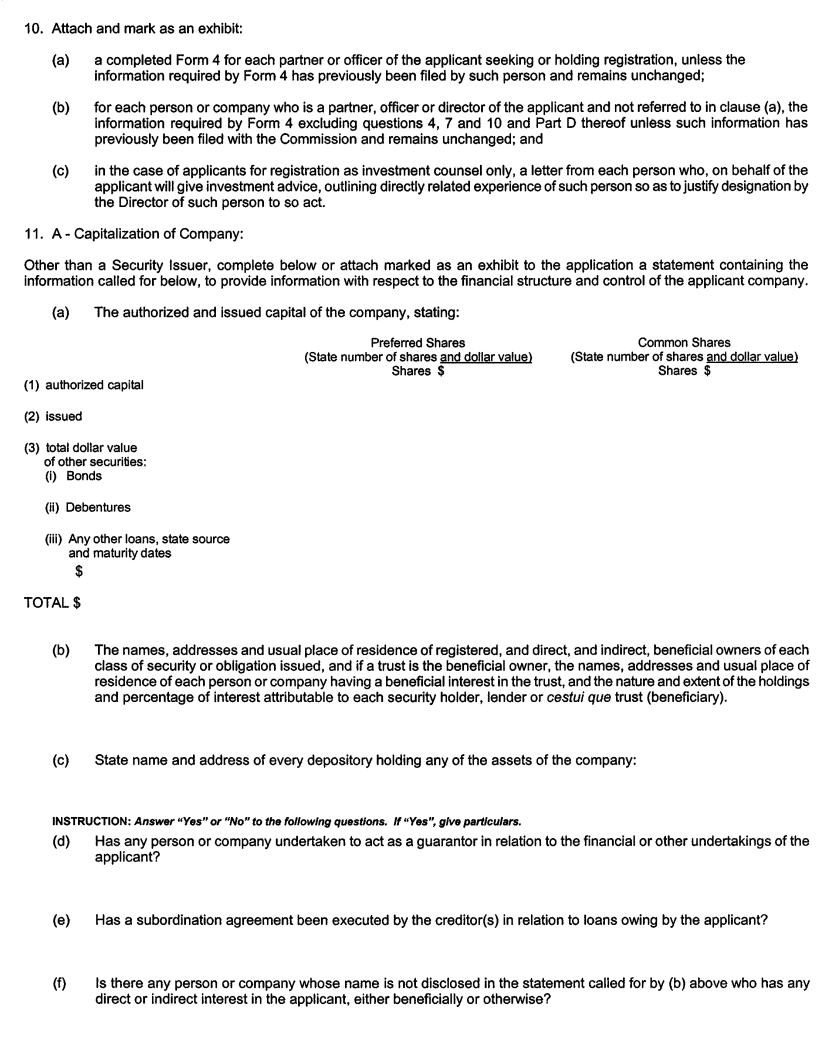
| Application for registration as dealer or adviser | 
 | |
| Application for renewal of registration as dealer or adviser | 
 | |
| Application for renewal of registration as salesperson | 
 | |
| Summons to a witness before a person designated under section 31 of the act | 
 | |
| Financial questionnaire and report | 
 | |
| Annual questionnaire to be completed by a portfolio manager for its auditor | 
 | |
| Information required in prospectus of a mutual fund | 
 | |
| Notice of intention to make an issuer bid | 
 | |
| Take-over bid circular | 
 | |
| Issuer bid circular | 
 | |
| Directors’ circular | 
 | |
| Director’s or officer’s circular | 
 | |
| Report by a registered owner of securities beneficially owned by an insider | 
 | |
| Report under section 117 of the act | 
 | |
| Endorsement of warrant | 
 | |
| Application for approval to be a market-maker in a coats security | 
 | |
| Information required to be included in prospectus of a labour sponsored investment fund corporation | 
 | 
1. (1) Every term used in this Regulation that is,
(a) defined in section 1 of the Act is used in this Regulation as so defined unless it is otherwise defined in this Regulation or the context otherwise requires;
(b) defined in a Part of the Act for purposes of that Part, is used as so defined in those sections of this Regulation that relate to the subject-matter of that Part; and
(c) defined only for a Part or section of this Regulation is, unless otherwise provided, so defined only for the purposes of such Part or section. R.R.O. 1990, Reg. 1015, s. 1 (1).
(2) In this Regulation,
“debt security” means any bond, debenture, note or similar instrument representing indebtedness, whether secured or unsecured;
“finance company” means an issuer, its subsidiaries and affiliates that,
(a) has issued securities on or after the 1st day of May, 1967, in respect of which a prospectus was filed and a receipt therefor obtained under a predecessor of this Act, or
(b) distributes its securities in Ontario, without filing a prospectus in respect thereof, in reliance on subsection 2.35 (2) of National Instrument 45-106 Prospectus and Registration Exemptions,
and is,
(c) an issuer, or a subsidiary or affiliate of an issuer, a material business activity of which involves,
(i) purchasing, discounting or otherwise acquiring promissory notes, acceptances, accounts receivable, bills of sale, chattel mortgages, conditional sales contracts, drafts and other obligations representing part or all of the sales price of merchandise, or services,
(ii) factoring or purchasing and leasing personal property as part of a hire purchase or similar business, or
(iii) making secured and unsecured loans,
but does not include,
(d) a bank listed in Schedule I or II to the Bank Act (Canada), the Federal Business Development Bank, a loan corporation or trust corporation registered under the Loan and Trust Corporations Act or an insurance company licensed under the Insurance Act,
(e) a credit union or credit union league incorporated under the Credit Unions and Caisses Populaires Act,
(f) an underwriter or dealer, or
(g) any issuer that in the opinion of the Director carries on operations making it more appropriate that such issuer be designated as an industrial company or natural resource company;
“industrial company” means an issuer designated by the Director as an industrial company;
“insurance company” means an issuer licensed under the Insurance Act;
“natural resource company” means a mining, gas, oil or exploration issuer designated by the Director as a natural resource company;
“variable insurance contract” means a contract of life insurance under which the interest of the purchaser is valued for purposes of conversion or surrender by reference to the value of a proportionate interest in a specified portfolio of assets. R.R.O. 1990, Reg. 1015, s. 1 (2); O. Reg. 491/05, s. 1.
(3) Subject to subsection (4), for the purposes of the Act and this Regulation,
(a) where the terms “generally accepted accounting principles”, “auditor’s report” and “generally accepted auditing standards” are used in reference to a financial statement to which National Instrument 52-107 Acceptable Accounting Principles, Auditing Standards and Reporting Currencies applies, those terms have the meanings provided for in that Instrument; and
(b) in all other cases, where a recommendation has been made in the Handbook of the Canadian Institute of Chartered Accountants which is applicable in the circumstances, the terms “generally accepted accounting principles”, “auditor’s report” and “generally accepted auditing standards” mean the principles, report and standards, respectively, recommended in the Handbook. O. Reg. 72/04, s. 1.
(4) Except as otherwise provided in National Instrument 52-107 Acceptable Accounting Principles, Auditing Standards and Reporting Currencies, in National Instrument 71-101 The Multijurisdictional Disclosure System and in Ontario Securities Commission Rule 71-801 The Multijurisdictional Disclosure System, where an issuer is incorporated or organized in a jurisdiction other than Canada or a province or territory of Canada, “generally accepted accounting principles” may, at the option of the issuer, mean such principles as prescribed in the incorporating jurisdiction by or pursuant to applicable legislation or where a recommendation has been made by an association in that jurisdiction equivalent to the Canadian Institute of Chartered Accountants, the principles recommended by that association, but where an option is exercised under this subsection, the notes to the financial statements shall state which option has been applied in the choice of generally accepted accounting principles. O. Reg. 72/04, s. 1.
(5) Where the Act or this Regulation requires the disclosure of the number or percentage of securities beneficially owned by a person and, by virtue of subsection 1 (5) of the Act, one or more companies will also have to be shown as beneficially owning the securities, a statement disclosing all the securities beneficially owned by the person or deemed to be beneficially owned, and indicating whether the ownership is direct or indirect and, if indirect, indicating the name of the controlled company or company affiliated with the controlled company through which the securities are indirectly owned and the number or percentage of the securities so owned by the company, shall be deemed sufficient disclosure without disclosing the name of any other company which is deemed to beneficially own the same securities. R.R.O. 1990, Reg. 1015, s. 1 (5).
(6) Where the Act or this Regulation requires the disclosure of the number or percentage of securities beneficially owned by a company and, by virtue of subsection 1 (6) of the Act, one or more other companies will also have to be shown as beneficially owning the securities, a statement disclosing all securities beneficially owned or deemed to be beneficially owned by the parent company and indicating whether the ownership is direct or indirect and, if indirect, indicating the name of the subsidiary through which the securities are indirectly owned and the number or percentage of the securities so owned, shall be deemed sufficient disclosure without disclosing the name of any other company which is deemed to beneficially own the same securities. R.R.O. 1990, Reg. 1015, s. 1 (6).
(7) A company shall be deemed to be another’s holding company or parent company if that other is its subsidiary. R.R.O. 1990, Reg. 1015, s. 1 (7).
2. (1) Subject to subsections (3) and (4), the financial statements permitted or required by the Act or this Regulation shall be prepared in accordance with generally accepted accounting principles and with any applicable provision of the Act or this Regulation. R.R.O. 1990, Reg. 1015, s. 2 (1).
(2) Revoked: O. Reg. 215/05, s. 1 (1).
(3) Revoked: O. Reg. 72/04, s. 2.
(4) Despite subsection (1), where a financial statement is not prepared in accordance with generally accepted accounting principles,
(a) the Director may accept the financial statement for the purposes for which it is to be filed,
(i) where the Director is satisfied that it is not reasonably practicable for the issuer to revise the presentation in the financial statement to conform to generally accepted accounting principles, or
(ii) where the Commission by its order under clause (b) has previously accepted a financial statement of the same issuer with a corresponding variation from generally accepted accounting principles and the Director is satisfied that there has been no material change in the circumstances upon which the decision of the Commission was based; or
(b) the Commission may, by order, accept the financial statement after giving interested parties an opportunity to be heard if the Commission is satisfied in all the circumstances of the particular case that the variation from generally accepted accounting principles is supported or justified by considerations that outweigh the desirability of uniform adherence to generally accepted accounting principles and the Commission shall publish written reasons for any acceptance of financial statements under this paragraph. R.R.O. 1990, Reg. 1015, s. 2 (4).
(5)-(7) Revoked: O. Reg. 215/05, s. 1 (2).
3. (1) Revoked: O. Reg. 215/05, s. 2 (1).
(1.1) Every report required to be filed under subsection 75 (2) of the Act by a reporting issuer shall be prepared in accordance with Form 51-102F3 of National Instrument 51-102 Continuous Disclosure Obligations except that,
(a) the reference in Item 3 of the Form to section 7.1 of National Instrument 51-102 shall be read as if it were a reference to subsection 75 (1) of the Act; and
(b) the references in Items 6 and 7 of the Form to subsection 7.1 (2) , (5) or (7) of National Instrument 51-102 shall be read as if they were references to subsection 75 (3), (4) or (5), respectively, of the Act. O. Reg. 56/04, s. 2; O. Reg. 215/05, s. 2 (2).
(1.2) Every report required to be filed under subsection 75 (2) of the Act shall, subject to section 4, be delivered to the Commission in an envelope addressed to the Commission and marked “Continuous Disclosure”. O. Reg. 56/04, s. 2.
(2) The requirements in this section apply except as otherwise provided in National Instrument 71-101 The Multijurisdictional Disclosure System and in Ontario Securities Commission Rule 71-801 The Multijurisdictional Disclosure System. O. Reg. 568/98, s. 3.
4. Where the reporting issuer files,
(a) the report required by subsection 75 (2) of the Act in reliance on,
(i) subsection 75 (3) of the Act, or
(ii) Item 7 of Form 51-102F3 of National Instrument 51-102 Continuous Disclosure Obligations; or
(iii) Revoked: O. Reg. 215/05, s. 3.
(b) the notification required by subsection 75 (4) of the Act,
everything that is required to be filed thereby shall be marked “Confidential” and placed in an envelope addressed to the Secretary marked “Confidential — s. 75”. R.R.O. 1990, Reg. 1015, s. 4; O. Reg. 56/04, s. 3; O. Reg. 215/05, s. 3.
5. Revoked: O. Reg. 56/04, s. 4.
6. Revoked: O. Reg. 215/05, s. 4.
6.1 Revoked: R.R.O. 1990, Reg. 1015, s. 6.1 (2). (See: O. Reg. 636/00, s. 1.)
7. Revoked: R.R.O. 1990, Reg. 1015, s. 7 (3). (See: O. Reg. 636/00, s. 2.)
8. Revoked: R.R.O. 1990, Reg. 1015, s. 8 (2). (See: O. Reg. 636/00, s. 3.)
9. Revoked: R.R.O. 1990, Reg. 1015, s. 9 (2). (See: O. Reg. 636/00, s. 4.)
9.1 Revoked: R.R.O. 1990, Reg. 1015, s. 9.1 (2). (See: O. Reg. 636/00, s. 5.)
10. Revoked: R.R.O. 1990, Reg. 1015, s. 10 (3). (See: O. Reg. 636/00, s. 6.)
11. Revoked: R.R.O. 1990, Reg. 1015, s. 11 (2). (See: O. Reg. 636/00, s. 7.)
12. Revoked: O. Reg. 507/97, s. 1.
13. Revoked: R.R.O. 1990, Reg. 1015, s. 13 (2). (See: O. Reg. 636/00, s. 8.)
PART III 
  PROSPECTUS REQUIREMENTS
14. Revoked: O. Reg. 662/98, s. 1.
15. Revoked: O. Reg. 130/98, s. 2.
16.-32. Revoked: O. Reg. 662/98, s. 1.
33. Revoked: O. Reg. 91/01, s. 1.
34.-36. Revoked: O. Reg. 632/00, s. 3.
37. Revoked: O. Reg. 632/00, s. 3.
38. Revoked: O. Reg. 453/05, s. 1.
39. Revoked: O. Reg. 632/00, s. 5.
40.-42. Revoked: O. Reg. 632/00, s. 5.
43. Where a prospectus is required to be filed in respect of an issuer bid, the information prescribed in Form 33, except the certificate in Item 30, shall be included in the prospectus. R.R.O. 1990, Reg. 1015, s. 43.
Note: On February 1, 2008, section 43 is revoked and the following substituted:
43. If a prospectus is required to be filed in respect of an issuer bid, the information required in Form 62-504F2 in Rule 62-504 Take-Over Bids and Issuer Bids, other than the certificate in Item 31 of Part 2 of the form, shall be included in the prospectus. O. Reg. 589/07, s. 1.
See: O. Reg. 589/07, ss. 1, 5.
44. The prospectus of a commodity pool, as defined in National Instrument 81-101 Mutual Fund Prospectus Disclosure, or of a scholarship plan shall be prepared in accordance with Form 15. O. Reg. 91/01, s. 2.
45.-49. Revoked: O. Reg. 632/00, s. 6.
50., 51. Revoked: O. Reg. 631/00, s. 1.
52. Revoked: O. Reg. 632/00, s. 7.
Content of Prospectus — Financial Matters
53. Revoked: O. Reg. 632/00, s. 7.
54. (1) Every prospectus of a mutual fund shall contain,
(a) an income statement;
(b) a balance sheet;
(c) a statement of investment portfolio;
(d) a statement of portfolio transactions; and
(e) a statement of changes in net assets,
of the mutual fund, each for or as at the end of, as appropriate, its last financial year or for any period or periods permitted or required by the Director. R.R.O. 1990, Reg. 1015, s. 54 (1); O. Reg. 91/01, s. 4 (1).
(2) The financial statements described in subsection (1) may be omitted from the prospectus of the mutual fund if a copy of the financial statements that are otherwise required by subsection (1) is filed concurrently with the filing of the prospectus or if a copy of them has previously been filed under section 78 of the Act. O. Reg. 91/01, s. 4 (2).
(3) If, under subsection (2), a prospectus of a mutual fund does not contain the financial statements described in subsection (1), a prospectus that is sent or delivered to a purchaser of securities under section 71 or under subsection 63 (5) of the Act shall be accompanied by,
(a) a copy of the financial statements that are otherwise required by subsection (1); and
(b) if one or more financial statements for periods subsequent to those covered by the financial statements referred to in clause (a) have been filed under section 77 or 78 of the Act, a copy of the financial statements most recently filed before the day on which the prospectus is sent or delivered to the purchaser. O. Reg. 92/01, s. 4 (2).
(4) If, under subsection (2), a prospectus of a mutual fund does not contain the financial statements described in subsection (1), the following statement shall be printed on the outside cover page of the prospectus:
The information contained herein must be accompanied by the annual financial statements of the Fund for the last financial year completed before the date of the current prospectus of the Fund and the auditors’ report thereon, which statements and report are considered to form part of this document. As well, if subsequent financial statements, whether semi-annual or annual, have been filed with the Securities Commission, a copy of the most recent of such subsequent statements must also accompany this document.
R.R.O. 1990, Reg. 1015, s. 54 (4); O. Reg. 91/01, s. 4 (3).
55.-59. Revoked: O. Reg. 632/00, s. 7.
60. (1) In this section,
“distributing firm” means a registrant that is an underwriter with respect to a distribution and includes the issuer of the securities being distributed if the issuer is registered as a security issuer;
“forecast” means a written estimate of the most probable results of operations of an issuer, alone or together with one or more of its affiliates, that contains any or all of,
(a) an estimate of earnings or a range of earnings,
(b) an estimate of the most probable financial position,
(c) an estimate of changes in financial position,
for one or more periods that are future periods or are periods not completed when the estimate is made, but does not include an estimate,
(d) that is prepared in the ordinary course of business and without reference to a specific distribution of securities, and
(e) that appears in a compendium of estimates relating to a number of issuers or in a publication that is distributed regularly to investors or prospective investors, who are not selected because of their potential interest in a specific issue of securities. R.R.O. 1990, Reg. 1015, s. 60 (1).
(2) The Director may permit the inclusion of a forecast in a prospectus and, where the Director permits the inclusion of a forecast,
(a) the forecast shall be identified as such in the prospectus; and
(b) the prospectus shall include the written comments of a public accountant concerning the accountant’s review of the forecast. R.R.O. 1990, Reg. 1015, s. 60 (2).
(3) No distributing firm, during the course of a distribution of securities for which a prospectus is required to be filed under the Act, shall disseminate a forecast with respect to the issuer of those securities, unless the forecast is set out in the prospectus and what is disseminated by the distributing firm consists solely of that forecast or a reasonable extract therefrom or summary thereof. R.R.O. 1990, Reg. 1015, s. 60 (3).
Note: On December 31, 2007, section 60 is revoked. See: O. Reg. 562/07, ss. 1, 2.
61.-66. Revoked: O. Reg. 632/00, s. 8.
67., 68. Revoked: O. Reg. 662/98, s. 1.
69. (1) Revoked: O. Reg. 423/01, s. 1.
(2) Revoked: O. Reg. 491/05, s. 2.
(3) Revoked: O. Reg. 662/98, s. 1.
(4), (5) Revoked: O. Reg. 657/98, s. 1.
70. Revoked: O. Reg. 423/01, s. 2.
71.-78. Revoked: O. Reg. 491/05, s. 3.
79. Revoked: O. Reg. 453/05, s. 2.
80.-82. Revoked: O. Reg. 632/00, s. 10.
83.-86. Revoked: O. Reg. 215/05, s. 5.
Statement of Portfolio Transactions
87.-94. Revoked: O. Reg. 215/05, s. 5.
95. (1) Where a trade is made in a security of a mutual fund under a contractual plan that requires that some charges be prepaid but permits other charges to be deducted from first and subsequent instalments, the confirmation of trade required by subsection 36 (3) of the Act shall contain, in addition to the requirements of subsections 36 (1) and (2) of the Act and clause 36 (3) (d) of the Act, the disclosure required by,
(a) clauses 36 (3) (a) and (b) of the Act in respect of sales, service or other charges or portions thereof that are prepaid; and
(b) clause 36 (3) (c) of the Act in respect of all sales, service or other charges or any portions thereof to be deducted from subsequent instalments. R.R.O. 1990, Reg. 1015, s. 95 (1).
(2) The confirmation of a trade made in a security of a mutual fund under a contractual plan shall not have been required to contain the information described in clause 36 (3) (d) of the Act where,
(a) the contractual plan was entered into prior to the 15th day of September, 1979;
(b) the holder of the contractual plan, in addition to the holder’s rights under section 137 of the Act and to any other rights to which the holder may have been entitled,
(i) was permitted, at any time within 365 days after the date upon which the contractual plan was entered into, to demand and to receive a refund of the net asset value of the shares or units credited to the holder prior to the date of demand, plus a refund of that portion of sales charges, exclusive of insurance premiums and fees to trustees of registered retirement savings plans, in excess of 30 per cent of an amount equal to payments under the plan scheduled and made prior to the date of demand, but not including voluntary prepayments of instalments, and
(ii) was provided with as form or letter, approved by the Director, describing rights under section 137 of the Act and under subclause (i) of this clause and setting out a table of sales charges and other information relevant to the decision of the investor as to whether to exercise such rights, which form or letter was to be sent to the investor together with each confirmation other than reinvested dividends or income during the first 365 days after the date upon which the contractual plan was entered into and was also sent to the investor not less than fifteen days and not more than forty-five days prior to the expiry of such 365-day period; or
(c) the holder of the contractual plan, in addition to rights under section 137 of the Act and to any other rights to which the holder may have been entitled,
(i) was permitted, at any time within 180 days after the date upon which the contractual plan was entered into, to have and to exercise the rights that would have arisen under section 137 of the Act if the reference to “sixty days” in subsection 137 (1) of the Act had read “180 days”, and
(ii) was provided with a form or letter, approved by the Director, describing rights under section 137 of the Act and under subclause (i) of this clause and setting out a table of sales charges and other information relevant to the decision of the investor as to whether to exercise such rights, which form or letter was to be sent to the investor together with each confirmation other than reinvested dividends or income during the first 180 days after the date upon which the contractual plan was entered into and was also sent to the investor not less than fifteen days and not more than forty-five days prior to the expiry of such 180-day period. R.R.O. 1990, Reg. 1015, s. 95 (2).
(3) Where a customer advises a registered dealer in writing before a trade in a security of a mutual fund of the customer’s participation in an automatic payment plan, automatic withdrawal plan or contractual plan that provides for systematic trading in the securities of the mutual fund no less frequently than monthly, the registered dealer shall provide the confirmation of that trade as required by section 36 of the Act, and thereafter during the continued existence of the plan and the customer’s participation in the plan, the registered dealer, in lieu of the confirmations of trade required by the said section 36, may send by prepaid mail or deliver to the customer, no less frequently than semi-annually, written summaries of trades containing the information required by the said section 36 to be disclosed to the customer, with respect to all trades of the security of the mutual fund by the customer since the last confirmation or summary of trade was prepared. R.R.O. 1990, Reg. 1015, s. 95 (3).
(4) A registered dealer who complies with subsection (3) need not comply with clause 36 (1) (d) of the Act if the confirmation or summary of trades contains a statement that the name of the person or company from or to or through whom the security of the mutual fund was bought or sold will be furnished to the customer upon request. R.R.O. 1990, Reg. 1015, s. 95 (4).
PART V 
  REGISTRATION REQUIREMENTS
96. In this Part,
“active assets” means money and the market value of assets readily convertible into money;
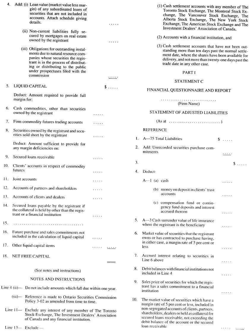
“adjusted liabilities” means total liabilities plus, where the securities accounts of the registrant are kept on a settlement date basis, any unrecorded securities purchase commitments, minus, without duplication, the sum of,
(a) cash,
(b) money on deposit in a client’s trust account,
(c) any amounts deposited by the registrant pursuant to a compensation fund or contingency trust fund established under section 110,
(d) the cash surrender value of life insurance where the registrant is the beneficiary,
(e) the market value of any securities that the registrant owns or has contracted to purchase, and that, in either case, have a margin rate of 5 per cent or less,
(f) interest accrued to the registrant in respect of the securities referred to in clause (e),
(g) the sales price of securities for which the registrant has a sales commitment to a financial institution,
(h) any debit balances with any financial institution, and
(i) the market value of securities that have a margin rate of 5 per cent or less included in,
(i) non-segregated accounts of clients, partners, shareholders, dealers, or
(ii) held as collateral for secured loans receivable,
not exceeding the debit balance of the account or the secured loan receivable;
“anniversary date” means the day and month on which the current registration or renewal of registration was granted, but where any doubt exists, such date shall be determined by the Director;
“capital” means money raised through the issuance of shares, certificates, bonds, debentures, long-term notes or any other long-term obligation, contributed or earned surplus and reserves;
“client’s trust account” means a trust account maintained by a registrant with a bank listed in Schedule I or II to the Bank Act (Canada) or a trust corporation registered under the Loan and Trust Corporations Act or substantially similar laws of Canada or one of its provinces or territories and designated as a client’s trust account;
“financial institution” means,
(a) the Government of Canada, the government of any province or territory of Canada, any municipal corporation, Crown corporation or public board or commission in Canada,
(b) the Bank of Canada, a bank listed in Schedule I or II to the Bank Act (Canada), any Quebec savings bank, and the pension funds of such banks,
(c) a trust corporation or insurance company if the company is licensed to do business in Canada and has a minimum paid up capital and surplus of $5,000,000, and the pension funds of such companies,
(d) a credit union or credit union league with a minimum paid up capital and surplus of $5,000,000,
(e) a mutual fund with net assets of $5,000,000, and
(f) a company, other than a dealer, having a minimum net worth of $25,000,000 on the last audited balance sheet, where the balance sheet is available for inspection by the Commission and any trusteed pension plan of such a company;
“free credit balances” includes money received from, or held for the account of, clients by a registrant,
(a) for investment pending the investment and payment for securities purchased by the clients from or through the registrant where the registrant does not own such securities at the time of purchase or has not purchased them on behalf of the client, pending the purchase thereof by the registrant, and
(b) as proceeds of securities purchased from clients or sold by the registrant for the account of clients where securities have been delivered to the registrant but payment has not been made pending payment of such proceeds to the clients;
“liquid capital” means the amount by which active assets exceed the sum of,
(a) total liabilities, and
(b) where the securities accounts of the registrant are recorded on a settlement date basis, any net loss on offsetting future purchase and sales commitments of securities,
and the amount of liquid capital may be increased by adding,
(c) the loan value of any securities delivered pursuant to a subordinated loan agreement in the form prescribed by the Commission that are not included in the accounts,
(d) non-current liabilities fully secured by mortgages on real estate owned by the registrant, and
(e) obligations for outstanding instalments due to natural resource companies whose securities the registrant is in the process of distributing or distributing to the public under prospectus filed with the Commission;
“loan value” means the market value of securities less the applicable margin requirements;
“margin”, “margin agreement”, “margin deficiency”, “margin rate” and “margin requirements” mean,
(a) subject to clause (b), the provisions in that regard determined pursuant to the by-laws of The Toronto Stock Exchange, or
(b) where used with respect to commodity futures contracts or cash commodities, the provisions in that regard prescribed under the Commodity Futures Act;
“market value” where used with respect to,
(a) a commodity futures contract means the settlement price on the relevant date or last trading day prior to the relevant date,
(b) a security means,
(i) where the security is listed and posted for trading on a stock exchange,
(A) the bid price, or
(B) if the security is sold short, the ask price,
as shown on the exchange quotation sheets as of the close of business on the relevant date or last trading date prior to the relevant date, as the case may be, subject to an appropriate adjustment where an unusually large or unusually small quantity of securities is being valued, or
(ii) where the security is not listed and posted for trading on a stock exchange, a value determined in accordance with section 97;
“minimum free capital” means the applicable amount determined in accordance with section 107;
“net free capital” means liquid capital after deducting,
(a) the amount required to provide full margin for,
(i) cash commodities, other than in respect of securities, owned by the registrant,
(ii) firm commodity futures trading accounts, and
(iii) securities owned by the registrant and securities sold short by the registrant,
(b) the amount sufficient to provide for any margin deficiencies on,
(i) secured loans receivable,
(ii) clients’ accounts in respect of commodity futures,
(iii) joint accounts after excluding any interest of any member of The Toronto Stock Exchange, the Investment Dealers’ Association of Canada and any financial institution,
(iv) accounts of partners and shareholders,
(v) accounts of clients and dealers, except,
(A) cash settlement accounts with any member of The Toronto Stock Exchange, The Montreal Stock Exchange, The Vancouver Stock Exchange, The Alberta Stock Exchange, The New York Stock Exchange, The American Stock Exchange and the Investment Dealers’ Association of Canada,
(B) accounts with a financial institution, and
(C) cash settlement accounts that have not been outstanding more than ten days past the normal settlement date, where the shares have been available for delivery, and not more than twenty-one days past the normal settlement date in any other case,
(vi) secured loans payable by the registrant if the collateral is held by other than the registrant or a financial institution,
(vii) where the securities accounts of the registrant are kept on a settlement date basis, future purchase and sales commitments not included in the calculation of liquid capital, and
(viii) any other liquid capital items;
“total liabilities” means all liabilities including,
(a) adequate provision for income taxes, and
(b) other accruals,
but excluding,
(c) debts the payment of which is postponed in favour of other creditors pursuant to a subordination agreement in a form approved by the Commission, and
(d) deferred income taxes relating to nonactive assets;
“working capital” means the excess of current assets over current liabilities. R.R.O. 1990, Reg. 1015, s. 96; O. Reg. 468/00, s. 1.
97. (1) Subject to subsections (2), (3) and (4), the market value of a security not listed and posted for trading on a stock exchange shall be determined by assigning a reasonable value on the basis of values shown on published market reports or inter-dealer quotation sheets on the relevant date or last trading day prior to the relevant date. R.R.O. 1990, Reg. 1015, s. 97 (1).
(2) The registrant may vary a value from that shown on published market reports or inter-dealer quotation sheets where, in light of all the circumstances, some other value would be more appropriate. R.R.O. 1990, Reg. 1015, s. 97 (2).
(3) The Director may require that a different value from that determined under subsection (1) or (2) be assigned, where in light of all the circumstances, some other value would be more appropriate. R.R.O. 1990, Reg. 1015, s. 97 (3).
(4) Where no published market report or inter-dealer quotation sheet exists with respect to the security, the security shall be assigned a market value of zero unless the Director agrees otherwise. R.R.O. 1990, Reg. 1015, s. 97 (4).
98. Every person or company that is required to register as a dealer shall be registered and classified into one or more of the following categories:
1. Broker, being a person or company that is registered to trade in securities in the capacity of an agent or principal, which person or company is a member of a stock exchange in Ontario recognized by the Commission.
2. Financial intermediary dealer, being a financial intermediary that is registered solely for the purpose of trading in securities in accordance with section 209.
3. Foreign dealer, being a person or a company that is registered solely for the purpose of trading in securities in accordance with section 210.
4. International dealer, being a person or company that is registered solely for the purpose of trading in securities in accordance with section 208.
5. Investment dealer, being a person or company that is a member, branch office member or associate member of the Ontario District of the Investment Dealers’ Association of Canada, which person or company engages in the business of trading in securities in the capacity of an agent or principal.
6. Limited market dealer, being a person or company that is registered solely for the purpose of trading in securities in accordance with Ontario Securities Commission Rule 31-503 Limited Market Dealers.
7. Mutual fund dealer, being a person or company that is registered solely for the purpose of trading in the shares or units of mutual funds.
8. Scholarship plan dealer, being a person or company that is registered solely for the purpose of trading in securities of a scholarship or educational plan or trust.
9. Securities dealer, being a person or company that is registered for trading in securities and engages in the business of trading in securities in the capacity of an agent or principal.
10. Security issuer, being an issuer that is registered for trading in securities for the purpose of distributing securities of its own issue solely for its own account. R.R.O. 1990, Reg. 1015, s. 98; O. Reg. 149/98, s. 1.
99. Every person or company that is required to register as an adviser shall be registered and classified into one or more of the following categories:
1. Financial advisers, being persons or companies that engage in or hold themselves out as engaging in the business of advising others as to investing in or the buying or selling of securities on a basis that does not require their classification in another category of adviser.
2. Investment counsel, being persons or companies that engage in or hold themselves out as engaging in the business of advising others as to the investing in or the buying or selling of specific securities or that are primarily engaged in giving continuous advice as to the investment of funds on the basis of the particular objectives of each client.
3. Portfolio managers, being persons or companies that are registered for the purpose of managing the investment portfolio of clients through discretionary authority granted by one or more clients.
4. Securities advisers, being persons or companies that hold themselves out as engaging in the business of advising others either through direct advice or through publications or writings, as to the investing in or the buying or selling of specific securities, not purporting to be tailored to the needs of specific clients.
5. International advisers (investment counsel, portfolio managers or securities advisers), being persons or companies that have registered under the Act in reliance on Ontario Securities Commission Rule 35-502 Non-Resident Advisers and that are,
i. investment counsel,
ii. investment counsel and portfolio managers, or
iii. securities advisers. R.R.O. 1990, Reg. 1015, s. 99; O. Reg. 601/00, s. 1.
100. (1) The registration of a mutual fund dealer, scholarship plan dealer or securities issuer authorizes the dealer or issuer to act as an underwriter for the sole purpose of distributing the securities that the dealer or issuer is registered to trade but not for any other purpose. O. Reg. 453/05, s. 3.
(2) The registration of a limited market dealer, international dealer or financial intermediary dealer authorizes the dealer to act as an underwriter for the sole purpose of making a distribution that the dealer is authorized to make by section 208 or 209 or Ontario Securities Commission Rule 31-503 Limited Market Dealers, as the case may be, but not for any other purpose. O. Reg. 453/05, s. 3.
101. (1) Where section 3.8 of National Instrument 45-106 Prospectus and Registration Exemptions applies and has been complied with, this Part as it relates to a portfolio manager does not apply to a broker or investment dealer acting as a portfolio manager. R.R.O. 1990, Reg. 1015, s. 101 (1); O. Reg. 491/05, s. 4.
(2) This Part applies to portfolio managers where they act as investment counsel. R.R.O. 1990, Reg. 1015, s. 101 (2).
(3) Subject to subsection (4), this Part does not apply to an international adviser (investment counsel, portfolio manager or securities adviser) except as provided in Ontario Securities Commission Rule 35-502 Non-Resident Advisers. O. Reg. 601/00, s. 2.
(4) Section 99 applies to an international adviser (investment counsel, portfolio manager or securities adviser). O. Reg. 601/00, s. 2.
Conditions of Registration — General
102. No registration or renewal of registration shall be granted unless the applicant has complied with the applicable requirements of this Regulation at the time of the granting of the registration or renewal of registration. R.R.O. 1990, Reg. 1015, s. 102.
103. Each registrant shall comply with the applicable requirements of this Regulation. R.R.O. 1990, Reg. 1015, s. 103.
104. (1) A registrant who is a registered dealer or adviser or a partner or officer of a registered dealer or adviser and who proposes to acquire, directly or indirectly, beneficial ownership of or control or direction over any security of another registered dealer or adviser shall give written notice of the proposed acquisition to the Director at least 30 days before the acquisition and shall provide with the notice all relevant facts to permit the Director to determine if the acquisition,
(a) is likely to give rise to conflicts of interest;
(b) is likely to hinder a registrant in complying with the conditions of registration applicable to it;
(c) is inconsistent with an adequate level of investor protection; or
(d) is otherwise prejudicial to the public interest. R.R.O. 1990, Reg. 1015, s. 104 (1); O. Reg. 453/05, s. 4 (1).
(2) If, within thirty days of the receipt of a notice under subsection (1), the Director gives a written notice of objection to the registrant, the registrant shall not make the acquisition until the Director approves it. R.R.O. 1990, Reg. 1015, s. 104 (2).
(3) The registrant, following receipt of a notice of objection under subsection (2), may request the Director to hold a hearing on the matter. R.R.O. 1990, Reg. 1015, s. 104 (3).
(4) Subsection (1) does not apply to,
(a) a partner or officer of a registered dealer or adviser who, alone or in combination with any other person or company, proposes to acquire securities that, together with the securities already beneficially owned or over which control or direction is already exercised, do not exceed more than 5 per cent of any class or series of securities of any other registered dealer or adviser that are listed and posted for trading on a stock exchange anywhere in the world;
(b) an acquisition by a financial intermediary dealer or its officers or an acquisition of securities of a financial intermediary dealer;
(c) an acquisition by an international dealer of securities of a dealer that is its only registered subsidiary; or
(d) an acquisition by a registered dealer in the ordinary course of its business of trading in securities. R.R.O. 1990, Reg. 1015, s. 104 (4); O. Reg. 453/05, s. 4 (2, 3).
105. The Commission may prescribe conditions of registration for a registrant or group of registrants that are in lieu of some or all of the conditions of registration prescribed in sections 108 to 123, sections 125 to 127 and sections 139 to 147, where it gives prior notice of the proposed conditions to registrants affected and affords the registrant an opportunity to be heard and the Commission publishes notice in a publication published by the Commission of each instance when it so prescribes. R.R.O. 1990, Reg. 1015, s. 105.
106. Every registered dealer that is a reporting issuer shall comply with the applicable conditions of registration under the Act and this Regulation. R.R.O. 1990, Reg. 1015, s. 106.
Conditions of Registration — Capital Requirements
107. (1) Subject to subsection (2), every dealer, other than a securities issuer, shall maintain a minimum free capital of the maximum amount, if any, that is deductible under any clause of the bonding or insurance policy required under section 108, plus the greater of,
(a) $25,000; and
(b) an amount equal to the sum of 10 per cent of the first $2,500,000 of adjusted liabilities, 8 per cent of the next $2,500,000 of adjusted liabilities, 7 per cent of the next $2,500,000 of adjusted liabilities, 6 per cent of the next $2,500,000 of adjusted liabilities and 5 per cent of adjusted liabilities in excess of $10,000,000. R.R.O. 1990, Reg. 1015, s. 107 (1).
(2) Every dealer, other than a securities issuer, who is also registered as a futures commission merchant under the Commodity Futures Act, shall maintain a minimum free capital of the maximum amount, if any, that is deductible under any clause of the bonding or insurance policy required under section 108 and under the corresponding provision under the Commodity Futures Act, plus the greater of,
(a) $75,000 of net free capital calculated in accordance with Form 9; and
(b) the amount calculated in accordance with clause 14 (1) (b) of Regulation 90 of the Revised Regulations of Ontario, 1990, subject to subsection 14 (2) thereof. R.R.O. 1990, Reg. 1015, s. 107 (2).
(3) Every adviser shall maintain a minimum free capital of the maximum amount, if any, that is deductible under any clause of the bonding or insurance policy required under section 108 plus $5,000 of working capital calculated in accordance with generally accepted accounting principles or such greater amount as the Director considers necessary where the adviser exercises control over clients’ funds or securities. R.R.O. 1990, Reg. 1015, s. 107 (3).
(4) Subsection (3) does not apply to an adviser who provides written or published advice if the adviser exercises no control over clients’ funds or securities and if no investment advice is or purports to be tailored to the needs of specific clients. R.R.O. 1990, Reg. 1015, s. 107 (4).
(5) Revoked: O. Reg. 453/05, s. 5.
(6) In clause (1) (a), $25,000 means,
(a) where it applies to a mutual fund dealer or a scholarship plan dealer, $25,000 of working capital calculated in accordance with generally accepted accounting principles; and
(b) where it applies to any other category of dealer other than a securities issuer, $25,000 of net free capital calculated in accordance with Form 9. R.R.O. 1990, Reg. 1015, s. 107 (6).
108. (1) Except where the Director is satisfied in a particular case that reduced or no coverage would not be prejudicial to the public interest, every dealer, other than a mutual fund dealer and a security issuer, shall maintain bonding or insurance, by means of a broker’s blanket bond on terms acceptable to the Director, in an amount of not less than $200,000, or such larger amount as is indicated to be necessary by the resolution referred to in subsection (4). R.R.O. 1990, Reg. 1015, s. 108 (1).
(2) Every mutual fund dealer shall maintain bonding or insurance, on terms acceptable to the Director,
(a) for employees in an amount not less than $50,000 for each employee, or such larger amount as is indicated to be necessary by the resolution referred to in subsection (4);
(b) for itself in an amount to be determined by the Director. R.R.O. 1990, Reg. 1015, s. 108 (2).
(3) Except where the Director is satisfied in a particular case that reduced or no coverage would not be prejudicial to the public interest, every security issuer and every adviser shall maintain bonding or insurance, on terms acceptable to the Director, in an amount of not less than $10,000, or such larger amount as is indicated to be necessary by the resolution referred to in subsection (4). R.R.O. 1990, Reg. 1015, s. 108 (3); O. Reg. 453/05, s. 6 (1).
(4) Every person or company applying for registration or renewal of registration as a dealer or adviser shall deliver to the Director, with the application, a certified copy of a resolution of its directors stating that full consideration has been given to the amount of bonding or insurance necessary to cover insurable risks in the business of the applicant and that either,
(a) the minimum amount of coverage required by this Regulation is sufficient; or
(b) the minimum amount of coverage required by this Regulation is not sufficient but that an indicated amount of coverage would be sufficient. R.R.O. 1990, Reg. 1015, s. 108 (4); O. Reg. 453/05, s. 6 (2).
(5) No registration or renewal of registration shall be granted where in the opinion of the Director the minimum amount of bonding or insurance required by this Regulation or, where a larger amount is indicated in a certified copy of a resolution referred to in subsection (4), the amount stated in the resolution, is not sufficient. R.R.O. 1990, Reg. 1015, s. 108 (5).
(6) The Director may exempt registrants who are members of a recognized self-regulatory organization referred to in section 21.1 of the Act or a recognized stock exchange from compliance with subsection (4) if the Director is satisfied that the registrant is subject to requirements imposed by that organization or exchange that provide at least equal protection for clients to the protection provided under subsection (4). O. Reg. 453/05, s. 6 (3).
109. Every registrant shall forthwith notify the Commission in writing of any change in, or claim made under, the provisions of any bond or insurance policy maintained pursuant to the requirements of this Part. R.R.O. 1990, Reg. 1015, s. 109.
110. (1) Every dealer, other than a security issuer, shall participate in a compensation fund or contingency trust fund approved by the Commission and established by,
(a) a recognized self-regulatory organization referred to in section 21.1 of the Act;
(b) a recognized stock exchange; or
(c) a trust corporation registered under the Loan and Trust Corporations Act. O. Reg. 453/05, s. 7.
(2) The Commission may vary the amount required to be contributed by any participant where in its opinion it would not be prejudicial to the public interest to do so, provided that the variation is published by the Commission in a publication published by it prior to the variation taking effect. R.R.O. 1990, Reg. 1015, s. 110 (2).
111. At the request of the Commission, a registrant shall enter into a subordination agreement in the form prescribed by the Commission. R.R.O. 1990, Reg. 1015, s. 111.
112. The financial statements and reports required under sections 139 to 142 shall be reported upon by a person, acceptable to the Commission, who is the auditor of the registrant or is an accountant eligible for appointment as the auditor. R.R.O. 1990, Reg. 1015, s. 112.
Conditions of Registration — Record Keeping
113. (1) Every registrant shall maintain books and records necessary to record properly its business transactions and financial affairs. R.R.O. 1990, Reg. 1015, s. 113 (1).
(2) All records may be kept by means of mechanical, electronic or other devices where such method of record keeping is not prohibited under other applicable legislation and the registrant,
(a) takes adequate precautions, appropriate to the means used, to guard against the risk of falsification of the information recorded; and
(b) provides a means for making the information available in an accurate and intelligible form within a reasonable time to any person lawfully entitled to examine the records. R.R.O. 1990, Reg. 1015, s. 113 (2).
(3) Without restricting the generality of subsection (1), a registrant shall maintain each of the following books and records that, in the opinion of the Director, are appropriate to its business:
1. Blotters, or other records of original entry, containing an itemized daily record of all purchases and sales of securities, all receipts and deliveries of securities, including certificate numbers, all receipts and disbursements of cash, all other debits and credits, the account for which each transaction was effected, the name of the securities, the class or designation of the securities, the number or value of the securities, the unit and aggregate purchase or sale price, if any, the trade date and the name or other designation of the person from whom the securities were purchased or received or to whom they were sold or delivered.
2. Ledgers or other records maintained in detail reflecting all the assets and liabilities, income and expense and capital accounts.
3. Ledger accounts or other records itemizing separately for each cash and margin account of every client, all purchases, sales, receipts, and deliveries of securities and commodities for the account and all other debits and credits to the account.
4. Ledgers or other records reflecting,
i. securities in transfer,
ii. dividends and interest received,
iii. securities borrowed and securities loaned,
iv. money borrowed and money loaned, together with a record of the collateral therefor and any substitutions in the collateral, and
v. securities which the registrant has failed to receive and failed to deliver.
5. A securities record or ledger showing separately for each security as of the trade date or settlement date all long and short positions, including securities in safekeeping, carried for the registrant’s account or for the account of clients, the location of all securities long and the position offsetting securities sold short and, in all cases, the name or designation of the account in which each position is carried.
6. An adequate record of each order and of any other instruction, which may be a copy of the order or instruction, given or received for the purchase or sale of securities, whether executed or unexecuted, showing,
i. the terms and conditions of the order or instruction and of any modification or cancellation of the order or instruction,
ii. the account to which the order or instruction relates,
iii. where the order or instruction is placed by an individual other than,
A. the person in whose name the account is operated, or
B. an individual duly authorized to place orders or instructions on behalf of a customer that is a company,
the name, sales number or designation of the individual placing the order or instruction,
iv. the time of the entry of the order or instruction, and, where the order is entered pursuant to the exercise of discretionary power of a registrant or any employee of a registrant, a statement to that effect,
v. the price at which the order or instruction was executed, and
vi. to the extent feasible, the time of execution or cancellation.
7. Copies of confirmations or other records of all purchases and sales of securities required by section 36 of the Act and copies of notices of all other debits and credits of securities, cash and other items for the accounts of clients.
8. Subject to section 1.5 of Ontario Securities Commission Rule 31-505 Conditions of Registration, a client record in respect of each cash and margin account containing,
i. the name and address of the beneficial owner and the guarantor, if any, of the account,
ii. where trading instructions are accepted from a person or company other than the client, written authorization or ratification from the client naming the person or company, and
iii. in the case of a margin account, a properly executed margin agreement containing the signature of the owner and the guarantor, if any, and the additional information obtained under section 115 of this Regulation and sections 1.2, 1.5 and 1.6 of Ontario Securities Commission Rule 31-505 Conditions of Registration,
but, in the case of a joint account or an account of a corporation, such records are required only in respect of the person or persons authorized to transact business for the account.
9. A record of all puts, calls, spreads, straddles and other options in which the registrant has any direct or indirect interest or which the registrant has granted or guaranteed, containing at least an identification of the security and the underlying security and the number of underlying securities to which the put, call, spread, straddle or other option relates.
10. A record of the proof of money balances of all ledger accounts in the form of trial balances and a record of a reasonable calculation of minimum free capital, adjusted liabilities and capital required, prepared for each month within a reasonable time after the month. R.R.O. 1990, Reg. 1015, s. 113 (3); O. Reg. 453/05, s. 8.
(4) Unless otherwise required by applicable legislation to be maintained for a longer period of time,
(a) records relating to unexecuted orders or instructions as prescribed in paragraph 6 of subsection (3) and confirmations prescribed in paragraph 7 of the said subsection (3), shall be maintained for a period of at least two years; and
(b) documents relating to executed orders or instructions as prescribed in paragraph 6 of subsection (3), shall be maintained for a period of at least five years and shall be retained in a readily accessible location for the first two years of that five-year period. R.R.O. 1990, Reg. 1015, s. 113 (4).
(5) Subject to subsection (6), every registrant shall maintain the situs of its books and records in Ontario. R.R.O. 1990, Reg. 1015, s. 113 (5).
(6) Where the head office of the registrant is not in Ontario, the registrant shall maintain in Ontario such books and records as are necessary to record properly its business transactions and financial affairs in Ontario. R.R.O. 1990, Reg. 1015, s. 113 (6).
Conditions of Registration — New Accounts and Supervision
114. Revoked: O. Reg. 1/99, s. 1.
115. (1) Every investment counsel shall maintain standards directed to ensuring fairness in the allocation of investment opportunities among the investment counsel’s clients and a copy of the policies established shall be furnished to each client and filed with the Commission. R.R.O. 1990, Reg. 1015, s. 115 (1).
(2) Every investment counsel shall charge clients directly for the investment counsel’s services and such charge may be based upon the dollar value of the client’s portfolio, but not on the value or volume of the transactions initiated for the client and, except with the written agreement of the client, shall not be contingent upon profits or performance. R.R.O. 1990, Reg. 1015, s. 115 (2).
(3) Subject to subsection (4), every investment counsel shall ensure that,
(a) the account of each client is supervised separate and distinct from other clients; and
(b) except in the case of mutual funds or pension funds, an order placed on behalf of one account is not pooled with that of another account. R.R.O. 1990, Reg. 1015, s. 115 (3).
(4) A portfolio manager shall ensure that the account of each client is supervised, separate and distinct from other clients but, subject to the by-laws of The Toronto Stock Exchange with respect to commission rate structure, an order placed on behalf of one account may be pooled with that of another account. R.R.O. 1990, Reg. 1015, s. 115 (4).
(5) Where there has been a material change in the ownership or control of the investment counsel or where it is proposed that an investment counsel sell or assign the account of a client in whole or in part to another registrant, the investment counsel shall, prior to such sale or assignment and immediately after such material change, give a written explanation to the client of the proposal or change and shall inform the client of the client’s right to withdraw the client’s account. R.R.O. 1990, Reg. 1015, s. 115 (5).
(6) No purchase or sale of any security in which an investment counsel or any partner, officer or associate of an investment counsel has a direct or indirect beneficial interest shall be made from or to any portfolio managed or supervised by the investment counsel. R.R.O. 1990, Reg. 1015, s. 115 (6).
(7) Subsection (6) does not apply in the case of an investment counsel who is acting as a portfolio manager of an investment fund, with respect to a purchase or sale of a security referred to in subsection 6.1 (2) of National Instrument 81-107 Independent Review Committee for Investment Funds if the purchase or sale is made in accordance with that subsection. O. Reg. 500/06, s. 1.
Conditions of Registration — Segregation of Funds and Securities
116. (1) Securities that are held by a registrant for a client pursuant to a written safekeeping agreement and that are unencumbered shall be kept apart from all other securities and be identified as being held in safekeeping for a client in the registrant’s security position record, client’s ledger and statement of account. R.R.O. 1990, Reg. 1015, s. 116 (1).
(2) Securities held under subsection (1) may be released only on an instruction from the client and not solely because the client has become indebted to the registrant. R.R.O. 1990, Reg. 1015, s. 116 (2).
117. (1) Securities held by a registrant for a client that are unencumbered and that are either fully paid for or are excess margin securities but that are not held pursuant to a written safekeeping agreement shall be,
(a) segregated and identified as being held in trust for the client; and
(b) described as being held in segregation on the registrant’s security position record, client’s ledger and statement of account. R.R.O. 1990, Reg. 1015, s. 117 (1).
(2) Segregated securities may be used by the registrant, by sale or loan, whenever a client becomes indebted to a registrant but only to the extent reasonably necessary to cover the indebtedness. R.R.O. 1990, Reg. 1015, s. 117 (2).
(3) Bulk segregation of securities described in subsection (1) is permissible. R.R.O. 1990, Reg. 1015, s. 117 (3).
118. Clients’ free credit balances, where satisfactory arrangements concerning bonding or insurance have not been made and approved by the Commission, shall be deposited in a client’s trust account and properly identified forthwith upon their receipt by the registrant. R.R.O. 1990, Reg. 1015, s. 118.
119. Subscriptions or prepayments held pending investment by mutual fund dealers, securities advisers or investment counsel shall be segregated in a trust account and not commingled with the assets of the dealer, adviser or counsel. R.R.O. 1990, Reg. 1015, s. 119.
120. (1) Where a registrant maintains a securities account and a commodity futures account for the same client and where the securities account contains a free credit balance and the commodity futures account contains a debit balance of $5,000 or more, the registrant shall transfer to the commodity futures account as much of the free credit balance in the securities account as is necessary to eliminate or, if the free credit balance is less than the debit balance, to reduce to the greatest extent possible the debit balance in the commodity futures account. R.R.O. 1990, Reg. 1015, s. 120 (1).
(2) Subsection (1) does not apply to a registrant in respect of a client’s securities and commodity futures accounts where the client has directed the registrant, in writing or orally, if subsequently confirmed in writing,
(a) to transfer an amount that is less than the amount otherwise required to be transferred under that subsection; or
(b) not to transfer any amount,
from the securities account to the commodity futures account. R.R.O. 1990, Reg. 1015, s. 120 (2).
(3) For the purposes of this section, “free credit balance” does not include money in a client’s securities account that is committed to be used on a specific settlement date as payment for securities where the registrant who maintains the securities account prepares financial statements on a settlement date basis. R.R.O. 1990, Reg. 1015, s. 120 (3).
121. A registrant who maintains a securities account and a commodity futures account for the same client may make a transfer of any amount of a free credit balance from the securities account to the commodity futures account of the client if,
(a) the transfer is made in accordance with a written agreement between the registrant and the client; and
(b) the transfer is not a transfer referred to in section 120. R.R.O. 1990, Reg. 1015, s. 121.
122. The Director may exempt registrants who are members of the Ontario District of the Investment Dealers’ Association of Canada or The Toronto Stock Exchange from compliance with sections 115 to 121 where the Director is satisfied that the registrant is subject to requirements imposed by one or both of those organizations that provide protection for clients at least equal to that under the said sections 116 to 121. R.R.O. 1990, Reg. 1015, s. 122.
Conditions of Registration — Statements of Account and Portfolio
123. (1) Subject to subsection (5), a dealer shall send a statement of account to each client at the end of each month in which the client has effected a transaction, where there is a debit or credit balance or securities held. R.R.O. 1990, Reg. 1015, s. 123 (1).
(2) Subject to subsection (5), where a client has not effected a transaction but there are either funds or securities held by the dealer on a continuing basis, the dealer shall forward a statement of account to the client showing any debit or credit balance and the details of any securities held or owned not less than once every three months. R.R.O. 1990, Reg. 1015, s. 123 (2).
(3) The Director may vary subsections (1) and (2) as they apply to any dealer. R.R.O. 1990, Reg. 1015, s. 123 (3).
(4) The statements required by subsections (1) and (2) must list the securities held for the client and indicate clearly which securities are held for safekeeping or in segregation. R.R.O. 1990, Reg. 1015, s. 123 (4).
(5) A mutual fund dealer is not required to comply with subsections (1) and (2) where a statement of account is sent to each client not less frequently than once every twelve months, showing the number and market value at the date of purchase or redemption of securities purchased or redeemed during the period since the date of the last statement sent under this subsection and showing the total market value of all securities of the mutual fund held by the client at the date of the statement. R.R.O. 1990, Reg. 1015, s. 123 (5).
(6) Except where the client has expressly directed otherwise, every portfolio manager shall send to each client not less than once every three months, a statement of the portfolio of such client under the portfolio manager’s management. R.R.O. 1990, Reg. 1015, s. 123 (6).
Conditions of Registration — Proficiency Requirements
124. Revoked: O. Reg. 468/00, s. 2.
125. Revoked: O. Reg. 1/99, s. 1.
126. Revoked: O. Reg. 468/00, s. 3.
127. (1) Subject to subsection (2), no individual shall be granted registration or renewal of registration as a salesperson unless the individual is employed full-time as a salesperson. R.R.O. 1990, Reg. 1015, s. 127 (1).
(2) Subsection (1) does not apply to an individual granted registration or renewal of registration where,
(a) the individual is a part-time student enrolled in a business, commercial or financial course;
(b) the individual is a full-time student enrolled in a business, commercial or financial course and satisfies the Director that he or she has a present intention of continuing a career in the investment business;
(c) the individual is otherwise employed for six months or less during the calendar year and while so employed is not employed as a salesperson;
(d) the individual is carrying on a hobby, recreational or cultural activity which in the opinion of the Director will not interfere with the individual’s duties and responsibilities as a salesperson;
(e) in the case of a salesperson employed by a mutual fund dealer, the area in which the individual is to be employed is in the opinion of the Director so remote and sparsely populated that full-time employment as a salesperson is not economically feasible;
(f) the individual holds a licence as an insurance agent under the Insurance Act or a licence as an investment contract sales agent under the Investment Contracts Act and is in the employ or under the sponsorship of the dealer who proposes to employ the individual;
(g) with the written consent of the dealer employing the individual and the Director, the individual is employed outside normal working hours and there is no conflict of interest arising from the individual’s duties as a salesperson and the individual’s outside employment;
(h) the individual is carrying on an activity which in the opinion of the Director and the employer will not in the circumstances interfere with his or her duties and responsibility as a salesperson and there is no conflict of interest arising from the individual’s duties as a salesperson and his or her outside activity; or
(i) the individual is registered under the Commodity Futures Act. R.R.O. 1990, Reg. 1015, s. 127 (2).
128. Revoked: O. Reg. 393/01, s. 1.
129. Revoked: O. Reg. 16/03, s. 1.
130. (1) Subject to subsections (2) and (2.1) and except as otherwise provided in Ontario Securities Commission Rule 31-502 Proficiency Requirements for Registrants, every registration and renewal of registration is suspended at the end of the day preceding the first anniversary of the granting of the registration or renewal of registration, as the case may be. R.R.O. 1990, Reg. 1015, s. 130 (1); O. Reg. 249/92, s. 3 (1); O. Reg. 468/00, s. 4.
(2) The registration or renewal of registration of every salesperson, partner and officer of a registered dealer is suspended at the same time as the registration or renewal of registration of the registered dealer is suspended. R.R.O. 1990, Reg. 1015, s. 130 (2).
(2.1) In the event of an amalgamation or merger of two or more registrants, the registration or renewal of registration of the successor registrant is suspended at the end of the day preceding the first anniversary of the latest of the dates on which registration or renewal of registration was granted to each of the predecessor registrants. O. Reg. 249/92, s. 3 (2).
(3) Every application for renewal of registration shall be filed no later than thirty days before the date on which the registration or renewal of registration is suspended. R.R.O. 1990, Reg. 1015, s. 130 (3).
131. (1) Subject to subsection (2), the registration of a registered dealer, salesperson, partner or officer that is suspended under section 130 expires on the second anniversary of the suspension unless, in the interim, an application for renewal satisfactory to the Director is filed. R.R.O. 1990, Reg. 1015, s. 131 (1).
(2) Where a hearing is commenced under section 27 of the Act, the registration of the registered dealer, salesperson, partner or officer that has been suspended under section 130 continues in suspension until a decision has been made by the Commission. R.R.O. 1990, Reg. 1015, s. 131 (2).
132. (1) Unless the Director permits or requires otherwise, and, subject to subsection (2), every application for renewal of registration as a dealer or adviser shall be by way of a letter filed with the Director requesting renewal of registration. R.R.O. 1990, Reg. 1015, s. 132 (1); O. Reg. 453/05, s. 9.
(2) Subject to subsection (3), where the information filed by the applicant in the last application for registration has changed and particulars of such change have not been filed with the Commission as an application for amendment or renewal of registration, an application for renewal of registration shall be prepared in accordance with Form 5. R.R.O. 1990, Reg. 1015, s. 132 (2).
(3) Where the information that has changed is that required in an exhibit required by clause (b) of Item 10 of Form 3 and is for a person in respect of whom a similar exhibit has been filed by the applicant with a Securities Commission or Administrator in a province or territory of Canada in which the principal office of the applicant is situate, the exhibit is not required for the person, where the full name of the person and the place that the exhibit has been so filed are stated. R.R.O. 1990, Reg. 1015, s. 132 (3).
133. (1) Unless the Director permits or requires otherwise, and subject to subsection (2), an application for renewal of registration as a salesperson shall be by way of letter filed with the Director requesting renewal of registration. R.R.O. 1990, Reg. 1015, s. 133 (1).
(2) Where the information filed by the applicant in the last application for registration has changed and particulars of such change have not been filed with the Commission as an application for amendment or renewal of registration, an application for renewal of registration shall be prepared in accordance with Form 6. R.R.O. 1990, Reg. 1015, s. 133 (2).
134. A summons for an examination under section 31 of the Act shall be in Form 8. R.R.O. 1990, Reg. 1015, s. 134.
135. Revoked: O. Reg. 453/05, s. 10.
136. Revoked: O. Reg. 16/03, s. 3.
137. Revoked: O. Reg. 453/05, s. 10.
138. Revoked: O. Reg. 453/05, s. 10.
Reporting to Ontario Securities Commission
139. Every mutual fund dealer who is not a member in good standing of a self-regulatory organization that is recognized by the Commission under section 21.1 of the Act, every adviser and every scholarship plan dealer shall deliver to the Commission, not more than 90 days after the end of each financial year of the dealer or adviser, a copy of its financial statements for the year. O. Reg. 453/05, s. 11.
140. The financial statements required to be delivered under section 139 shall include,
(a) an income statement, a statement of surplus and a statement of changes in financial position, each for the financial year; and
(b) a balance sheet as at the end of the financial year, signed by one director of the registrant. R.R.O. 1990, Reg. 1015, s. 140.
141. Every mutual fund dealer who is not a member in good standing of a self-regulatory organization that is recognized by the Commission under section 21.1 of the Act and every scholarship plan dealer shall deliver a report prepared in accordance with Statement C of Form 9 to the Commission not more than 90 days after the end of each financial year of the dealer. O. Reg. 453/05, s. 12.
142. Every securities dealer who is not a member in good standing of a self-regulatory organization that is recognized by the Commission under section 21.1 of the Act shall deliver a report prepared in accordance with Form 9 to the Commission not more than 90 days after the end of each financial year of the dealer. O. Reg. 453/05, s. 12.
143. Form 10 may be used as a guideline for the purpose of assisting in the auditing of the financial statements of a portfolio manager. R.R.O. 1990, Reg. 1015, s. 143.
144. The report required by section 142 shall be audited in accordance with generally accepted auditing standards and the audit requirements published by the Commission. R.R.O. 1990, Reg. 1015, s. 144.
145. (1) Every registrant that is not a member in good standing of a self-regulatory organization that is recognized by the Commission under section 21.1 of the Act or a recognized stock exchange shall issue a direction to its auditor instructing the auditor to conduct any audit requested by the Commission or the Director during its registration and shall deliver a copy of the direction to the Commission,
(a) with its application for registration; and
(b) immediately after the registrant changes its auditor. R.R.O. 1990, Reg. 1015, s. 145 (1); O. Reg. 453/05, s. 13.
(2) Where the Commission or the Director requests an auditor to conduct an audit of the financial affairs of a registrant in accordance with a direction referred to in subsection (1), all fees related to the audit shall be paid by the registrant. R.R.O. 1990, Reg. 1015, s. 145 (2).
146. Every audit under section 21.10 of the Act shall satisfy the audit requirements published by the Commission, in addition to the requirements in that section, and in the event of a conflict, the requirements of section 21.10 prevail. O. Reg. 453/05, s. 14.
147. (1) Revoked: O. Reg. 453/05, s. 15 (1).
(2) No registrant shall withhold, destroy or conceal any information or documents or otherwise fail to cooperate with a reasonable request made by an auditor of a registrant in the course of an audit under section 21.10 of the Act. R.R.O. 1990, Reg. 1015, s. 147 (2); O. Reg. 453/05, s. 15 (2).
148. Revoked: O. Reg. 491/05, s. 6.
149. Revoked: O. Reg. 424/01, s. 1.
150., 151. Revoked: O. Reg. 491/05, s. 7.
PART VI 
  OVER-THE-COUNTER TRADING
152. In this Part,
“approved market-maker” means a registered dealer who is approved under this Regulation to act as a market-maker in a security;
“COATS security” means,
(a) a share of a company,
(b) a right or warrant, but not an option, to purchase a share of a company, or
(c) any combination of a share of a company and a right or warrant, but not an option, to purchase a share of a company,
but does not include,
(d) a security of a private issuer as defined in subsection 2.4 (1) of National Instrument 45-106 Prospectus and Registration Exemptions,
(d.1) a security that, under subsection 2.13 (1), 2.20 (1), 2.21 (1), 2.34 (2), 2.35 (1), 2.36 (2), 2.37 (1) or 2.38 (1) of National Instrument 45-106 Prospectus and Registration Exemptions, is exempt from registration,
(d.2) a security that, under subsection 2.4 (1), 2.5 (1) or 2.6 (1) or (2) of Ontario Securities Commission Rule 45-501 Ontario Prospectus and Registration Exemptions, is exempt from registration, or
(d.3) Revoked: O. Reg. 491/05, s. 8 (3).
(e) a security that is traded on a marketplace as defined in National Instrument 21-101 Marketplace Operation;
“COAT System” means the system developed for trading in the over-the-counter market and known as the Canadian Over-the-Counter Automated Trading System. R.R.O. 1990, Reg. 1015, s. 152; O. Reg. 393/01, s. 2; O. Reg. 424/01, s. 2; O. Reg. 491/05, s. 8.
153. The Commission, itself or through an agent, shall operate the COAT System and for such purpose it shall develop computer software and provide and operate computer facilities. R.R.O. 1990, Reg. 1015, s. 153.
154. (1) Every purchase or sale in Ontario of a COATS security made by a registered dealer, as principal or agent, shall be reported on the COAT System except a trade that is,
(a) made through the facilities of a stock exchange or other organized market recognized by the Commission for the purpose of this Part;
(b) a distribution by or on behalf of an issuer; or
(c) a trade made in reliance on an exemption set out in section 2.3, 2.7, 2.8, 2.10 or 2.15 of National Instrument 45-106 Prospectus and Registration Exemptions. R.R.O. 1990, Reg. 1015, s. 154 (1); O. Reg. 424/01, s. 3; O. Reg. 491/05, s. 9.
(2) Every purchase or sale in a COATS security that is required to be reported under subsection (1) shall be reported on the COAT System in accordance with the following provisions:
1. The registered dealer, if any, through or by whom the sale is made shall report the trade.
2. Where the sale is not made by or through a registered dealer, the registered dealer by or through whom the purchase is made shall report the trade.
3. The report shall be made in accordance with the requirements of the COAT System. R.R.O. 1990, Reg. 1015, s. 154 (2).
155. (1) A registered dealer, other than a security issuer, mutual fund dealer or scholarship plan dealer, may apply to the Director for approval to act as a market-maker in a COATS security of a class that trades in Ontario. R.R.O. 1990, Reg. 1015, s. 155 (1).
(2) An application for approval to act as a market-maker in a security shall be in Form 41 and shall be filed with the Director. R.R.O. 1990, Reg. 1015, s. 155 (2).
156. (1) A registered dealer shall not post quotations for a security on the COAT System,
(a) unless the dealer has been approved by the Director to act as a market-maker in the security;
(b) until the day and time set out in the Director’s approval; and
(c) unless the Director has determined that it is not contrary to the public interest for the security to be quoted on the COAT System. R.R.O. 1990, Reg. 1015, s. 156 (1).
(2) Once an approved market-maker has posted a quotation on the COAT System with respect to a security, the market-maker, so long as it is an approved market-maker in the security, shall make continuous and uninterrupted quotations with respect to the security from 9.30 a.m. to 5.00 p.m. on any day that is not a Saturday or holiday and, where it does not make continuous and uninterrupted quotes, it shall be deemed to have ceased being an approved market-maker in the security. R.R.O. 1990, Reg. 1015, s. 156 (2).
(3) An approved market-maker shall not quote an ask price for a security on the COAT System unless a bid price for the security is also quoted by the market-maker. R.R.O. 1990, Reg. 1015, s. 156 (3).
157. The Director may direct registered dealers to discontinue quoting or trading, or both, in a security in which a trade would be reportable on the COAT System in order to assist in the dissemination of information and to re-establish orderly trading. R.R.O. 1990, Reg. 1015, s. 157.
158. Every registered dealer shall pay the applicable COAT System fees. R.R.O. 1990, Reg. 1015, s. 158.
159. (1) The forms, fees and other requirements of the Commission’s agent in the operation of the COAT System, including the fees charged to commercial vendors of information for information reported thereon, are subject to the approval of the Commission and the forms, fees and other requirements, and any amendment to any of them, shall be published by the Commission in the month following the approval. R.R.O. 1990, Reg. 1015, s. 159 (1).
(2) The Commission may inspect all books, documents, correspondence and other records of any description maintained in relation to the COAT System by a registered dealer and by the Commission’s agent. R.R.O. 1990, Reg. 1015, s. 159 (2).
PART VII 
  ONTARIO SECURITIES COMMISSION PROCEDURE AND RELATED MATTERS
160. The endorsement of a warrant by a provincial judge or justice of Ontario provided for by section 125 of the Act shall be in accordance with Form 39. R.R.O. 1990, Reg. 1015, s. 160; O. Reg. 80/95, s. 14; O. Reg. 56/04, s. 6.
Execution and Certification of Documents
161. Except as otherwise provided in the Act, section 11, 174 or 181 of this Regulation, Ontario Securities Commission Rule 55-502 Facsimile Filing or Delivery of Section 109 Reports, National Instrument 55-102 System for Electronic Disclosure by Insiders (SEDI) or National Instrument 71-102 Continuous Disclosure and Other Exemptions Relating to Foreign Issuers,
(a) every document required or permitted to be filed with the Commission by an individual that is required to be signed or certified shall be manually signed and shall include below the signature the name of the individual in typewritten or printed form;
(b) subject to clause (c) every document required or permitted to be filed with the Commission by a company or person, other than an individual, that is required to be signed or certified, shall be manually signed by an officer or director of the company or person or, subject to clause (d), by the attorney or agent of such person or company and shall include below the signature the name of the officer, director, attorney or agent in a typewritten or printed form;
(c) where a partner signs or certifies on behalf of a professional partnership, the partner is not required to sign his or her name but if an individual other than a partner signs or certifies, the individual shall sign his or her name manually and the name of the individual shall be included below his or her signature in typewritten or printed form; and
(d) where a document required or permitted to be filed with the Commission by an individual, company or person has been executed by an attorney or agent of the individual, company or person, a duly completed power of attorney or document of authority authorizing the signing of the document shall be filed with the document unless the Director permits the filing of the document without the power of attorney or document of authority. R.R.O. 1990, Reg. 1015, s. 161; O. Reg. 80/95, s. 15; O. Reg. 166/98, s. 1; O. Reg. 388/01, s. 1; O. Reg. 57/04, s. 1.
162. (1) Revoked: O. Reg. 165/98, s. 1.
(2) Where any material that is filed is not prepared in accordance with the Act or this Regulation, the Director may, or the Commission may require the Director to, return the material to the person or company that is required to comply with the provisions. R.R.O. 1990, Reg. 1015, s. 162 (2).
(3) Where any material is returned to a person or company under subsection (2), the fee paid upon the filing of the material shall not be refunded without the consent of the Commission. R.R.O. 1990, Reg. 1015, s. 162 (3).
163. The following practices and procedures apply to investigations conducted under the Act:
1. Every summons issued by a person under subsection 11 (4) or section 13 of the Act shall be served personally on the individual summoned who shall be paid the like fees and allowances for his or her attendance before the person as are paid for the attendance of a witness summoned to attend before the Supreme Court.
2. Every summons to a witness to appear before a person appointed to make an investigation under section 11 or 13 of the Act shall be in Form 1.
3. The service of a summons on a witness, the payment or tender of fees and allowances to the witness and the service of a notice on a witness may be proved by an affidavit in Form 2. R.R.O. 1990, Reg. 1015, s. 163.
164. The disclosure required by section 40 of the Act with respect to a person or company that would be an insider of the adviser if the adviser were a reporting issuer is required only where such person or company participates in the formulation of, or has access prior to implementation to, investment decisions made on behalf of or the advice given to clients of the adviser. R.R.O. 1990, Reg. 1015, s. 164.
165. Revoked: O. Reg. 13/96, s. 1.
166. Despite subsection 107 (1) of the Act, a person or company is not required to file a report on becoming an insider of an issuer where the person or company does not own or exercise control or direction over securities of the issuer. R.R.O. 1990, Reg. 1015, s. 166.
167. Every report required to be filed under section 108 of the Act shall be filed within ten days of the date of the transfer. R.R.O. 1990, Reg. 1015, s. 167.
168. Every report required to be filed under section 109 of the Act shall be prepared in accordance with Form 37. R.R.O. 1990, Reg. 1015, s. 168.
169. Every report required to be filed under section 117 of the Act shall be prepared in accordance with Form 38. R.R.O. 1990, Reg. 1015, s. 169.
170. For the purposes of section 107 of the Act,
(a) a report filed by a company that includes securities beneficially owned or deemed to be beneficially owned by an affiliate or which includes changes in the affiliate’s beneficial ownership or deemed beneficial ownership of the securities shall be deemed to be a report filed by the affiliate and the affiliate need not file a separate report; or
(b) a report filed by a person that includes the securities beneficially owned or deemed to be beneficially owned by a company controlled by the person or by an affiliate of the controlled company or that includes changes in the controlled company’s or affiliate’s beneficial ownership or deemed beneficial ownership of the securities shall be deemed to be a report filed by the controlled company or affiliate and the controlled company and affiliate need not file a separate report. R.R.O. 1990, Reg. 1015, s. 170.
171. (1) Where there are one or more executors, administrators or other personal representatives of an estate, referred to in this section as an executor, the reporting requirements of this Part shall be deemed to be satisfied as they apply to,
(a) a co-executor; and
(b) the directors and senior officers of an executor or co-executor,
where the applicable report is filed by a co-executor or by the executor in respect of securities owned by the estate. R.R.O. 1990, Reg. 1015, s. 171 (1).
(2) Subsection (1) only applies to reporting requirements that arise solely from the capacity of co-executor or director or senior officer of an executor or co-executor. R.R.O. 1990, Reg. 1015, s. 171 (2).
172. Revoked: O. Reg. 126/01, s. 1.
173. (1) A person or company that is required under this Part and under Part XXI of the Act to file a report prepared in accordance with Form 36 shall be deemed to have complied with such requirements if a report prepared in accordance with Form 55-102 F6 (made under National Instrument 55-102 System for Electronic Disclosure by Insiders (SEDI)) is filed in a Canadian jurisdiction other than Ontario with a securities commission or other agent that has been designated by the Commission for the purpose of accepting such filings. R.R.O. 1990, Reg. 1015, s. 173; O. Reg. 388/01, s. 2 (1).
(2) This section does not apply to insiders who are required by National Instrument 55-102 System for Electronic Disclosure by Insiders (SEDI) to file the report in electronic format. O. Reg. 388/01, s. 2 (2).
174. (1) A report prepared in accordance with Form 55-102 F6 (made under National Instrument 55-102 System for Electronic Disclosure by Insiders (SEDI)) that is filed with the Commission may contain the facsimile signature of the individual, officer, director, agent or attorney required to sign the form, if an original manually signed copy is filed concurrently with a securities commission in Canada designated by the Commission for the purpose of accepting such filings. R.R.O. 1990, Reg. 1015, s. 174; O. Reg. 388/01, s. 3 (1).
(2) This section does not apply to insiders who are required by National Instrument 55-102 System for Electronic Disclosure by Insiders (SEDI) to file the report in electronic format. O. Reg. 388/01, s. 3 (2).
175. (1) A person or company that purchases or sells securities of a reporting issuer with knowledge of a material fact or material change with respect to the reporting issuer that has not been generally disclosed is exempt from subsection 76 (1) of the Act and from liability under section 134 of the Act, where the person or company proves that,
(a) no director, officer, partner, employee or agent of the person or company who made or participated in making the decision to purchase or sell the securities of the reporting issuer had actual knowledge of the material fact or material change; and
(b) no advice was given with respect to the purchase or sale of the securities to the director, officer, partner, employee or agent of the person or company who made or participated in making the decision to purchase or sell the securities by a director, partner, officer, employee or agent of the person or company who had actual knowledge of the material fact or the material change,
but this exemption is not available to an individual who had actual knowledge of the material fact or change. R.R.O. 1990, Reg. 1015, s. 175 (1).
(2) A person or company that purchases or sells securities of a reporting issuer with knowledge of a material fact or material change with respect to the reporting issuer that has not been generally disclosed is exempt from subsection 76 (1) of the Act and from liability under section 134 of the Act, where the person or company proves that,
(a) the purchase or sale was entered into as agent of another person or company pursuant to a specific unsolicited order from that other person or company to purchase or sell;
(b) the purchase or sale was made pursuant to participation in an automatic dividend reinvestment plan, share purchase plan or other similar automatic plan that was entered into by the person or company prior to the acquisition of knowledge of the material fact or material change; or
(c) the purchase or sale was made to fulfil a legally binding obligation entered into by the person or company prior to the acquisition of knowledge of the material fact or material change. R.R.O. 1990, Reg. 1015, s. 175 (2).
(3) In determining whether a person or company has sustained the burden of proof under subsection (1), it shall be relevant whether and to what extent the person or company has implemented and maintained reasonable policies and procedures to prevent contraventions of subsection 76 (1) of the Act by persons making or influencing investment decisions on its behalf and to prevent transmission of information concerning a material fact or material change contrary to subsection 76 (2) or (3) of the Act. R.R.O. 1990, Reg. 1015, s. 175 (3).
(4) A person or company who purchases or sells a security of a reporting issuer as agent or trustee for a person or company who is exempt from subsection 76 (1) of the Act and from liability under section 134 of the Act by reason of clause (2) (b) or (c), is also exempt from subsection 76 (1) of the Act and from liability under section 134 of the Act. R.R.O. 1990, Reg. 1015, s. 175 (4).
(5) A person or company is exempt from subsections 76 (1), (2) and (3) of the Act where the person or company proves that such person or company reasonably believed that,
(a) the other party to a purchase or sale of securities; or
(b) the person or company informed of the material fact or material change,
as the case may be, had knowledge of the material fact or material change. R.R.O. 1990, Reg. 1015, s. 175 (5).
Part IX (ss. 176-181) Revoked: O. Reg. 215/05, s. 6.
PART X 
  TAKE-OVER BIDS AND ISSUER BIDS
182. Revoked: O. Reg. 222/00, s. 1.
183. (1) For the purposes of Part XX of the Act, “market price” of a class of securities, as to which there is a published market, at any date, is an amount equal to the simple average of the closing price of securities of that class for each of the business days on which there was a closing price falling not more than twenty business days before that date. R.R.O. 1990, Reg. 1015, s. 183 (1).
(2) Where a published market does not provide a closing price, but provides only the highest and lowest prices of securities traded on a particular day, the market price of the securities, at any date, is an amount equal to the average of the simple averages of the highest and lowest prices for each of the business days on which there were highest and lowest prices falling not more than twenty business days before that date. R.R.O. 1990, Reg. 1015, s. 183 (2).
(3) Where there is more than one published market for a security, the market price for the purposes of subsections (1) and (2) shall be determined as follows:
1. If only one of the published markets is in Canada, the market price shall be determined solely by reference to that market.
2. If there is more than one published market in Canada, the market price shall be determined solely by reference to the published market in Canada on which the greatest volume of trading in the particular class of securities occurred during the twenty business days preceding the date as of which the market price is being determined.
3. If there is no published market in Canada, the market price shall be determined solely by reference to the published market on which the greatest volume of trading in the particular class of securities occurred during the twenty business days preceding the date as of which the market price is being determined. R.R.O. 1990, Reg. 1015, s. 183 (3).
(4) Where there has been trading of securities in a published market for fewer than ten of the twenty business days preceding the date as of which the market price of the securities is being determined, the market price shall be the average of the following prices established for each of the twenty business days preceding that date,
(a) the average of the bid and ask prices for each day on which there was no trading; and
(b) the closing price of securities of the class for each day that there has been trading, if the published market provides a closing price; or
(c) the average of the highest and lowest prices of securities of that class for each day that there has been trading, if the published market provides only the highest and lowest prices of securities traded on a particular day. R.R.O. 1990, Reg. 1015, s. 183 (4).
(5) Despite subsection (1), (2), (3) or (4), for the purposes of clause 93 (1) (b) of the Act, where an offeror acquires securities on a published market, the market price for those securities shall be the price of the last board lot of securities of that class purchased, before the acquisition by the offeror, by a person or company that was not acting jointly or in concert with the offeror. R.R.O. 1990, Reg. 1015, s. 183 (5).
Note: On February 1, 2008, section 183 is revoked. See: O. Reg. 589/07, ss. 2, 5.
184. A take-over bid is exempt from sections 95 to 100 of the Act for securities in respect of which there is no published market if,
(a) purchases are made from not more than five persons or companies in the aggregate, including persons or companies outside of Ontario; and
(b) the bid is not made generally to security holders of the class of securities that is the subject of the bid. R.R.O. 1990, Reg. 1015, s. 184.
Note: On February 1, 2008, section 184 is revoked. See: O. Reg. 589/07, ss. 2, 5.
185. (1) Subsection 94 (2) of the Act is not applicable to an agreement between a security holder and an offeror to the effect that the security holder will tender the security holder’s securities to a formal take-over bid made by the offeror in accordance with the terms and conditions of the bid. R.R.O. 1990, Reg. 1015, s. 185 (1).
(2) Subsection 94 (8) of the Act does not apply to prohibit the issue of securities by an issuer pursuant to a stock dividend plan, dividend reinvestment plan, employees’ stock purchase plan or other similar plan, even though the issuer is making an issuer bid. R.R.O. 1990, Reg. 1015, s. 185 (2).
(3) For the purpose of clause 94 (1) (c) of the Act, an associate of a security holder referred to in that clause does not include a person or company who is not acting jointly or in concert with the security holder. R.R.O. 1990, Reg. 1015, s. 185 (3).
Note: On February 1, 2008, section 185 is revoked. See: O. Reg. 589/07, ss. 2, 5.
186. Subsection 94 (5) of the Act does not apply so as to affect the consideration offered or the number of securities offered to be acquired under a formal take-over bid where the prior transaction was an acquisition pursuant to a distribution as defined in clause (a) or (b) of the definition of “distribution” in subsection 1 (1) of the Act. R.R.O. 1990, Reg. 1015, s. 186.
Note: On February 1, 2008, section 186 is revoked. See: O. Reg. 589/07, ss. 2, 5.
187. (1) A notice of intention to make an issuer bid as required by clause 93 (3) (f) of the Act shall contain the information prescribed in Form 31. R.R.O. 1990, Reg. 1015, s. 187 (1).
(2) A notice of intention referred to in subsection (1) shall be filed and a press release in respect thereof issued at least five days before the commencement of the issuer bid. R.R.O. 1990, Reg. 1015, s. 187 (2).
Note: On February 1, 2008, section 187 is revoked. See: O. Reg. 589/07, ss. 2, 5.
188. A press release that is required by clause 94 (3) (c) of the Act shall disclose in respect of the class of securities subject to the bid and each class of securities convertible into securities of that class purchased through the facilities of the stock exchange,
(a) the name of the purchaser;
(b) where the purchaser is a person or company referred to in clause 94 (1) (b) or (c) of the Act, the relationship of the purchaser and the offeror;
(c) the number of securities purchased by the purchaser on that day;
(d) the highest price paid for the securities by the purchaser on that day;
(e) the aggregate number of securities purchased through the facilities of the stock exchange by the purchaser during the currency of the bid;
(f) the average price paid for the securities that were purchased by the purchaser through the facilities of the stock exchange during the currency of the bid; and
(g) the total number of securities owned by the purchaser as of the close of business of the stock exchange on that day. R.R.O. 1990, Reg. 1015, s. 188.
Note: On February 1, 2008, section 188 is revoked. See: O. Reg. 589/07, ss. 2, 5.
189. Except as otherwise provided in National Instrument 71-101 The Multijurisdictional Disclosure System and in Ontario Securities Commission Rule 71-801 The Multijurisdictional Disclosure System,
(a) a take-over bid circular shall contain the information prescribed in Form 32;
(b) an issuer bid circular shall contain the information prescribed in Form 33;
(c) a directors’ circular shall contain the information prescribed in Form 34; and
(d) a director’s or officer’s circular shall contain the information prescribed in Form 35. O. Reg. 80/95, s. 22; O. Reg. 568/98, s. 13.
Note: On February 1, 2008, section 189 is revoked. See: O. Reg. 589/07, ss. 2, 5.
190.-192. Revoked: O. Reg. 80/95, s. 22.
193. Except as otherwise provided in National Instrument 71-101 The Multijurisdictional Disclosure System and in Ontario Securities Commission Rule 71-801 The Multijurisdictional Disclosure System, a notice of change or variation in respect of a take-over bid or issuer bid as required by subsection 98 (2) of the Act shall contain,
(a) a description of the change in the information contained in the circular or of the variation in the terms of the take-over bid or the issuer bid, as the case may be;
(b) the date of the change in the information contained in the circular or the variation in the terms of the bid;
(c) the date up to which securities may be deposited;
(d) the date by which securities deposited must be taken up by the offeror; and
(e) the rights of withdrawal that are available to security holders,
and shall include a certificate duly signed and in the form required under Form 32 in the case of a take-over bid or Form 33 in the case of an issuer bid, amended to refer to the initial circular and all notices of change or variation thereto. R.R.O. 1990, Reg. 1015, s. 193; O. Reg. 80/95, s. 23; O. Reg. 568/98, s. 14.
Note: On February 1, 2008, section 193 is revoked. See: O. Reg. 589/07, ss. 2, 5.
194. Except as otherwise provided in National Instrument 71-101 The Multijurisdictional Disclosure System and in Ontario Securities Commission Rule 71-801 The Multijurisdictional Disclosure System, a notice of change in respect of the information contained in a directors’ circular or a director’s or officer’s circular as required by subsection 99 (6) of the Act shall contain a description of the change in the information contained in the circular and shall include a certificate, duly signed and in the form required under Form 34 or 35, as the case may be, amended to refer to the initial directors’ or director’s or officer’s circular and all notices of change thereto. R.R.O. 1990, Reg. 1015, s. 194; O. Reg. 80/95, s. 24; O. Reg. 568/98, s. 15.
Note: On February 1, 2008, section 194 is revoked. See: O. Reg. 589/07, ss. 2, 5.
195. (1) Except as otherwise provided in National Instrument 71-101 The Multijurisdictional Disclosure System and in Ontario Securities Commission Rule 71-801 The Multijurisdictional Disclosure System, no variation in the terms of a bid may be made after the expiry of the deposit period, except the waiver by the offeror of a condition that is specifically stated in the bid as being waivable at the sole option of the offeror. R.R.O. 1990, Reg. 1015, s. 195 (1); O. Reg. 80/95, s. 25; O. Reg. 568/98, s. 16.
(2) Section 98 of the Act does not apply so as to require a notice of variation with respect to a waiver referred to in subsection (1) after the deposit period where the consideration offered for the securities that are subject to the bid consists solely of cash, but a press release with respect to the waiver must be issued within five days after the deposit period. R.R.O. 1990, Reg. 1015, s. 195 (2).
(3) In this section,
“deposit period” means the period, including any extension, during which securities may be deposited pursuant to the bid. R.R.O. 1990, Reg. 1015, s. 195 (3).
Note: On February 1, 2008, section 195 is revoked. See: O. Reg. 589/07, ss. 2, 5.
196. The consent of every solicitor, auditor, accountant, engineer, appraiser or any other person or company whose profession or business gives authority to a statement made by such person or company to the use of a report, appraisal or statement of such person or company included in or accompanying a take-over bid circular, issuer bid circular, directors’ circular, director’s or officer’s circular or any notice of change or variation to the foregoing, shall be filed with the Commission. R.R.O. 1990, Reg. 1015, s. 196.
Note: On February 1, 2008, section 196 is revoked. See: O. Reg. 589/07, ss. 2, 5.
197. Revoked: O. Reg. 133/00, s. 1.
198. A press release required under section 102 of the Act shall be authorized by a senior officer of the offeror and shall include in respect to the class of securities subject to the bid and each class of securities into which the securities of the class are subject to the bid are convertible,
(a) the name of the offeror issuing the release;
(b) the number of securities acquired by or over which the offeror and every person acting jointly or in concert with the offeror has acquired control or direction since the commencement of the bid;
(c) the number of securities held by or over which the offeror and every person acting jointly or in concert with the offeror exercised control or direction after the transaction or occurrence giving rise to the press release;
(d) the market where the transaction or occurrence took place; and
(e) the purpose of the offeror and any person acting jointly or in concert with the offeror in effecting the transaction, including any future intention to increase the beneficial ownership, control or direction of the offeror and any person acting jointly or in concert with the offeror over securities of the offeree issuer. R.R.O. 1990, Reg. 1015, s. 198.
Note: On February 1, 2008, section 198 is revoked. See: O. Reg. 589/07, ss. 2, 5.
199. Revoked: O. Reg. 133/00, s. 1.
200. (1) Every take-over bid circular, issuer bid circular, directors’ circular and director’s or officer’s circular and any notice of change or variation to any such circular, shall contain a statement of the rights provided by section 131 of the Act relating to that document. R.R.O. 1990, Reg. 1015, s. 200 (1).
(2) If the take-over bid or issuer bid is made in Ontario and in another province or territory of Canada, inclusion in a circular or notice of the following statement shall be deemed to be compliance with subsection (1):
Securities legislation in certain of the provinces and territories of Canada provides security holders of the offeree issuer with, in addition to any other rights they may have at law, rights of rescission or to damages, or both, if there is a misrepresentation in a circular or notice that is required to be delivered to such security holders. However, such rights must be exercised within prescribed time limits. Security holders should refer to the applicable provisions of the securities legislation of their province or territory for particulars of those rights or consult with a lawyer.
R.R.O. 1990, Reg. 1015, s. 200 (2).
(3) If the take-over bid or issuer bid is made in Ontario only, inclusion in a circular or notice of the following statement shall be deemed to be compliance with subsection (1):
Securities legislation in Ontario provides security holders of the offeree issuer with, in addition to any other rights they may have at law, rights of rescission or to damages, or both, if there is a misrepresentation in a circular or notice that is required to be delivered to such security holders. However, such rights must be exercised within prescribed time limits. Security holders should refer to the applicable provisions of Ontario securities legislation for particulars of those rights or consult with a lawyer.
R.R.O. 1990, Reg. 1015, s. 200 (3).
Note: On February 1, 2008, section 200 is revoked. See: O. Reg. 589/07, ss. 2, 5.
201. (0.1) Except as otherwise provided in National Instrument 71-101 The Multijurisdictional Disclosure System and in Ontario Securities Commission Rule 71-801 The Multijurisdictional Disclosure System, the requirements of this section apply to a circular or notice required under Part XX of the Act. O. Reg. 568/98, s. 17.
(1) The information contained in a circular or notice required under Part XX of the Act shall be clearly presented and the statements made therein shall be divided into groups according to subject-matter and the various groups of statements shall be preceded by appropriate headings. R.R.O. 1990, Reg. 1015, s. 201 (1).
(2) The order of items in the appropriate form need not be followed. R.R.O. 1990, Reg. 1015, s. 201 (2).
(3) Where practical and appropriate, information in a circular or notice shall be presented in tabular form. R.R.O. 1990, Reg. 1015, s. 201 (3).
(4) All amounts required in a circular or notice shall be stated in figures. R.R.O. 1990, Reg. 1015, s. 201 (4).
(5) Information required by more than one applicable item in the appropriate form need not be repeated. R.R.O. 1990, Reg. 1015, s. 201 (5).
(6) No statement need be made in response to any item in the appropriate form that is inapplicable and negative answers to any item may be omitted except where expressly required by the applicable form. R.R.O. 1990, Reg. 1015, s. 201 (6).
Note: On February 1, 2008, section 201 is revoked. See: O. Reg. 589/07, ss. 2, 5.
202. Where the Director is satisfied upon evidence or submissions made to the Director that a chief executive officer or chief financial officer is, for adequate cause, not available to sign a certificate or notice required to be filed under Part XX of the Act, the Director may permit the certificate or notice to be signed by another responsible officer or director. R.R.O. 1990, Reg. 1015, s. 202.
Note: On February 1, 2008, section 202 is revoked. See: O. Reg. 589/07, ss. 2, 5.
203. Except as otherwise provided in National Instrument 71-101 The Multijurisdictional Disclosure System and in Ontario Securities Commission Rule 71-801 The Multijurisdictional Disclosure System, a circular or notice required under Part XX of the Act shall be filed in triplicate on the same date that it is first sent to security holders of the offeree. R.R.O. 1990, Reg. 1015, s. 203; O. Reg. 80/95, s. 27; O. Reg. 568/98, s. 18.
Note: On February 1, 2008, section 203 is revoked. See: O. Reg. 589/07, ss. 2, 5.
203.1 Revoked: O. Reg. 48/03, s. 1.
203.2 Revoked: O. Reg. 48/03, s. 2.
PART XI 
  UNIVERSAL REGISTRATION
204. (1) In this Part,
“designated institution” means,
(a) a financial intermediary,
(b) the Federal Business Development Bank,
(c) a subsidiary of any company referred to in clause (a) or (b), where the company beneficially owns all of the voting securities of the subsidiary,
(d) the Government of Canada or any province or territory of Canada,
(e) any municipal corporation or public board or commission in Canada,
(f) a mutual fund, other than a private mutual fund, having net assets of at least $5,000,000,
(g) a trusteed pension plan or fund sponsored by an employer for the benefit of its employees and having net assets of at least $5,000,000,
(h) a registered dealer,
(i) a company or person, other than an individual, that is an accredited investor as defined in section 1.1 of National Instrument 45-106 Prospectus and Registration Exemptions,
(j) a person or company deemed to be a designated institution under subsection (2);
“financial intermediary” means,
(a) a bank listed in Schedule I or II to the Bank Act (Canada),
(b) a loan corporation or trust corporation registered under the Loan and Trust Corporations Act,
(c) an insurance company licensed under the Insurance Act,
(d) a credit union or caisse populaire incorporated or registered under the Credit Unions and Caisses Populaires Act,
(e) a co-operative to which the Co-operative Corporations Act applies;
“foreign security” means,
(a) a security, whether or not it is an interlisted security, issued by an issuer incorporated, formed or created under the laws of a jurisdiction other than Canada or any province or territory of Canada,
(b) a security issued by a country other than Canada or by any political division of the country,
(c) a security designated by the Commission under subsection (3) as a foreign security,
but does not include a security designated by the Commission under subsection (3) as a security that is not a foreign security;
“fully registered dealer” means a registered dealer described in paragraph 1, 5 or 9 of section 98;
“interlisted security” means a listed security that is listed and posted or otherwise available for trading on a stock exchange outside Canada, or other organized market outside Canada recognized by the Commission for the purposes of this Part;
“listed security” means a security listed and posted or accepted, conditionally or otherwise, for listing and posting on a stock exchange, or other organized market, in Canada recognized by the Commission for the purposes of this Part;
“market intermediary” means a person or company that engages or holds himself, herself or itself out as engaging in Ontario in the business of trading in securities as principal or agent, other than trading in securities purchased by the person or company for his, her or its own account for investment only and not with a view to resale or distribution, and, without limiting the generality of the foregoing, includes a person or company that engages or holds himself, herself or itself out as engaging in the business of,
(a) entering into agreements or arrangements with underwriters or issuers, in connection with distributions of securities, to purchase or sell such securities,
(b) participating in distributions of securities as a selling group member,
(c) making a market in securities, or
(d) trading in securities with accounts fully managed by the person or company as agent or trustee,
whether or not the person or company engages in trading in securities purchased for investment only;
“non-resident” means a non-resident as defined in section 212;
“selling group member” means, in respect of a distribution, a person or company whose interest in the distribution is limited to receiving the usual and customary distributor’s or seller’s commission payable by an underwriter or issuer. R.R.O. 1990, Reg. 1015, s. 204 (1); O. Reg. 424/01, s. 4; O. Reg. 491/05, s. 10.
(2) Where a portfolio manager or financial intermediary, acting as a trustee or agent for a person or company whose account is fully managed by it, purchases or sells securities on behalf of the person or company, the person or company shall be deemed to be a designated institution. R.R.O. 1990, Reg. 1015, s. 204 (2).
(3) The Commission may designate a security as a foreign security or designate a security not to be a foreign security where, in the opinion of the Commission, it is appropriate that the security be so designated because of the manner in which the issuer carries on its business or because of the relationships among the issuer and its affiliates. R.R.O. 1990, Reg. 1015, s. 204 (3).
205. Where this Part or Ontario Securities Commission Rule 31-503 Limited Market Dealers does not permit an unregistered market intermediary or a registered dealer to trade directly with a person or company, the unregistered market intermediary or registered dealer shall not arrange to trade indirectly with such a person or company by trading through any other person or company with whom the unregistered market intermediary or registered dealer is permitted to trade, whether the other person or company is acting as principal or agent. R.R.O. 1990, Reg. 1015, s. 205; O. Reg. 149/98, s. 3.
206. Revoked: O. Reg. 491/05, s. 11.
207. Revoked: O. Reg. 149/98, s. 4.
International Dealer Registration
208. (1) An international dealer may act as a market intermediary solely for the purposes of,
(a) carrying on in Ontario those activities, other than sales of securities, that are reasonably necessary to facilitate a distribution of securities that are offered primarily abroad;
(b) trading with a designated institution in debt securities in the course of a distribution, where the debt securities are offered primarily abroad and otherwise than by means of a prospectus prepared and filed in accordance with the Act;
(c) trading with a designated institution in debt securities, except in the course of the distribution by which they were issued;
(d) trading with a designated institution in foreign securities, except in the course of a distribution by means of a prospectus prepared and filed in accordance with the Act; and
(e) trading with a broker, foreign dealer or investment dealer in any securities,
and only if the international dealer is acting as principal or as agent for the issuer of the securities, another designated institution or a non-resident. R.R.O. 1990, Reg. 1015, s. 208 (1).
(2) No person or company may register as an international dealer unless the person or company carries on the business of a dealer and underwriter in a country other than Canada. R.R.O. 1990, Reg. 1015, s. 208 (2).
(3) An international dealer shall file with the Commission such reports as to trading in securities as the Commission may from time to time require. R.R.O. 1990, Reg. 1015, s. 208 (3).
(4) Subsection (3) does not apply to an international dealer that is affiliated with a fully registered dealer, a foreign dealer or a financial intermediary dealer, if the affiliated dealer files the reports in respect of the international dealer that are required by that subsection. R.R.O. 1990, Reg. 1015, s. 208 (4).
(5) The salespersons, partners and officers of an international dealer are exempt from the registration requirements of the Act and this Regulation in respect of trading in securities on behalf of the international dealer in accordance with subsection (1). R.R.O. 1990, Reg. 1015, s. 208 (5).
Financial Intermediary Dealer Registration
209. (1) A financial intermediary dealer may act as a market intermediary solely for the purposes of,
(a) trading as principal or agent in securities referred to in clauses (a), (b), (d) and (e) of paragraph 1 of subsection 35 (2) of the Act;
(b) trading as principal or agent in securities referred to in paragraph 4 of subsection 35 (2) of the Act so long as the trade is made in accordance with that paragraph;
(c) trading as principal or agent in debt securities of the financial intermediary including,
(i) in the case of an insurance company licensed under the lnsurance Act, contracts of insurance, and
(ii) in the case of a trust corporation registered under the Loan and Trust Corporations Act, certificates or receipts issued for money received for guaranteed investment;
(d) trading as principal or agent in debt securities of an affiliate of the financial intermediary that are guaranteed by the financial intermediary;
(e) trading as principal or agent in other debt securities if the trading does not constitute distributing the debt securities;
(f) trading as principal or agent in syndicated or consortium loans, other than loans that are distributed by means of a prospectus;
(g) trading as principal or agent in shares or units of mutual funds if the shares or units are sold to a pension plan, deferred profit sharing plan, retirement savings plan or other similar capital accumulation plan maintained by the sponsor of such plan for its employees and the employees deal only with the sponsor in respect of their participation in the plan and the purchases of the shares or units by the plan;
(h) trading as principal or agent with or for accounts fully managed by the financial intermediary as agent or trustee; and
(i) taking as agent for a person or company an unsolicited order to purchase or sell securities other than debt securities for execution by a registered dealer.
(j) Revoked: O. Reg. 273/01, s. 1 (1).
R.R.O. 1990, Reg. 1015, s. 209 (1); O. Reg. 273/01, s. 1 (1).
(2) For the purposes of clause (1) (i), an order to purchase or sell securities is not unsolicited where it is placed with a financial intermediary that advertises or otherwise promotes, or an affiliate of which advertises or otherwise promotes, the service of executing such orders or of acting as an adviser. R.R.O. 1990, Reg. 1015, s. 209 (2).
(3) Subject to subsection (9), no financial intermediary dealer may act as an adviser. R.R.O. 1990, Reg. 1015, s. 209 (3).
(4) Only a financial intermediary may register as a financial intermediary dealer. R.R.O. 1990, Reg. 1015, s. 209 (4).
(5) Sections 107 to 112 do not apply to a financial intermediary dealer. R.R.O. 1990, Reg. 1015, s. 209 (5).
(6) A financial intermediary dealer shall file with the Commission such reports as to trading in securities as the Commission may from time to time require. R.R.O. 1990, Reg. 1015, s. 209 (6).
(7) Subject to subsection (8), the salespersons and officers of a financial intermediary dealer are exempt from the registration requirements of the Act with respect to trading in securities on behalf of the financial intermediary dealer under subsection (1). R.R.O. 1990, Reg. 1015, s. 209 (7).
(8) The Director may vary the provisions of this Regulation,
(a) as they apply to a financial intermediary dealer, including by imposing additional conditions of registration on it, if the Director is of the opinion that the varied conditions are sufficient or necessary to create and maintain supervisory and control procedures with respect to officers and salespersons of the financial intermediary dealer that achieve an adequate level of investor protection; and
(b) as they apply to the salespersons and officers of a financial intermediary dealer by imposing conditions of registration on them if the Director is of the opinion that the conditions are necessary to achieve an adequate level of investor protection. R.R.O. 1990, Reg. 1015, s. 209 (8).
(9) The Director may vary the provisions of this Regulation to permit a financial intermediary dealer to act as an adviser subject to such conditions of registration applicable to advisers and their officers as the Director may impose. R.R.O. 1990, Reg. 1015, s. 209 (9).
(10) Despite any other provision of the Act or this Regulation, a financial intermediary regulated by the federal Office of the Superintendent of Financial Institutions and the officers and salespersons of the financial intermediary,
(a) are not required to obtain registration as a dealer or as officers and salespersons of a dealer, respectively, for the purpose of trading as described in clauses (1) (a) to (i); and
(b) are not required to obtain registration as an adviser or as officers of an adviser, respectively, for the purpose of acting as an adviser in accordance with the legislation of the Parliament of Canada governing the financial intermediary. R.R.O. 1990, Reg. 1015, s. 209 (10); O. Reg. 273/01, s. 1 (2).
210. (1) A foreign dealer may act as a market intermediary solely for the purposes of,
(a) trading in respect of which registration was not required under the Act and this Regulation on the 29th day of June, 1987, except that the references on that date to $97,000 in paragraph 5 of subsection 35 (1) of the Act and to $100,000 in paragraph 18 of that subsection shall be deemed to be references to $150,000; and
(b) trading on a stock exchange in Ontario recognized by the Commission for the purposes of this Part and of which the foreign dealer is a member, where the trade is made as principal or as agent for,
(i) a designated institution,
(ii) an employee of the foreign dealer,
(iii) a non-resident, or
(iv) a vendor that is selling securities with aggregate net proceeds of disposition to the vendor of not less than $150,000, with another registered dealer that is a member of the stock exchange. R.R.O. 1990, Reg. 1015, s. 210 (1).
(2) No person may register as a foreign dealer. R.R.O. 1990, Reg. 1015, s. 210 (2).
(3) No company may register as a foreign dealer unless the company,
(a) is incorporated under the laws of Canada or a province or territory of Canada;
(b) is controlled by a non-resident that carries on the business of a dealer or underwriter in a country other than Canada; and
(c) is a member of a stock exchange in Ontario recognized by the Commission for the purposes of this Part or is a member, branch office member or associate member of the Ontario District of the Investment Dealers’ Association of Canada. R.R.O. 1990, Reg. 1015, s. 210 (3).
(4) The conditions of registration applicable to a foreign dealer and its salespersons and officers shall be those applicable to an investment dealer and its salespersons and officers, respectively. R.R.O. 1990, Reg. 1015, s. 210 (4).
211. The Commission may exempt any person or company from the requirements of any provision of this Part where it is satisfied that to do so would not be prejudicial to the public interest and, in granting such exemption, the Commission may impose such terms and conditions as are considered necessary. R.R.O. 1990, Reg. 1015, s. 211.
PART XII 
  DEALER OWNERSHIP RESTRICTIONS
212. (1) In this Part,
“non-resident” means,
(a) an individual who is not a resident Canadian,
(b) a company incorporated under the laws of a jurisdiction other than Canada or any province or territory of Canada,
(c) a person, other than an individual, formed or created under the laws of a jurisdiction other than Canada or any other province or territory of Canada,
(d) a person or company controlled, directly or indirectly, by a person or company or a combination of persons and companies referred to in clauses (a), (b) and (c) or any of them,
(e) a person or company designated by the Commission as a non-resident in accordance with section 215,
but does not include a person or company designated by the Commission not to be a non-resident in accordance with section 215;
“parent company” means, in respect of a dealer, a company that beneficially owns all of the voting securities and participating securities of the dealer, or, where another company beneficially owns all of the voting securities and participating securities of that company, or any company in like relation thereto, the other company;
“participating security” means, in respect of a dealer, a security of the dealer that entitles the holder,
(a) to a dividend or other distribution of assets, otherwise than by way of return of capital, at a rate that is not fixed either in amount or by formula,
(b) to a dividend or other distribution of assets, otherwise than by way of return of capital, at a rate that is fixed by reference to a dividend or such a distribution of assets in respect of a security referred to in clause (a), or
(c) to a dividend or other distribution of assets, otherwise than by way of return of capital, or to payment of interest, at a rate calculated by reference to the earnings, income or profits of the dealer, whether calculated on a before-tax or after-tax basis,
in any case, whether or not the security also entitles the holder to a dividend, a distribution of assets or payment of interest at a rate or in an amount that is otherwise fixed either in amount or by formula;
“resident Canadian” means an individual who is,
(a) a Canadian citizen ordinarily resident in Canada,
(b) a permanent resident within the meaning of the Immigration Act (Canada) and ordinarily resident in Canada, except a permanent resident who has been ordinarily resident in Canada for more than one year after the time at which the individual first became eligible to apply for Canadian citizenship, or
(c) a Canadian citizen not ordinarily resident in Canada who is a full-time employee of a company that is a subsidiary of a registered dealer of which more than 50 per cent of each class and series of the voting securities or participating securities are beneficially owned and over which control and direction are exercised by resident Canadians, where the principal reason for the residence outside Canada is to act as such an employee. R.R.O. 1990, Reg. 1015, s. 212 (1).
(2) Revoked: O. Reg. 453/05, s. 16.
(3) For the purposes of clause (d) of the definition of “non-resident” in subsection (1),
(a) control includes control in fact, whether through another person or company or otherwise; and
(b) a company or person, other than an individual, shall be deemed to be controlled if, directly or indirectly, a person or company or combination of persons and companies referred to in clauses (a), (b) and (c) of the definition, or any of them, beneficially own, or exercise control or direction over, more than 331/3 per cent of any class or series of voting securities or participating securities of the company or person. R.R.O. 1990, Reg. 1015, s. 212 (3).
(4) For the purposes of this Part, a mutual life insurance company licensed under the Insurance Act that is incorporated under the laws of Canada or a province or territory of Canada and has its head office in Canada and at least 75 per cent of the directors of which are Canadian citizens ordinarily resident in Canada shall be deemed not to be a non-resident. R.R.O. 1990, Reg. 1015, s. 212 (4).
213. (1) A registered dealer that is not an individual must be a company incorporated, or a person formed or created, under the laws of Canada or a province or territory of Canada. R.R.O. 1990, Reg. 1015, s. 213 (1).
(2) Subsection (1) does not apply to any international dealer or security issuer. R.R.O. 1990, Reg. 1015, s. 213 (2).
214. For the purposes of this Part,
(a) a non-resident who is an individual shall be deemed to own beneficially all of the securities owned beneficially, or over which control or direction is exercised, by any other individual to whom the non-resident is married or with whom the non-resident is living in a conjugal relationship outside marriage and any relative of the non-resident, or of that other individual, who has the same home as the non-resident; and
(b) if a security is owned by more than one owner and one or more of the owners is a non-resident, the security shall be deemed to be wholly owned by the non-resident. R.R.O. 1990, Reg. 1015, s. 214; O. Reg. 108/00, s. 1; O. Reg. 346/05, s. 1.
215. The Commission may vary the provisions of this Regulation as they apply to a person or company by designating the person or company to be a non-resident or not to be a non-resident where, in the opinion of the Commission, it is appropriate that the person or company be so designated because of the manner in which the person or company carries on its business. R.R.O. 1990, Reg. 1015, s. 215.
216. The Commission shall not make any designation under section 215 without first giving the registered dealer and the person or company affected an opportunity to be heard. R.R.O. 1990, Reg. 1015, s. 216.
217. (1) A registered dealer that knows or has reason to believe that any person or company either alone or in combination with any other person or company is about to acquire, directly or indirectly, beneficial ownership of, or to exercise control or direction over, 10 per cent or more of any class or series of voting securities of the dealer shall forthwith give written notice of such fact to the Commission together with the name of each person and company involved. R.R.O. 1990, Reg. 1015, s. 217 (1).
(2) A registered dealer that knows or has reason to believe that any person or company either alone or in combination with any other person or company has acquired, directly or indirectly, beneficial ownership of, or is exercising control or direction over, 10 per cent or more of any class or series of voting securities of the dealer shall forthwith give written notice of such fact together with the name of each person or company involved. R.R.O. 1990, Reg. 1015, s. 217 (2).
(3) Subsections (1) and (2) do not apply to a financial intermediary dealer, international dealer or securities issuer. R.R.O. 1990, Reg. 1015, s. 217 (3).
(4) Subsection (2) does not apply,
(a) if notice in respect of the person or company or combination of persons and companies has been given previously under subsection (1);
(b) if the facts that gave rise to the application of subsection (2) occurred before the 30th day of June, 1987. R.R.O. 1990, Reg. 1015, s. 217 (4).
218. The Commission may exempt any person or company from the requirements of any provision of this Part where it is satisfied that to do so would not be prejudicial to the public interest and in granting such exemption the Commission may impose such terms and conditions as are considered necessary. R.R.O. 1990, Reg. 1015, s. 218.
PART XIII 
  CONFLICTS OF INTEREST
219. (1) In this Part,
“connected issuer” has the same meaning as in section 1.1 of National Instrument 33-105 Underwriting Conflicts;
“designated institution” means a designated institution as defined in section 204;
“registrant” does not include an officer, partner or salesperson of a registrant;
“related issuer” has the same meaning as in section 1.1 of National Instrument 33-105 Underwriting Conflicts;
“security” includes, in respect of an issuer,
(a) a put, call, option or other right or obligation to purchase or sell securities of the issuer, and
(b) a security of any other issuer all or substantially all of the assets of which are securities of the issuer;
“selling group member” means a selling group member as defined in section 204;
“statement of policies” means a statement of policies prepared, revised or amended, and filed with the Commission, under section 223. R.R.O. 1990, Reg. 1015, s. 219 (1); O. Reg. 273/01, s. 2; O. Reg. 504/01, s. 1.
(2) Revoked: O. Reg. 504/01, s. 1 (4).
(3) For the purposes of the definitions of “connected issuer” and “related issuer” in subsection (1), an issuer is not a connected issuer of a registrant or a related issuer of a registrant only by reason of the fact that the registrant, acting as an underwriter, owns securities of the issuer in the course of a distribution and in the ordinary course of business of the registrant. R.R.O. 1990, Reg. 1015, s. 219 (3).
(4) Revoked: O. Reg. 504/01, s. 1 (5).
220. (1) The Commission may vary the provisions of this Part as they apply to a person or company by designating the person or company to be a related issuer of a registrant where, in the opinion of the Commission, it is appropriate that the person or company be so designated because of the manner in which the person or company carries on its business with the registrant or any related issuer of the registrant. R.R.O. 1990, Reg. 1015, s. 220 (1).
(2) The Commission shall not make a designation under subsection (1) without first giving the registrant and the person or company affected an opportunity to be heard. R.R.O. 1990, Reg. 1015, s. 220 (2).
221., 222. Revoked: O. Reg. 1/99, s. 1.
223. (1) Except as provided in Rule 33-502 entitled “Exceptions to Conflict Rules in the Sale of Mutual Fund Securities”, every registrant shall prepare and file with the Commission a statement of policies that contains,
(a) a full and complete statement of the policies of the registrant regarding the activities in which it is prepared to engage as an adviser, dealer and underwriter in respect of securities of the registrant and related issuers of the registrant and, in the course of a distribution, of securities of connected issuers of the registrant;
(b) a list of the related issuers of the registrant that are reporting issuers or that have distributed securities outside Ontario on a basis that, if they had done so in Ontario, would have made them reporting issuers;
(c) a concise statement of the relationship between the registrant and each of the related issuers of the registrant referred to in clause (b); and
(d) the following note, or an expanded version of it, in a conspicuous position and in bold face type not less legible than that used in the body of the statement of policies:
The securities laws of the Province of Ontario require securities dealers and advisers, when they trade in or advise with respect to their own securities or securities of certain other issuers to which they, or certain other parties related to them, are related or connected, to do so only in accordance with particular disclosure and other rules. These rules require dealers and advisers, prior to trading with or advising their customers or clients, to inform them of the relevant relationships and connections with the issuer of the securities. Clients and customers should refer to the applicable provisions of these securities laws for the particulars of these rules and their rights or consult with a legal adviser. R.R.O. 1990, Reg. 1015, s. 223 (1); O. Reg. 80/95, s. 29 (1); O. Reg. 542/98, s. 1 (1).
(2) Except as provided in Rule 33-502 entitled “Exceptions to Conflict Rules in the Sale of Mutual Fund Securities”, a registrant shall provide to each of its customers and clients, free of charge, a copy of its statement of policies at the time at which the customer or client becomes a customer or client of the registrant. R.R.O. 1990, Reg. 1015, s. 223 (2); O. Reg. 80/95, s. 29 (2); O. Reg. 542/98, s. 1 (1).
(3) Except as provided in Rule 33-502 entitled “Exceptions to Conflict Rules in the Sale of Mutual Fund Securities”, in the event of any significant change in the information required to be contained in the statement of policies of a registrant, the registrant shall,
(a) forthwith prepare and file with the Commission a revised version of, or amendment to, the statement of policies; and
(b) provide to each of its customers and clients a copy of the revised version or amendment, as the case may be, either,
(i) within forty-five days of the filing, or
(ii) promptly after the first trade by the registrant with or on behalf of the customer or client or the first time at which the registrant acts as an adviser to the client, as the case may be,
whichever is earlier. R.R.O. 1990, Reg. 1015, s. 223 (3); O. Reg. 80/95, s. 29 (3); O. Reg. 542/98, s. 1 (1).
(4) Despite subsection (1) and except as provided in Rule 33-502 entitled “Exceptions to Conflict Rules in the Sale of Mutual Fund Securities”, a registrant that does not engage in activities as an adviser, dealer or underwriter in respect of securities of the registrant or of related issuers of the registrant or, in the course of a distribution, in respect of the securities of connected issuers of the registrant, is not required to prepare or file a statement of policies if it files with the Commission a statement that it does not engage in such activities and an undertaking that it will not engage in such activities except in compliance with this Part. R.R.O. 1990, Reg. 1015, s. 223 (4); O. Reg. 80/95, s. 29 (4); O. Reg. 542/98, s. 1 (2).
224. Revoked: O. Reg. 504/01, s. 2.
225. (1) No registrant, as principal or agent, shall,
(a) trade in securities of the registrant or of any related issuer of the registrant with or on behalf of any customer of the registrant; or
(b) purchase securities of the registrant or of any related issuer of the registrant from or on behalf of any customer of the registrant. R.R.O. 1990, Reg. 1015, s. 225 (1).
(2) Subsection (1) does not apply if,
(a) before entering into a contract for the sale or purchase of the securities and before accepting payment or receiving any security or other consideration under or in anticipation of any such contract, the registrant makes to the customer a concise statement, either orally or in writing, of the relationship between the registrant and the issuer of the securities;
(b) the customer is,
(i) a fully registered dealer that is trading or purchasing as principal, or
(ii) a related issuer of the registrant that is trading or purchasing as principal; or
(c) the trade is a distribution other than as referred to in clause 72 (7) (b) of the Act. R.R.O. 1990, Reg. 1015, s. 225 (2).
Confirmation and Reporting of Trades
226. (1) Except as provided in Rule 33-502 entitled “Exceptions to Conflict Rules in the Sale of Mutual Fund Securities”, the written confirmation required by subsection 36 (1) of the Act to be sent by a registrant in connection with a sale or a purchase of securities shall, in the case of a sale or a purchase of securities of the registrant or a related issuer of the registrant, or, in the course of a distribution, of securities of a connected issuer of the registrant, state that the securities are securities of the registrant, a related issuer of the registrant or a connected issuer of the registrant, as the case may be. R.R.O. 1990, Reg. 1015, s. 226 (1); O. Reg. 80/95, s. 31 (1); O. Reg. 542/98, s. 3.
(2) Except as provided in Rule 33-502 entitled “Exceptions to Conflict Rules in the Sale of Mutual Fund Securities”, if a registrant sends or delivers to a customer or client any report, other than the written confirmation referred to in subsection (1), of any trades in securities that the registrant has made with or on behalf of the customer or client, including any report of trades made by or at the direction of a registrant acting as a portfolio manager, such report shall, in respect of trades in securities of the registrant or a related issuer of the registrant, or, in the course of a distribution, in respect of securities of a connected issuer of the registrant, state that the securities are securities of the registrant, a related issuer of the registrant or a connected issuer of the registrant, as the case may be. R.R.O. 1990, Reg. 1015, s. 226 (2); O. Reg. 80/95, s. 31 (2); O. Reg. 542/98, s. 3.
227. (1) No registrant shall act as an adviser in respect of securities of the registrant or of a related issuer of the registrant or, in the course of a distribution, in respect of securities of a connected issuer of the registrant. R.R.O. 1990, Reg. 1015, s. 227 (1).
(2) Subsection (1) does not apply,
(a) in case of a registrant, acting otherwise than as a portfolio manager, if the registrant, before advising the client, makes to the client a concise statement, either orally or in writing, of the relationship or connection between the registrant and the issuer of the securities;
(b) in the case of a registrant acting as a portfolio manager, if the registrant, before acquiring discretionary authority in respect of the securities and once within each twelve-month period thereafter,
(i) provides the client with the statement of policies of the registrant, and
(ii) secures the specific and informed written consent of the client to the exercise of the discretionary authority in respect of the securities;
(b.1) in the case of a registrant who is acting as a portfolio manager in respect of a transaction made in accordance with subsection 4.1 (4) of National Instrument 81-102 Mutual Funds; or
(c) if the client is a fully registered dealer or related issuer of the registrant. R.R.O. 1990, Reg. 1015, s. 227 (2); O. Reg. 500/06, s. 2.
(3) For the purposes of subclause (2) (b) (ii),
(a) a general power to invest in the discretion of the portfolio manager does not constitute specific consent; and
(b) consent is only informed if the portfolio manager believes and has reasonable grounds for believing that it is informed. R.R.O. 1990, Reg. 1015, s. 227 (3).
Limitations on Recommendations
228. (1) Except as provided in Rule 33-502 entitled “Exceptions to Conflict Rules in the Sale of Mutual Fund Securities”, no registrant shall in any medium of communication recommend, or co-operate with any other person in the making of a recommendation, that securities of the registrant or a related issuer of the registrant or, in the course of a distribution, that securities of a connected issuer of the registrant, be purchased, sold or held. R.R.O. 1990, Reg. 1015, s. 228 (1); O. Reg. 80/95, s. 32 (1); O. Reg. 542/98, s. 4.
(2) Subsection (1) does not apply to a recommendation in a circular, pamphlet or similar publication that,
(a) is published, issued or sent by the registrant and is of a type distributed with reasonable regularity in the ordinary course of its business;
(b) includes in a conspicuous position, in type not less legible than that used in the body of such publication, a full and complete statement of the relationship or connection between the registrant and the issuer of the securities and of the obligations of the registrant under subsection (1) and this subsection;
(c) includes information similar to that set forth in respect of the issuer of the securities in respect of a substantial number of the other persons or companies that are in the industry or business of the issuer of the securities; and
(d) does not give materially greater space or prominence to the information set forth in respect of the issuer of the securities than to the information set forth in respect of any other person or company described therein. R.R.O. 1990, Reg. 1015, s. 228 (2).
(3) Except as provided in Rule 33-502 entitled “Exceptions to Conflict Rules in the Sale of Mutual Fund Securities”, no registrant shall publish, issue or send any advertisement, notice or other similar publication in respect of securities of a related issuer of the registrant or, in the course of a distribution, in respect of securities of a connected issuer of the registrant, unless the publication states in a conspicuous position in bold face, twelve point type, or such larger type as is required to ensure its prominence in such publication, that the issuer of the securities is a related issuer of the registrant or a connected issuer of the registrant, as the case may be. R.R.O. 1990, Reg. 1015, s. 228 (3); O. Reg. 80/95, s. 32 (2); O. Reg. 542/98, s. 4.
229. Revoked: O. Reg. 273/01, s. 3.
230. (1) This Part does not apply to any trading, purchasing of or advising with respect to securities referred to,
(a) in subsection 2.4 (1), 2.5 (1) or 2.6 (1) or (2) of Ontario Securities Commission Rule 45-501 Ontario Prospectus and Registration Exemptions; or
(b) in subsection 2.13 (1), 2.20 (1), 2.21 (1), 2.34 (2), 2.35 (1), 2.36 (2), 2.37 (1) or 2.38 (1) of National Instrument 45-106 Prospectus and Registration Exemptions. O. Reg. 491/05, s. 12.
(2) Sections 223 to 228 do not apply to a mutual fund dealer. R.R.O. 1990, Reg. 1015, s. 230 (2).
(3) Section 225 does not apply in respect of a trade where the registrant neither solicits the trade nor advises the customer or client in respect of it. R.R.O. 1990, Reg. 1015, s. 230 (3); O. Reg. 504/01, s. 3.
(4) Sections 223, 225, 226 and 227, subsection 228 (1) and section 229 do not apply to an international dealer. R.R.O. 1990, Reg. 1015, s. 230 (4).
(5) Revoked: O. Reg. 453/05, s. 17 (2).
231. A registrant shall file with the Commission such reports as to its activities in respect of its securities and of the securities of related issuers and connected issuers of the registrant as the Commission from time to time may require. R.R.O. 1990, Reg. 1015, s. 231.
232. The obligations imposed by section 2.1 of Ontario Securities Commission Rule 31-505 Conditions of Registration on a registrant or any officer, partner, salesperson or director of a registrant are not necessarily satisfied solely by virtue of compliance with the other applicable provisions of this Part. R.R.O. 1990, Reg. 1015, s. 232; O. Reg. 453/05, s. 18.
233. The Commission may exempt a registrant from the requirements of any provision of this Part where it is satisfied that to do so would not be prejudicial to the public interest and in granting such exemption the Commission may impose such terms and conditions as are considered necessary. R.R.O. 1990, Reg. 1015, s. 233.
PART XIV 
  LABOUR SPONSORED INVESTMENT FUND CORPORATIONS
234. In this Part,
“eligible investment” means an eligible investment as defined in section 204.8 of the Income Tax Act (Canada);
“employee organization” and “labour sponsored investment fund corporation” have the meanings specified in the Labour Sponsored Venture Capital Corporations Act, 1992. O. Reg. 455/92, s. 1; O. Reg. 209/93, s. 1; O. Reg. 468/00, s. 6.
235. Despite the definition of “promoter” in subsection 1 (1) of the Act, if an employee organization incorporates a company to incorporate, organize and register another company as a labour sponsored investment fund corporation, the employee organization and its members shall be deemed not to be a promoter of the labour sponsored investment fund corporation. O. Reg. 455/92, s. 1.
236. Revoked: O. Reg. 468/00, s. 6.
237. A prospectus of a labour sponsored investment fund corporation shall be in Form 45. O. Reg. 91/01, s. 5.
238. (1) The Director shall not refuse to issue a receipt for a prospectus of a labour sponsored investment fund corporation under subsection 61 (1) or (2) of the Act if the circumstance forming the basis for a refusal under subsection 61 (1) or (2) of the Act is permitted under the Labour Sponsored Venture Capital Corporations Act, 1992 or this Part. O. Reg. 455/92, s. 1.
(2) Despite subsection 61 (1) of the Act, the Director shall not issue a receipt for a prospectus of a labour sponsored investment fund corporation if,
(a) it appears to the Director that the corporation is in contravention of this Part; or
(b) the Director receives notice from the Minister of Revenue that the Minister of Revenue has served notice under section 31 of the Labour Sponsored Venture Capital Corporations Act, 1992 of a proposal to revoke the registration of the labour sponsored investment fund corporation. O. Reg. 455/92, s. 1.
(3) Clause (2) (b) ceases to apply if the Director receives notice from the Minister of Revenue that the Minister of Revenue will not revoke the registration of the labour sponsored investment fund corporation. O. Reg. 455/92, s. 1.
(4) The Director shall not refuse to issue a receipt under clause (2) (a) before giving the labour sponsored investment fund corporation that filed the prospectus an opportunity to be heard. O. Reg. 455/92, s. 1.
(5) Immediately after making a decision to refuse to issue a receipt under clause (2) (a), the Director shall notify the Commission of the decision. O. Reg. 455/92, s. 1.
(6) Within thirty days of the Director’s decision to refuse to issue a receipt under clause (2) (a), the Commission may notify the Director and any person or company directly affected by the Director’s decision of the Commission’s intention to convene a hearing to review the decision. O. Reg. 455/92, s. 1.
239. The Commission shall not make an order under subsection 70 (1) of the Act requiring that the distribution of securities under a prospectus of a labour sponsored investment fund corporation cease, if the circumstance forming the basis for an order under subsection 70 (1) of the Act is permitted under the Labour Sponsored Venture Capital Corporations Act, 1992 or this Part. O. Reg. 455/92, s. 1.
240. (1) If a rule, policy or practice of the Commission or the Director pertaining to mutual funds conflicts with a provision of the Labour Sponsored Venture Capital Corporations Act, 1992 pertaining to labour sponsored investment fund corporations, the rule, policy or practice of the Commission or the Director pertaining to mutual funds shall not apply to labour sponsored investment fund corporations. O. Reg. 455/92, s. 1; O. Reg. 3/00, s. 5 (1).
(2) Without limiting the generality of subsection (1), a rule, policy or practice of the Commission or the Director respecting any of the following subjects shall not apply to labour sponsored investment fund corporations:
1. The incorporation and initial capitalization of mutual funds.
2. Investment restrictions on mutual funds.
3. The borrowing of money by mutual funds.
4. The making of illiquid investments by mutual funds.
5. The lending of money by mutual funds.
6. The guaranteeing by mutual funds of debts or obligations of other persons or companies.
7. The management or control of other issuers by mutual funds.
8. The sale or redemption of securities of mutual funds.
9. Revoked: O. Reg. 215/05, ss. 7 (2).
O. Reg. 455/92, s. 1; O. Reg. 3/00, s. 5 (2); O. Reg. 215/05, s. 7.
241. For the purpose of subsection 107 (1) of the Act, a labour sponsored investment fund corporation shall be deemed not to be a mutual fund. O. Reg. 455/92, s. 1.
242. Despite clause 110 (2) (b) of the Act, for the purposes of sections 111 to 115 of the Act, an eligible investment of a labour sponsored investment fund corporation shall be deemed not to be an investment by the labour sponsored investment fund corporation in a person or company in which it is a substantial security holder. O. Reg. 455/92, s. 1.
243. When a labour sponsored investment fund corporation provides to its shareholders a quarterly or annual share valuation in accordance with its undertaking under clause 14 (1) (h) of the Labour Sponsored Venture Capital Corporations Act, 1992, the corporation shall file with the Commission a copy of the valuation and a copy of all reports prepared by or for the corporation about the valuation. O. Reg. 455/92, s. 1.
244. A labour sponsored investment fund corporation is exempt from the requirements of Part IV that are inconsistent with the Labour Sponsored Venture Capital Corporations Act, 1992 or the regulations made under that Act. O. Reg. 455/92, s. 1.
245. The Commission may exempt any person or company from a requirement of this Regulation that relates to labour sponsored investment fund corporations or may vary a provision of this Regulation that relates to labour sponsored investment fund corporations as it applies to any person or company, if the Commission is satisfied that to do so would not be prejudicial to the public interest, having regard to the spirit and intent of the Labour Sponsored Venture Capital Corporations Act, 1992. O. Reg. 455/92, s. 1.
246. Despite the requirement for manual or facsimile signatures in sections 11, 64, 93, 161 and 181, a document to be filed in electronic format under the rule entitled National Instrument 13-101 — System for Electronic Document Analysis and Retrieval (SEDAR) that is subject to any of those provisions shall be signed in the manner required under that rule. O. Reg. 549/96, s. 3; O. Reg. 636/00, s. 9.
247. Despite the requirement to file in duplicate or triplicate in subsections 6 (1) and 12 (1) and section 203, a document to be filed in electronic format under the rule entitled National Instrument 13-101 — System for Electronic Document Analysis and Retrieval (SEDAR) that is subject to any of those provisions shall be filed in the manner required under that rule. O. Reg. 549/96, s. 3; O. Reg. 423/01, s. 3.
part xvi 
  civil liability for secondary market disclosure
248. In this Part,
“equity security” has the same meaning as it has in subsection 89 (1) of the Act. O. Reg. 453/05, s. 19.
249. For the purposes of Part XXIII.1 of the Act, “market capitalization” means, in respect of an issuer, the amount determined as follows:
1. For each class of equity securities for which there is a published market, determine the sum of the number of outstanding securities of the class at the close of trading on each of the 10 trading days before the day on which the misrepresentation was made or the failure to make timely disclosure first occurred.
2. Divide the sum determined under paragraph 1 by 10.
3. Multiply the quotient determined under paragraph 2 for each class by the trading price of the securities of the class on the principal market for the securities for the 10 trading days before the day on which the misrepresentation was made or the failure to make timely disclosure first occurred.
4. Add the amounts determined under paragraph 3 for each class of equity securities for which there is a published market.
5. For each class of equity securities not traded on a published market, determine the fair market value of the outstanding securities of that class as of the day on which the misrepresentation was made or the failure to make timely disclosure first occurred.
6. Add the amounts determined under paragraph 5 for each class of equity securities not traded on a published market.
7. Add the amount determined under paragraph 4 to the amount determined under paragraph 6 to determine the market capitalization of the issuer. O. Reg. 453/05, s. 19.
250. For the purposes of Part XXIII.1 of the Act,
“principal market” means, in respect of a class of securities of a responsible issuer,
(a) the published market in Canada on which the greatest volume of trading in securities of that class occurred during the 10 trading days before the day on which the misrepresentation was made or the failure to make timely disclosure first occurred, or
(b) the published market on which the greatest volume of trading in securities of that class occurred during the 10 trading days before the day on which the misrepresentation was made or the failure to make timely disclosure first occurred, if securities of that class are not traded during those 10 trading days on a published market in Canada. O. Reg. 453/05, s. 19.
251. For the purposes of Part XXIII.1 of the Act, “trading price” means, in respect of a security of a class of securities for which there is a published market, the amount determined under the following rules:
1. Subject to paragraphs 2 and 3, the trading price of the security is the volume weighted average price of securities of that class on the published market during the period for which the trading price is to be determined.
2. Subject to paragraph 3, if there was trading in the securities of that class in the published market on fewer than half of the trading days during the period for which the trading price of the securities is to be determined, the trading price of the security is determined as follows:
i. Calculate the sum of the average of the highest bid and lowest ask prices for each trading day in the period on which there were no trades in securities of that class in the published market.
ii. Divide the amount determined under subparagraph i by the number of trading days on which there were no trades in securities of that class in the published market.
iii. Add to the amount determined under subparagraph ii the volume weighted average price of securities of that class on the published market for those trading days on which securities of that class were traded.
iv. Divide by two the amount determined under subparagraph iii.
3. If there were no trades of securities of that class in the published market during the period for which the trading price is to be determined, the trading price of the security is the fair market value of the security. O. Reg. 453/05, s. 19.
252. (1) Part XXIII.1 of the Act applies to the acquisition of an issuer’s security pursuant to an exemption from section 53 or 62 of the Act that is set out in clause 72 (7) (b) of the Act, which exemption is prescribed for the purposes of clause 138.2 (b) of the Act. O. Reg. 453/05, s. 19.
(2) Part XXIII.1 of the Act applies to the acquisition or disposition of an issuer’s security in connection with or pursuant to a take-over bid described in clause 93 (1) (a), (b) or (e) of the Act or an issuer bid described in clause 93 (3) (e), (f) or (h) of the Act, which bids are prescribed for the purposes of clause 138.2 (c) of the Act. O. Reg. 453/05, s. 19.
Note: On February 1, 2008, subsection (2) is revoked and the following substituted:
(2) Part XXIII.1 of the Act applies to the acquisition or disposition of an issuer’s security in connection with or pursuant to a take-over bid that is exempt under section 100, 100.3 or 100.4 of the Act or an issuer bid that is exempt under section 101.2, 101.4 or 101.5 of the Act and those bids are prescribed for the purposes of clause 138.2 (c) of the Act. O. Reg. 589/07, s. 4.
See: O. Reg. 589/07, ss. 4, 5.
Schedule 1 Revoked: O. Reg. 48/03, s. 3.
Form 1 
  SUMMONS TO A WITNESS BEFORE A PERSON APPOINTED UNDER SECTION ...... OF THE ACT
Securities Act
Insert regs\graphics\1990\1015\015001au.tif

R.R.O. 1990, Reg. 1015, Form 1.
Securities Act
Insert regs\graphics\1990\1015\015002au.tif

R.R.O. 1990, Reg. 1015, Form 2.
form 3 
  application for registration as dealer or adviser
Securities Act
Insert regs\Graphics\Source Law\2005\453\453FORM3aae.tif

Insert regs\Graphics\Source Law\2005\453\453FORM3abe.tif

Insert regs\Graphics\Source Law\2005\453\453FORM3ace.tif

Insert regs\Graphics\Source Law\2005\453\453FORM3ade.tif

O. Reg. 453/05, s. 20.
Form 4 Revoked: O. Reg. 16/03, s. 6.
form 5 
  application FOR renewal of registration as dealer or adviser
Securities Act
Insert regs\Graphics\Source Law\2005\453\453FORM5ae.tif

O. Reg. 453/05, s. 21.
Form 6 
  APPLICATION FOR RENEWAL OF REGISTRATION AS SALESPERSON
Securities Act
Insert regs\graphics\1990\1015\015006au.tif

Insert regs\graphics\1990\1015\015006bu.tif

R.R.O. 1990, Reg. 1015, Form 6.
Form 7 Revoked: O. Reg. 453/05, s. 22.
Form 8 
  SUMMONS TO A WITNESS BEFORE A PERSON DESIGNATED UNDER SECTION 31 OF THE ACT
Securities Act
Insert regs\graphics\1990\1015\015008au.tif

Insert regs\graphics\1990\1015\015008bu.tif

R.R.O. 1990, Reg. 1015, Form 8.
Form 9 
  FINANCIAL QUESTIONNAIRE AND REPORT
Securities Act
Insert regs\graphics\1990\1015\015009au.tif

Insert regs\graphics\1990\1015\015009bu.tif

Insert regs\graphics\1990\1015\015009cu.tif

Insert regs\graphics\1990\1015\015009du.tif

Insert regs\graphics\1990\1015\015009eu.tif

Insert regs\graphics\1990\1015\015009fu.tif

Insert regs\graphics\1990\1015\015009gu.tif

Insert regs\graphics\1990\1015\015009hu.tif

Insert regs\graphics\1990\1015\015009iu.tif

Insert regs\graphics\1990\1015\015009ju.tif

Insert regs\graphics\1990\1015\015009ku.tif

Insert regs\graphics\1990\1015\015009lu.tif

Insert regs\graphics\1990\1015\015009mu.tif

Insert regs\graphics\1990\1015\015009nu.tif

Insert regs\graphics\1990\1015\015009ou.tif

Insert regs\graphics\1990\1015\015009pu.tif

Insert regs\graphics\1990\1015\015009qu.tif

Insert regs\graphics\1990\1015\015009ru.tif

Insert regs\graphics\1990\1015\015009su.tif

Insert regs\graphics\1990\1015\015009tu.tif

Insert regs\graphics\1990\1015\015009uu.tif

Insert regs\graphics\1990\1015\015009vu.tif

Insert regs\graphics\1990\1015\015009wu.tif

R.R.O. 1990, Reg. 1015, Form 9.
Form 10 
  ANNUAL QUESTIONNAIRE TO BE COMPLETED BY A PORTFOLIO MANAGER FOR ITS AUDITOR
Securities Act
Insert regs\graphics\1990\1015\015010au.tif

Insert regs\graphics\1990\1015\015010bu.tif

Insert regs\graphics\1990\1015\015010cu.tif

R.R.O. 1990, Reg. 1015, Form 10.
Form 11 Revoked: O. Reg. 424/01, s. 6.
FormS 12-14 Revoked: O. Reg. 632/00, s. 11.
Form 15 
  INFORMATION REQUIRED IN PROSPECTUS OF A MUTUAL FUND
Securities Act
Insert regs\Graphics\Source Law\2006\500\500015ae.tif

Insert regs\Graphics\Source Law\2006\500\500015be.tif

Insert regs\Graphics\Source Law\2006\500\500015ce.tif

Insert regs\Graphics\Source Law\2006\500\500015de.tif

Insert regs\Graphics\Source Law\2006\500\500015ee.tif

Insert regs\Graphics\Source Law\2006\500\500015fe.tif

Insert regs\Graphics\Source Law\2006\500\500015ge.tif

Insert regs\Graphics\Source Law\2006\500\500015he.tif

Insert regs\Graphics\Source Law\2006\500\500015ie.tif

Insert regs\Graphics\Source Law\2006\500\500015je.tif

Insert regs\Graphics\Source Law\2006\500\500015ke.tif

O. Reg. 500/06, s. 3.
Form 16 Revoked: O. Reg. 91/01, s. 6.
FormS 17-19 Revoked: O. Reg. 453/05, s. 22.
FormS 20, 21 Revoked: O. Reg. 662/98, s. 3.
FormS 22, 23 Revoked: O. Reg. 423/01, s. 5.
FormS 24-26 Revoked: O. Reg. 491/05, s. 13.
Form 27 Revoked: O. Reg. 215/05, s. 8.
Form 28 Revoked: O. Reg. 56/04, s. 14 (2).
Form 29 Revoked: O. Reg. 507/97, s. 4.
Form 30 Revoked: O. Reg. 215/05, s. 9.
Form 31 
  NOTICE OF INTENTION TO MAKE AN ISSUER BID
Securities Act
Insert regs\graphics\1990\1015\015031au.tif

Insert regs\graphics\1990\1015\015031bu.tif

R.R.O. 1990, Reg. 1015, Form 31.
Note: On February 1, 2008, Form 31 is revoked. See: O. Reg. 589/07, ss. 3, 5.
Form 32 
  TAKE-OVER BID CIRCULAR
Securities Act
Insert regs\graphics\1990\1015\015032au.tif

Insert regs\graphics\1990\1015\015032bu.tif

Insert regs\graphics\1990\1015\015032cu.tif

R.R.O. 1990, Reg. 1015, Form 32.
Note: On February 1, 2008, Form 32 is revoked. See: O. Reg. 589/07, ss. 3, 5.
Form 33 
  ISSUER BID CIRCULAR
Securities Act
Insert regs\graphics\1990\1015\015033au.tif

Insert regs\graphics\1990\1015\015033bu.tif

Insert regs\graphics\1990\1015\015033cu.tif

Insert regs\graphics\1990\1015\015033du.tif

R.R.O. 1990, Reg. 1015, Form 33.
Note: On February 1, 2008, Form 33 is revoked. See: O. Reg. 589/07, ss. 3, 5.
Form 34 
  DIRECTORS’ CIRCULAR
Securities Act
Insert regs\graphics\1990\1015\015034au.tif

Insert regs\graphics\1990\1015\015034bu.tif

Insert regs\graphics\1990\1015\015034cu.tif

Insert regs\graphics\1990\1015\015034du.tif

R.R.O. 1990, Reg. 1015, Form 34.
Note: On February 1, 2008, Form 34 is revoked. See: O. Reg. 589/07, ss. 3, 5.
Form 35 
  DIRECTOR’S OR OFFICER’S CIRCULAR
Securities Act
Insert regs\graphics\1990\1015\015035au.tif

Insert regs\graphics\1990\1015\015035bu.tif

R.R.O. 1990, Reg. 1015, Form 35.
Note: On February 1, 2008, Form 35 is revoked. See: O. Reg. 589/07, ss. 3, 5.
Form 36 Revoked: O. Reg. 13/96, s. 2.
Form 37 
  REPORT BY A REGISTERED OWNER OF SECURITIES BENEFICIALLY OWNED BY AN INSIDER
Securities Act
Insert regs\graphics\1990\1015\015037au.tif

R.R.O. 1990, Reg. 1015, Form 37.
Form 38 
  REPORT UNDER SECTION 117 OF THE ACT
Securities Act
Insert regs\graphics\1990\1015\015038au.tif

Insert regs\graphics\1990\1015\015038bu.tif

R.R.O. 1990, Reg. 1015, Form 38.
Form 39 
  ENDORSEMENT OF WARRANT
Securities Act
Insert regs\graphics\1990\1015\015039au.tif

R.R.O. 1990, Reg. 1015, Form 39.
Form 40 Revoked: O. Reg. 56/04, s. 14 (4).
Form 41 
  APPLICATION FOR APPROVAL TO BE A MARKET-MAKER IN A COATS SECURITY
Securities Act
Insert regs\graphics\1990\1015\015041au.tif

Insert regs\graphics\1990\1015\015041bu.tif

Insert regs\graphics\1990\1015\015041cu.tif

R.R.O. 1990, Reg. 1015, Form 41.
FormS 42-44 Revoked: O. Reg. 48/03, s. 4.
Form 45 
  INFORMATION REQUIRED TO BE INCLUDED IN PROSPECTUS OF A LABOUR SPONSORED INVESTMENT FUND CORPORATION
Securities Act
Insert regs\Graphics\Source Law\2006\500\500045ae.tif

Insert regs\Graphics\Source Law\2006\500\500045be.tif

Insert regs\Graphics\Source Law\2006\500\500045ce.tif

Insert regs\Graphics\Source Law\2006\500\500045de.tif

Insert regs\Graphics\Source Law\2006\500\500045ee.tif

Insert regs\Graphics\Source Law\2006\500\500045fe.tif

Insert regs\Graphics\Source Law\2006\500\500045ge.tif

Insert regs\Graphics\Source Law\2006\500\500045he.tif

Insert regs\Graphics\Source Law\2006\500\500045ie.tif

Insert regs\Graphics\Source Law\2006\500\500045je.tif

Insert regs\Graphics\Source Law\2006\500\500045ke.tif

Insert regs\Graphics\Source Law\2006\500\500045le.tif

O. Reg. 500/06, s. 4.