O. Reg. 14/04: RULES OF CIVIL PROCEDURE, Filed February 10, 2004 under Courts of Justice Act, R.S.O. 1990, c. C.43
ONTARIO regulation 14/04
made under the
courts of justice act
Made: October 1, 2003
Approved: February 4, 2004
Filed: February 10, 2004
Printed in The Ontario Gazette: February 28, 2004
Amending Reg. 194 of R.R.O. 1990
(Rules of Civil Procedure)
1. (1) The definition of “information technology” in subrule 1.03 (1) of Regulation 194 of the Revised Regulations of Ontario, 1990 is revoked.
(2) Subrule 1.03 (2) of the Regulation is revoked.
2. Subrules 4.01 (3) to (11) of the Regulation are revoked and the following substituted:
Standards — Electronic Documents
(3) A document mentioned in rule 4.05.1 is sufficient, despite subrule (1), if it meets the standards of the software authorized by the Ministry of the Attorney General.
3. Subrules 4.04 (2) and (3) of the Regulation are revoked.
4. (1) Subrules 4.05 (1.1), (1.2) (1.2.1) and (1.2.2) of the Regulation are revoked and the following substituted:
Electronic Issuing
(1.1) A document mentioned in rule 4.05.1 may be issued electronically by using the authorized software.
Deemed Issuing
(1.2) A document issued under subrule (1.1) shall be deemed to have been issued by the Superior Court of Justice.
(2) Subrules 4.05 (2) and (3) of the Regulation are revoked and the following substituted:
Place of Filing
(2) The following requirements govern the place of filing of documents in proceedings, unless the documents are filed in the course of a hearing or these rules provide otherwise:
1. All documents required to be filed in a proceeding shall be filed in the court office in which the proceeding was commenced, subject to paragraphs 2 and 3.
2. If the proceeding has been transferred to another county in accordance with rule 13.1.02, the documents shall be filed in the court office in the new county, subject to paragraph 3.
3. An affidavit, transcript, record or factum to be used at a hearing shall be filed in the court office in the county where the hearing is to be held.
(3) Subrules 4.05 (4.1), (4.1.1) and (4.1.2) of the Regulation are revoked and the following substituted:
Electronic Filing
(4.1) A document mentioned in rule 4.05.1 may be filed electronically by using the authorized software.
5. (1) Subrule 4.05.1 (1) of the Regulation is revoked.
(2) Paragraph 7 of subrule 4.05.1 (2) of the Regulation is amended by striking out “subrule 60.15 (2.1)” and substituting “subrule 60.15 (4)”.
(3) Paragraph 4 of subrule 4.05.1 (3) of the Regulation is amended by striking out “subrule 60.15 (2.1)” and substituting “subrule 60.15 (4)”.
6. Rule 4.05.2 of the Regulation is revoked.
7. Subrules 7.02 (2) and (3) of the Regulation are revoked and the following substituted:
Affidavit to be Filed
(2) No person except the Children’s Lawyer or the Public Guardian and Trustee shall act as litigation guardian for a plaintiff or applicant who is under disability until the person has filed an affidavit in which the person,
(a) consents to act as litigation guardian in the proceeding;
(b) confirms that he or she has given written authority to a named lawyer to act in the proceeding;
(c) provides evidence concerning the nature and extent of the disability;
(d) in the case of a minor, states the minor’s birth date;
(e) states whether he or she and the person under disability are ordinarily resident in Ontario;
(f) sets out his or her relationship, if any, to the person under disability;
(g) states that he or she has no interest in the proceeding adverse to that of the person under disability; and
(h) acknowledges that he or she has been informed of his or her liability to pay personally any costs awarded against him or her or against the person under disability.
8. Subrules 7.03 (2.2) and (2.3) of the Regulation are revoked and the following substituted:
Affidavit by Guardian or Attorney
(2.2) A person who has authority under subrule (2.1) to act as litigation guardian shall, before acting in that capacity in a proceeding, file an affidavit containing the information referred to in subrule (10).
9. Rule 11.01 of the Regulation is amended by striking out “the proceeding shall be stayed” and substituting “the proceeding shall be stayed with respect to the party whose interest or liability has been transferred or transmitted”.
10. The Regulation is amended by adding after the heading “COMMENCEMENT OF PROCEEDINGS” the following Rule:
RULE 13.1 PLACE OF COMMENCEMENT AND HEARING OR TRIAL
PLACE OF COMMENCEMENT
Statute or Rule Governing Place of Commencement, Trial or Hearing
13.1.01 (1) If a statute or rule requires a proceeding to be commenced, brought, tried or heard in a particular county, the proceeding shall be commenced at a court office in that county and the county shall be named in the originating process.
Choice of Place
(2) If subrule (1) does not apply, the proceeding may be commenced at any court office in any county named in the originating process.
TRANSFER
Motion to Transfer to Another County
13.1.02 (1) If subrule 13.1.01 (1) applies to a proceeding but a plaintiff or applicant commences it in another place, the court may, on its own initiative or on any party’s motion, order that the proceeding be transferred to the county where it should have been commenced.
(2) If subrule (1) does not apply, the court may, on any party’s motion, make an order to transfer the proceeding to a county other than the one where it was commenced, if the court is satisfied,
(a) that it is likely that a fair hearing cannot be held in the county where the proceeding was commenced; or
(b) that a transfer is desirable in the interest of justice, having regard to,
(i) where a substantial part of the events or omissions that gave rise to the claim occurred,
(ii) where a substantial part of the damages were sustained,
(iii) where the subject-matter of the proceeding is or was located,
(iv) any local community’s interest in the subject-matter of the proceeding,
(v) the convenience of the parties, the witnesses and the court,
(vi) whether there are counterclaims, crossclaims, or third or subsequent party claims,
(vii) any advantages or disadvantages of a particular place with respect to securing the just, most expeditious and least expensive determination of the proceeding on its merits,
(viii) whether judges and court facilities are available at the other county, and
(ix) any other relevant matter.
(3) If an order has previously been made under subrule (2), any party may make a further motion, and in that case subrule (2) applies with necessary modifications.
Transfer on Initiative of Regional Senior Judge
(4) If subrule (1) does not apply, the regional senior judge in whose region the proceeding was commenced may, on his or her own initiative and subject to subrules (5) and (6), make an order to transfer the proceeding to another county in the same region.
(5) Before making an order under subrule (4), the regional senior judge shall direct the parties to appear before him or her, by personal attendance or under rule 1.08 (telephone and video conference), to consider whether the order should be made.
(6) An order under subrule (4) may be made only if the regional senior judge is satisfied that the transfer is desirable in the interest of justice, having regard to the factors listed in subclauses (2) (b) (i) to (ix).
(7) If an order has previously been made under subrule (4), a further order may be made, and in that case subrule (4) applies with necessary modifications.
Effect of Order
(8) If an order is made under subrule (1), (2) or (4),
(a) the court file shall be transferred to the court office in the county to which the proceeding has been transferred; and
(b) all further documents required to be filed in the proceeding shall be filed there.
Transition
(9) Subrules (1), (2) and (3) apply only to proceedings commenced on or after July 1, 2004.
(10) Subrules (4), (5), (6) and (7) apply to proceedings whether they were commenced before, on or after July 1, 2004.
(11) In the case of a proceeding commenced before July 1, 2004, the court may order, on a party’s motion, that the trial be held at a place other than that named in the statement of claim if the court is satisfied that,
(a) the balance of convenience substantially favours the holding of the trial at another place; or
(b) it is likely that a fair trial cannot be had at the place named in the statement of claim.
Revocation
(12) Subrules (9), (10) and (11) are revoked on July 1, 2005.
11. Subrule 14.01 (1) of the Regulation is revoked and the following substituted:
By Issuing Originating Process
(1) A proceeding shall be commenced by the issuing of an originating process.
12. Subrule 14.07 (3) of the Regulation is revoked.
13. Subrule 19.04 (1.1) of the Regulation is revoked.
14. Rule 20.03 of the Regulation is revoked and the following substituted:
FACTUMS REQUIRED
20.03 (1) On a motion for summary judgment, each party shall serve on every other party to the motion a factum consisting of a concise argument stating the facts and law relied on by the party.
(2) The moving party’s factum shall be served at least four days before the hearing.
(3) The responding party’s factum shall be served at least two days before the hearing.
(4) Each party’s factum shall be filed, with proof of service, in the court office where the motion is to be heard, at least two days before the hearing.
15. Rule 21.03 of the Regulation is revoked and the following substituted:
FACTUMS REQUIRED
21.03 (1) On a motion under rule 21.01, each party shall serve on every other party to the motion a factum consisting of a concise argument stating the facts and law relied on by the party.
(2) The moving party’s factum shall be served at least four days before the hearing.
(3) The responding party’s factum shall be served at least two days before the hearing.
(4) Each party’s factum shall be filed, with proof of service, in the court office where the motion is to be heard, at least two days before the hearing.
16. Rule 22.02 of the Regulation is revoked and the following substituted:
FACTUMS REQUIRED
22.02 (1) On a motion under rule 22.01, each party shall serve on every other party to the motion a factum consisting of a concise argument stating the facts and law relied on by the party.
(2) The moving party’s factum shall be served at least four days before the hearing.
(3) The responding party’s factum shall be served at least two days before the hearing.
(4) Each party’s factum shall be filed, with proof of service, in the court office where the motion is to be heard, at least two days before the hearing.
17. Rule 37.03 of the Regulation is revoked and the following substituted:
PLACE OF HEARING OF MOTIONS
37.03 (1) All motions shall be heard in the county where the proceeding was commenced or to which it has been transferred under rule 13.1.02, unless the court orders otherwise.
(2) Subrule (1) applies to a proceeding whether it was commenced before, on or after July 1, 2004.
Revocation
(3) Subrule (2) is revoked on July 1, 2005.
18. Subrule 37.10 (6) of the Regulation is revoked and the following substituted:
Factum
(6) A party may serve on every other party a factum consisting of a concise argument stating the facts and law relied on by the party.
(7) The moving party’s factum, if any, shall be served at least four days before the hearing.
(8) The responding party’s factum, if any, shall be served at least two days before the hearing.
(9) Each party’s factum, if any, shall be filed, with proof of service, in the court office where the motion is to be heard, at least two days before the hearing.
19. Rule 37 of the Regulation is amended by adding the following rule:
CONFIRMATION OF MOTION
Confirmation of Motion
37.10.1 (1) A party who makes a motion on notice to another party shall,
(a) confer or attempt to confer with the other party;
(b) not later than 2 p.m. two days before the hearing date, give the registrar a confirmation of motion (Form 37B) by,
(i) sending it by fax, or by e-mail if available in the court office, or
(ii) leaving it at the court office; and
(c) send a copy of the confirmation of motion to the other party by fax or e-mail.
Effect of Failure to Confirm
(2) If no confirmation is given, the motion shall not be heard, except by order of the court.
Duty to Update
(3) A party who has given a confirmation of motion and later determines that the confirmation is no longer correct shall immediately,
(a) give the registrar a corrected confirmation of motion (Form 37B) by,
(i) sending it by fax, or by e-mail if available in the court office, or
(ii) leaving it at the court office; and
(b) send a copy of the corrected confirmation of motion to the other party by fax or e-mail.
20. (1) Subrule 38.03 (1) of the Regulation is revoked and the following substituted:
Place of Commencement
(1) The applicant shall, in the notice of application, name the place of commencement in accordance with rule 13.1.01, and the application shall be heard there.
(2) Subrule 38.03 (1.1) of the Regulation is revoked.
(3) Subrule 38.03 (4) of the Regulation is revoked and the following substituted:
Counter-Application
(4) If a notice of application has been served and the respondent wishes to make an application against the applicant, or against the applicant and another person, the respondent shall make the application at the same place and time to the same judge, unless the court orders otherwise.
21. Subrule 38.09 (3) of the Regulation is amended by striking out “at least four days before the hearing” and substituting “at least two days before the hearing”.
22. Rule 38 of the Regulation is amended by adding the following rule:
CONFIRMATION OF APPLICATION
Confirmation of Application
38.09.1 (1) A party who makes an application on notice to another party shall,
(a) confer or attempt to confer with the other party;
(b) not later than 2 p.m. two days before the hearing date, give the registrar a confirmation of application (Form 38B) by,
(i) sending it by fax, or by e-mail if available in the court office, or
(ii) leaving it at the court office; and
(c) send a copy of the confirmation of application to the other party by fax or e-mail.
Effect of Failure to Confirm
(2) If no confirmation is given, the application shall not be heard, except by order of the court.
Duty to Update
(3) A party who has given a confirmation of application and later determines that the confirmation is no longer correct shall immediately,
(a) give the registrar a corrected confirmation of application (Form 38B), by,
(i) sending it by fax, or by e-mail if available in the court office, or
(ii) leaving it at the court office; and
(b) send a copy of the corrected confirmation of application to the other party by fax or e-mail.
23. Rule 40.04 of the Regulation is revoked and the following substituted:
FACTUMS REQUIRED
40.04 (1) On a motion under rule 40.01, each party shall serve on every other party to the motion a factum consisting of a concise argument stating the facts and law relied on by the party.
(2) The moving party’s factum shall be served at least four days before the hearing.
(3) The responding party’s factum shall be served at least two days before the hearing.
(4) Each party’s factum shall be filed, with proof of service, in the court office where the motion is to be heard, at least two days before the hearing.
24. Subrule 42.02 (2) of the Regulation is revoked and the following substituted:
Factum
(2) Each party to a motion under subrule (1) shall, unless the motion is made on consent, serve on every other party to the motion a factum consisting of a concise argument stating the facts and law relied on by the party.
(3) The moving party’s factum, if any, shall be served at least four days before the hearing.
(4) The responding party’s factum, if any, shall be served at least two days before the hearing.
(5) Each party’s factum, if any, shall be filed, with proof of service, in the court office where the motion is to be heard, at least two days before the hearing.
25. Rule 46 of the Regulation is revoked and the following substituted:
RULE 46 PLACE OF TRIAL
COUNTY WHERE PROCEEDING COMMENCED OR TRANSFERRED
46.01 The trial of an action shall be held in the county where the proceeding was commenced or to which it has been transferred under rule 13.1.02, unless the court orders otherwise.
26. Rule 60.08 of the Regulation is amended by adding the following subrules:
Renewal
(3.1) A notice of renewal of garnishment may be issued under subrule (6.4) without leave of the court before the original notice of garnishment or any subsequent notice of renewal of garnishment expires.
. . . . .
Duration and Renewal
(6.2) A notice of garnishment remains in force for six years from the date of its issue and for a further six years from each renewal.
(6.3) A notice of garnishment may be renewed before its expiration by filing with the registrar where the proceeding was commenced a requisition for renewal of garnishment (Form 60G.1) together with the affidavit required by subrule (4).
(6.4) On the filing of the requisition and affidavit required by subrule (6.3), the registrar shall issue notices of renewal of garnishment (Form 60H.1) naming as garnishees the persons named in the affidavit and shall send a copy of each notice of renewal of garnishment to the sheriff of the county in which the debtor resides or, if the debtor resides outside Ontario, to the sheriff of the county in which the proceeding was commenced.
(6.5) The provisions of these rules that apply with respect to notices of garnishment also apply with respect to notices of renewal of garnishment.
27. Rule 60.15 of the Regulation is revoked and the following substituted:
REMOVAL OR WITHDRAWAL OF WRIT FROM SHERIFF’S FILE
Sheriff’s Procedure — Executed and Expired Writs
60.15 (1) When a writ has been fully executed or has expired, the sheriff shall so indicate in his or her file, and the writ shall be removed from the active file, transferred to a separate file of executed, expired and withdrawn writs and retained there.
Sheriff’s Procedure — Withdrawn Writs
(2) When a writ is withdrawn, the sheriff shall record the date and time of the withdrawal, and if the writ is withdrawn as against all the debtors named in it, it shall be removed from the active file, transferred to a separate file of executed, expired and withdrawn writs and retained there.
Withdrawal of Writ by Person Who Filed It
(3) A party or lawyer who has filed a writ with a sheriff may withdraw it as against one or more of the debtors named in it by giving the sheriff written instructions to that effect.
(4) A party who has filed a writ with a sheriff may withdraw it as against one or more of the debtors named in it by filing a withdrawal of writ electronically under subrule 4.05.1 (2).
Withdrawal of Writ on Debtor’s Request
(5) When a judgment debt has been released by an order of discharge under the Bankruptcy and Insolvency Act (Canada), the debtor may request that the writ be withdrawn by giving the sheriff,
(a) a written request to withdraw the writ (Form 60O); and
(b) a certified copy of the order of discharge.
(6) On receiving the documents described in subrule (5), the sheriff shall forthwith send the creditor, by mail addressed to the creditor at the address shown on the writ, a copy of the documents and a notice that the writ will be withdrawn unless the creditor,
(a) makes a motion for an order under the Bankruptcy and Insolvency Act (Canada) that the judgment debt is not released by the discharge; and
(b) within 30 days after the date of the sheriff’s notice, serves the sheriff with a copy of the notice of motion and a copy of all affidavits and other material served for use on the motion.
(7) The sheriff shall withdraw the writ after the day that is 30 days after the date of the notice to the creditor, unless the creditor has taken the steps described in clause (6) (b).
(8) If the creditor takes the steps described in clause (6) (b), the sheriff shall not withdraw the writ at the debtor’s request unless the court orders otherwise.
28. Rule 61.01 of the Regulation is amended by striking out “clause 62.01 (1) (b), rule 62.02 or rule 71.03” and substituting “clause 62.01 (1) (b) or rule 62.02”.
29. (1) Clause 61.03 (1) (b) of the Regulation is revoked and the following substituted:
(b) be served within 15 days after the making of the order or decision from which leave to appeal is sought, unless a statute provides otherwise; and
(2) Clause 61.03 (7) (a) of the Regulation is revoked and the following substituted:
(a) the request for leave to appeal shall be included in the notice of appeal or in a supplementary notice of appeal as part of the relief sought;
(3) Clause 61.03 (8) (a) of the Regulation is revoked and the following substituted:
(a) the request for leave to appeal shall be included in the notice of appeal or cross-appeal or in a supplementary notice of appeal or cross-appeal as part of the relief sought;
30. (1) Clause 61.03.1 (3) (a) of the Regulation is revoked and the following substituted:
(a) shall be served within 15 days after the making of the order or decision from which leave to appeal is sought, unless a statute provides otherwise; and
(2) Clause 61.03.1 (17) (a) of the Regulation is revoked and the following substituted:
(a) the request for leave to appeal shall be included in the notice of appeal or in a supplementary notice of appeal as part of the relief sought;
(3) Clause 61.03.1 (18) (a) of the Regulation is revoked and the following substituted:
(a) the request for leave to appeal shall be included in the notice of appeal or cross-appeal or in a supplementary notice of appeal or cross-appeal as part of the relief sought;
31. Subrule 61.04 (1) of the Regulation is revoked and the following substituted:
Time for Appeal and Service of Notice
(1) An appeal to an appellate court shall be commenced by serving a notice of appeal (Form 61A) together with the certificate required by subrule 61.05 (1), within 30 days after the making of the order appealed from, unless a statute or these rules provide otherwise,
(a) on every party whose interest may be affected by the appeal, subject to subrule (1.1); and
(b) on any person entitled by statute to be heard on the appeal.
(1.1) The notice of appeal and certificate need not be served on,
(a) a defendant who was noted in default; or
(b) a respondent who has not delivered a notice of appearance, unless the respondent was heard at the hearing with leave.
32. Subrule 61.07 (1.2) of the Regulation is amended by striking out “before serving the notice of cross-appeal”.
33. (1) Subrule 62.01 (2) of the Regulation is amended by striking out “within seven days after the date of the order or certificate appealed from” and substituting “within seven days after the making of the order or certificate appealed from”.
(2) Subrule 62.01 (8) of the Regulation is revoked and the following substituted:
(8) The respondent shall serve on every other party, at least two days before the hearing,
(a) a factum consisting of a concise argument stating the facts and law relied on by the respondent; and
(b) any further material that was before the judge or officer appealed from and is necessary for the hearing of the appeal.
34. (1) Subrule 62.02 (2) of the Regulation is amended by striking out “within seven days after the date of the order from which leave to appeal is sought” and substituting “within seven days after the making of the order from which leave to appeal is sought”.
(2) Subrule 62.02 (6) of the Regulation is revoked and the following substituted:
Factums Required
(6) On a motion for leave, each party shall serve on every other party to the motion a factum consisting of a concise argument stating the facts and law relied on by the party.
(6.1) The moving party’s factum shall be served at least four days before the hearing.
(6.2) The responding party’s factum shall be served at least two days before the hearing.
(6.3) Each party’s factum shall be filed, with proof of service, in the court office where the motion is to be heard, at least two days before the hearing.
35. Rule 69.17 of the Regulation is revoked and the following substituted:
PLACE OF COMMENCEMENT AND OTHER STEPS
Commencement Generally
69.17 (1) The petitioner shall commence the proceeding,
(a) in the county where a party resides;
(b) if the proceeding deals with custody of or access to a child who resides in Ontario, in the county where the child ordinarily resides; or
(c) in a county chosen by all the parties, but only with the court’s permission, given in advance in that county.
Danger to Child or Party
(2) If there is immediate danger that a child may be removed from Ontario or immediate danger to a child’s or party’s health or safety, a party may commence the proceeding in any county and a motion may be heard in that county, but the proceeding shall be transferred to a county referred to in subrule (1) immediately after the motion is heard, unless the court orders otherwise.
Registrar to Refuse Documents if Proceeding in Wrong Place
(3) The registrar shall refuse to accept a petition for filing and issuing unless,
(a) the proceeding is commenced in the county where a party resides;
(b) the proceeding deals with custody of or access to a child who resides in Ontario and is commenced in the county where the child ordinarily resides;
(c) the proceeding is commenced in a county chosen by all the parties, and the order permitting it to be commenced there is filed with the petition; or
(d) the lawyer or party asking to file the petition says in writing that the proceeding is one that may be commenced in that county under clause (1) (b) or subrule (2).
Steps Other Than Enforcement
(4) All steps in the proceeding, other than enforcement, shall take place in the county where the proceeding is commenced or to which it is transferred.
Enforcement — Payment Orders
(5) All steps in the enforcement of an order for the payment of money, including a motion to suspend a support deduction order, shall take place,
(a) in the county where the recipient resides;
(b) if the recipient does not reside in Ontario, in the county where the order is filed with the court for enforcement;
(c) if the person enforcing the order consents, in the county where the payor resides; or
(d) in the case of a motion under section 26 (income source dispute) of the Family Responsibility and Support Arrears Enforcement Act, 1996, in the county where the income source resides.
Enforcement — Other Orders
(6) All steps in the enforcement of an order other than an order for the payment of money shall take place,
(a) if the order involves custody of or access to a child,
(i) in the county where the child ordinarily resides, or
(ii) if the child does not ordinarily reside in Ontario, in the county to which the child has the closest connection;
(b) if the order involves property, in the county where the person enforcing the order resides or in the county where the property is located; or
(c) in a county chosen by all the parties, but only with the court’s permission, given in advance in that county.
Alternative Place — Order Enforced by Contempt Motion
(7) An order, other than an order for payment of money, that is being enforced by a contempt motion may also be enforced in the county in which the order was made.
Filing Documents
(8) When a step in the enforcement of an order takes place in a county described in subrule (5), (6) or (7), all related documents shall be filed there as well.
Transfer
(9) If it is substantially more convenient to deal with a proceeding or any step in the proceeding in another county, the court may, on motion, order that the proceeding or step be transferred there.
36. Rule 70.05 of the Regulation is revoked and the following substituted:
PLACE OF COMMENCEMENT AND OTHER STEPS
70.05 The place of commencement and of other steps in a proceeding shall be determined in accordance with rule 69.17, which applies with necessary modifications.
37. Subrule 70.10.1 (6) of the Regulation is amended by striking out “subrule 37.03 (2) (place of hearing of motion made on notice)” in the portion before clause (a) and substituting “rule 37.03 (place of hearing of motions)”.
38. Subrule 75.1.14 (5) of the Regulation is revoked.
39. (1) Subrule 76.02 (5) of the Regulation is amended by striking out “or” at the end of clause (a), by adding “or” at the end of clause (b) and by adding the following clause:
(c) the defendant makes a counterclaim, crossclaim or third party claim that does not comply with subrule (1) and states in the defendant’s pleading that the counterclaim, crossclaim or third party claim is to proceed under the ordinary procedure.
(2) Subrule 76.02 (6) of the Regulation is amended by striking out “an amendment to the pleadings” in the portion before clause (a) and substituting “an amendment to the pleadings under Rule 26”.
(3) Subclause 76.02 (7) (b) (i) of the Regulation is amended by striking out “amended” and substituting “amended under Rule 26”.
40. Subrule 76.05 (2) of the Regulation is revoked and the following substituted:
Place of Hearing
(2) Unless the parties agree otherwise or the court orders otherwise, the motion shall be heard in the county where the proceeding was commenced or to which it has been transferred under rule 13.1.02.
41. Subrule 77.01 (5) of the Regulation is revoked and the following substituted:
Place of Hearing of Motions
(5) Unless the court orders otherwise, all motions shall be heard in the county where the proceeding was commenced or to which it has been transferred under rule 13.1.02.
42. (1) Form 11A of the Regulation is amended by striking out “section 69 of the Bankruptcy Act (Canada)” and substituting “section 69.4 of the Bankruptcy and Insolvency Act (Canada)”.
(2) Form 14A of the Regulation is amended by striking out “The plaintiff proposes that this action be tried at (place)”.
(3) Form 14B of the Regulation is amended by striking out “The plaintiff proposes that this action be tried at (place)”.
(4) Form 14D of the Regulation is amended by striking out “The plaintiff proposes that this action be tried at (place)”.
(5) Form 34A of the Regulation is amended by striking out the paragraph beginning with “YOU ARE REQUIRED TO ATTEND FOR AN EXAMINATION” and substituting the following:
YOU ARE REQUIRED TO ATTEND, on (day), (date), at (time), at the office of (name, address and telephone number of examiner), for (choose one of the following):
[ ] Cross-examination on your affidavit dated (date)
[ ] Examination for discovery
[ ] Examination for discovery on behalf of or in place of (identify party)
[ ] Examination in aid of execution
[ ] Examination in aid of execution on behalf of or in place of (identify party)
(6) Form 34B of the Regulation is amended by striking out the paragraph beginning with “YOU ARE REQUIRED TO ATTEND FOR AN EXAMINATION” and substituting the following:
YOU ARE REQUIRED TO ATTEND, on (day), (date), at (time), at the office of (name, address and telephone number of examiner), for (choose one of the following):
[ ] Cross-examination on your affidavit dated (date)
[ ] Examination for discovery with leave of the court
[ ] Examination out of court as witness before hearing
[ ] Examination in aid of execution
[ ] Taking evidence before trial
(7) The Regulation is amended by adding the following Forms:
Form 37B
CONFIRMATION OF MOTION
Courts of Justice Act
(General heading)
CONFIRMATION OF MOTION
Insert regs\Graphics\Source Law\2004\14\14037Bae.tif

. . . . .
Form 38B
CONFIRMATION OF applicaTION
Courts of Justice Act
(General heading)
CONFIRMATION OF APPLICATION
Insert regs\Graphics\Source Law\2004\14\14038Bae.tif

(8) The Regulation is amended by adding the following Forms:
Form 60G.1
requisition for renewal of garnishment
Courts of Justice Act
(General heading)
requisition for renewal of garnishment
Insert regs\Graphics\Source Law\2004\14\1460G1ae.tif

. . . . .
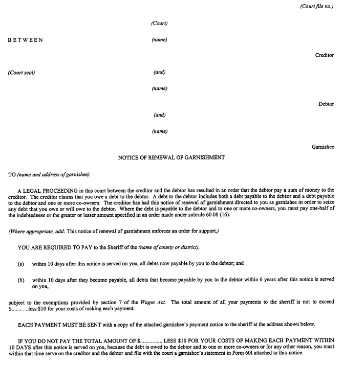
Form 60H.1
notice of renewal of garnishment
Courts of Justice Act
Insert regs\Graphics\Source Law\2004\14\1460H1ae.tif

Insert regs\Graphics\Source Law\2004\14\1460H1be.tif

. . . . .
Form 60O
REQUEST TO WITHDRAW A WRIT
Courts of Justice Act
(General heading)
requEST TO WITHDRAW A WRIT
Insert regs\Graphics\Source Law\2004\14\14060Oae.tif

43. (1) Subject to subsection (2), this Regulation comes into force on filing.
(2) Subsection 4 (2), sections 10, 11 and 14 to 25, subsections 33 (2) and 34 (2), sections 35, 36, 37, 40 and 41, and subsections 42 (2), (3), (4) and (7) come into force on July 1, 2004.